Development and validation of a GP73-based predictive model for the diagnosis of early-stage hepatocellular carcinoma
Highlight box
Key findings
• In 401 cirrhotic patients, a nomogram combining Golgi protein-73 (GP73), alpha-fetoprotein (AFP), age and prothrombin time identified early hepatocellular carcinoma (HCC) with C-indexes 0.812 (training) and 0.918 (validation); area-under-the-curve was 0.900 in hepatitis B virus cirrhosis. The model exhibits high diagnostic performance and shows promising potential for clinical application.
What is known and what is new?
• AFP alone underperforms for early HCC. GP73 is a secreted glycoprotein that is highly expressed in various malignancies and can be released into the bloodstream.
• Adding GP73 to a multivariable model markedly boosts accuracy.
What is the implication, and what should change now?
• The GP73-based nomogram can be embedded in bedside or electronic calculators to improve surveillance; prospective multicenter trials are needed before routine use.
Introduction
Hepatocellular carcinoma (HCC) is the most common type of primary liver cancers, accounting for approximately 90% of liver cancers (1). Moreover, HCC is the second leading cause of cancer-related deaths worldwide, with over 850,000 new cases reported worldwide annually (2). The mortality rate of HCC continues to increase by 2–3% each year. The main obstacle of HCC treatment is that patients are always diagnosed when progressed to advanced stage and there is a lack of curative therapies for this stage (3). Therefore, identifying HCC patients at early stage is crucial for improving disease prognosis.
For decades, imaging and serological examinations are widely adopted as two key methods for HCC screening. However, these methods are not effective for diagnosis when the tumor is barely visible at early stages. Currently, all guidelines recommend ultrasound (US) examination, with or without serum alpha-fetoprotein (AFP) test, for early HCC detection (3). Indeed, AFP assessment is not optimal identifying early HCC as its sensitivity ranges from 47% to 64% (4,5) when applied individually and approximately 63% when combined with US examination (6). Therefore, the poor sensitivity and specificity of AFP, as well as the operator dependency of US, limit its diagnostic value for early stage of HCC (7).
With the development of technology, the dysregulation of several serum/plasma proteins and circulating DNA/RNA, such as glypican-3, microRNAs, and serum exosomal long non-coding RNAs was discovered in patients with early stage of HCC (3,8). The GALAD score developed by Yang et al., which includes gender, age, and three biomarkers comprising AFP, AFP-L3, and des-γ-carboxy prothrombin (DCP) displays greater power than US for early HCC detection, as shown by the area under the receiver operating characteristic (ROC) curve (0.95 vs. 0.80) (9). However, the condition of laboratory in many primary hospitals limits the feasibility to conduct DCP test widely. Besides, serum DCP levels can be affected by several factors, including vitamin K deficiency, malnutrition related to chronic alcohol abuse, and therapy with oral anticoagulants (10,11). The development of molecular biology also contributed a lot to the precise prediction of HCC. Wang et al. identified two potential genes CLEC4G and IGFBP3 among six signature genes which its regulation may serve as key indication of clinical outcome of HCC in the future (12). CDKN2A was also identified as potential prognostic and diagnostic marker for HCC (13). Besides, other scientists introduced lactylation-related gene model for the development of targeted therapeutic strategies for HCC (14). However, because conventional indicators such as serum AFP, imaging characteristics, and current staging systems still lack sufficient sensitivity and specificity—especially for early-stage or biologically heterogeneous tumors—there is an urgent clinical need for novel biomarkers and integrative prediction models that combine emerging molecular signatures with established clinical and biological factors to enhance early detection, refine risk stratification, and guide individualized therapy for HCC.
Golgi protein-73 (GP73) is a glycoprotein residing on the cis-Golgi pool and widely expressed in various types of cancers (15). By regulating a series of epithelial-mesenchymal transition (EMT)-related genes, GP73 becomes a crucial factor to promote cancer progression (15). Given that GP73 is a secreted protein, it is found dramatically elevated in HCC patients (16-18). Nevertheless, it is not well defined whether circulating GP73 could be a diagnostic marker for identifying HCC patients and its sensitivity and specificity for early stage of HCC are not well defined. To further investigate its role, we performed a cross-sectional study enrolling patients who were previously diagnosed as early HCC. Liver cirrhosis patients were included as controls. An early diagnosis model was established for HCC diagnosis using GP73. We present this article in accordance with the TRIPOD reporting checklist (available at https://jgo.amegroups.com/article/view/10.21037/jgo-2025-114/rc).
Methods
Study design
The study complied with Declaration of Helsinki and its subsequent amendments for the investigation of human subjects and was approved by the Institutional Review Boards of the Beijing You’an Hospital, Capital Medical University (No. LL-2024-011-K). All patients provided written informed consent.
Patients diagnosed with liver cirrhosis or liver cancer were recruited from Beijing You’an Hospital, Capital Medical University from January 2023 to October 2024 (Figure 1). The criterion for inclusion in the non-liver cancer group was a diagnosis of liver cirrhosis. The criteria for the liver cancer group were as follows: (I) histologically confirmed HCC and defined as early HCC, that is, presenting as a single tumor >2 cm in diameter or three nodules <3 cm, with good health status and Child-Pugh class A or B (19); and (II) no secondary malignant tumors. Exclusion criteria were as follows: (I) patients with concurrent infections of the respiratory system, urinary system, skin and soft tissues, or other sites; (II) patients with heart, kidney or other organ failure; (III) previously diagnosed HCC patients who received radiotherapy, chemotherapy, or targeted immunotherapy; (IV) patients with incomplete clinical data. After screening, 401 patients included 338 in the non-liver cancer group and 63 in the liver cancer group were finally analyzed in the study. The sample size was determined based on feasibility and previous studies to ensure adequate power for logistic regression and model validation.
Biochemical measurements
Fasted plasma samples were collected upon admission. Circulation levels of alanine aminotransferase (ALT), aspartate aminotransferase (AST), total bilirubin (TBIL), albumin (ALB), fibrinogen (Fib), and AFP, prothrombin time (PT), and international normalized ratio (INR) were determined in the central laboratory. GP73 levels were quantified with enzyme-linked immunosorbent assay (ELISA) kits (Hainan Medical Device Registration Certificate 20182400018, Hainan Zhongsen Biotechnology Co., Ltd., Haikou, China), following the manufacturer’s instructions.
Generation of training and validation samples
The entire dataset was randomly divided into a training set (85%) and a validation set (15%). Variable selection was performed using LASSO regression on the training set, and final predictors were determined through multivariate logistic regression analysis.
Imaging examination
According to the latest Liver Imaging Reporting and Data System (LI-RADS) and European Association for the Study of the Liver (EASL) guidelines, computed tomography (CT) and magnetic resonance imaging (MRI) are the primary imaging tools for the diagnosis of early HCC (19,20). The diagnosis of early HCC primarily relies on imaging features. In patients with underlying liver cirrhosis or other chronic liver diseases, a diagnosis can be confirmed without histological verification if typical imaging characteristics are present, such as non-rim arterial phase hyperenhancement (APHE) and washout appearance in the portal venous or delayed phases. Detailed criteria are as follows: CT/MRI: (I) 10–19 mm nodules: non-rim APHE and at least one of the following features: nonperipheral washout or threshold growth; (II) ≥20 mm nodules: non-rim APHE and at least one of the following features: enhancing capsule, nonperipheral washout, or threshold growth; and (III) contrast-enhanced ultrasound (CEUS): higher suspected for nodules ≥10 mm.
Histological examination
According to the guidelines established by the Liver Cancer Study Group of Japan (21) and the international consensus group for the pathological diagnosis of early-stage HCC (22), the diagnostic criteria for early HCC are as follows.
Early HCC exhibits focal structural abnormalities, such as acinar or pseudoglandular structures, disruption or irregularity of trabecular arrangement, and/or significant infiltration of stromal tissue. Cellular atypia is usually not prominent; however, the nuclear-to-cytoplasmic ratio is increased due to a reduction in cytoplasmic volume. The cytoplasm may also show eosinophilia or basophilia. The cell density may be more than twice that of the surrounding non-cancerous liver tissue. Additionally, the lesion often demonstrates fatty changes or clear cell changes. Since the cancer cells of early HCC do not grow extensively but proliferate by replacing adjacent hepatocytes at the margins in a trabecular pattern, the boundary is often indistinct. Macroscopically, the lesion appears as a small nodule with an ill-defined margin.
Statistical analysis
Statistical analysis and development and validation of the nomogram were performed using SPSS 26.0 and R 4.4.2. Normally distributed variables were expressed as mean ± standard deviation (), non-normally distributed variables were represented as median (interquartile range) [M (P25, P75)], and categorical variables were represented by counts. The t-test, Wilcoxon or Kruskal-Wallis rank-sum test was used to compare differences between two groups. χ2 test, or Fisher’s exact test were used to compare differences between groups for categorical variables. Variables were screened using LASSO regression analysis, and multivariate logistic regression was performed to determine the final variables. The “RMS package” in R language was used to establish the nomogram model. The predictive performance of the model was evaluated by ROC curve analysis. The calibration plot was used to assess the closeness of the model’s predicted values to the actual values. Decision curve analysis was used to evaluate the clinical application value of the model. P<0.05 indicated statistical significance.
Results
General characteristics of the study patients
In this study, a total of 1,178 patients diagnosed with early-stage HCC or liver cirrhosis were collected. After screening, 401 patients were included, consisting of 338 non-HCC patients and 63 HCC patients (Figure 1). According to Table 1, 214 patients in the HCC group (63.0%) and 45 patients in the non-HCC group (71.0%) were male, a difference that was not statistically significant (P=0.27). Compared with early HCC group, the non-HCC group were younger (P<0.001). The most common etiologies for both groups were hepatitis B virus (HBV) infection, followed by hepatitis C virus (HCV) infection and alcohol use, all of which were comparable between two groups (P>0.05).
Table 1
| Group | Non-HCC (n=338) | HCC (n=63) | P value |
|---|---|---|---|
| Males | 214 [63] | 45 [71] | 0.27 |
| Age (years) | 50 [40, 59] | 62 [54, 67] | <0.001 |
| Pathogen | 0.54 | ||
| Hepatitis type B | 286 [85] | 54 [86] | |
| Hepatitis C | 14 [4] | 6 [10] | |
| Biochemical data | |||
| Serum cholesterol (mmol/L) | 1.06 [0.85, 1.33] | 1.07 [0.93, 1.33] | 0.49 |
| Serum triglyceride (mmol/L) | 0.99 [0.81, 1.35] | 1.18 [0.68, 1.6] | 0.70 |
| Fasting blood glucose (mmol/L) | 5.42 [5.08, 6.01] | 5.3 [4.97, 6.2] | 0.69 |
| Alanine aminotransferase (U/L) | 22 [17, 32] | 26 [17.5, 48.5] | 0.07 |
| Aspartate aminotransferase (U/L) | 24 [20, 31] | 31 [24, 55.5] | <0.001 |
| Total bilirubin (μmol/L) | 16.4 [12.9, 21.7] | 18.7 [13.9, 26.3] | 0.04 |
| Albumin (g/L) | 44.7 [42.6, 46.6] | 40.1 [36.7, 45.3] | <0.001 |
| Prothrombin time (second) | 9.6 [9, 10.8] | 11.3 [9.6, 12.8] | <0.001 |
| International normalized ratio | 1.03 [0.99, 1.1] | 1.08 [1.03, 1.19] | <0.001 |
| Fibrinogen (g/L) | 2.56 [2.28, 2.98] | 2.73 [2.11, 3.17] | 0.50 |
| Alpha-fetoprotein | 1.82 [1.3, 2.62] | 4.65 [2.22, 17.8] | <0.001 |
| Golgi protein-73 | 2.72 [1.91, 3.84] | 3.47 [1.95, 6.23] | 0.001 |
Data are presented as n [%] or median [interquartile range]. HCC, hepatocellular carcinoma.
Circulating levels of AST, TBIL, ALB, PT, and INR were significantly increased in HCC patients compared those without HCC (P<0.05 for all). By contrast, plasma levels of ALB were 10.3% lower in HCC patients than patients in non-HCC group (P<0.0001). Fib levels were similar between two groups (P=0.50). For cancer biomarkers, AFP and GP73 levels were 2.59- and 1.28-fold higher in HCC group than non-HCC group (P<0.05 for both).
ROC curve analysis
ROC curves were generated to assess the ability of each variable to distinguish early HCC (n=63) from non-HCC cases (n=338). The area under the curve (AUC) for AFP in discrimination of early HCC and liver cirrhosis was 0.769 [95% confidence interval (CI): 0.700–0.838], and the AUC for GP73 was 0.627 (95% CI: 0.539–0.716) (Figure 2A,2B). At the optimal cutoff value of 4.625 for AFP, the sensitivity was 50.8% and specificity was 91.4%. At the optimal cutoff value of 5.655 for GP73, the sensitivity was 30.2% and specificity was 100%.
LASSO analysis
To improve the diagnostic efficacy and avoid multicollinearity, LASSO analysis was used to further analyze the above variables (Figure 3A-3C). By Spearman correlation analysis, a strong correlation was found between ALT and AST (correlation coefficient r=0.9), while AFP and GP73 had weak collinearity (r=0.1) in the entire population (n=401). Age (β=3.35), GP73 (β=7.98), etiology (β=−0.12), AST (β=2.74), ALB (β=−2.17), PT (β=4.77), Fib (β=2.83), and AFP (β=4.05) had non-zero coefficients and were considered potential factors for early liver cancer diagnosis (Figure 3A).
Thereafter, the trajectories of regression coefficients for each independent variable were analyzed when they changed with the LASSO penalty parameter λ. As shown in Figure 3B, each curve represented the coefficient change for an independent variable. By performing stepwise logistic regression analysis, AFP, age, and PT were screened out as potential covariables for early HCC. After adjusting for these covariables, GP73 remained significantly associated with increased risk of early HCC (Table 2).
Table 2
| Covariables | β | SE (β) | Wald | OR (95% CI) | P value |
|---|---|---|---|---|---|
| Age | 0.088 | 0.018 | 24.803 | 1.09 (1.06–1.13) | <0.001 |
| GP73 | 0.324 | 0.1 | 10.535 | 1.38 (1.14–1.68) | <0.001 |
| Prothrombin time | 0.294 | 0.079 | 13.742 | 1.34 (1.15–1.57) | <0.001 |
The independent variables selected by LASSO regression were subjected to multivariate logistic regression analysis. The criteria for inclusion in the model were set at 0.05, and the criteria for exclusion were set at 0.1. The statistical analysis showed that age, GP73, and prothrombin time were independent predictors of early HCC occurrence, with coefficients of 0.088, 0.324, and 0.294, respectively. Among them, GP73 had a relatively larger impact in the model. CI, confidence interval; HCC, hepatocellular carcinoma; LASSO, least absolute shrinkage and selection operator; OR, odds ratio; SE, standard error.
Nomogram model
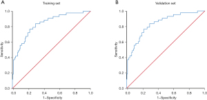
Based on the results of LASSO analysis, a nomogram model including 290 non-HCC and 50 HCC patients was established (Figure 4A), so called training cohort. In this model, each variable was assigned a score based on a point scale. The individual scores could be added together to obtain a total score. By projecting the total score onto a lower score scale, the probability of early HCC occurrence was determined. For example, age =70 years, GP73 =20, PT =10 seconds. The sum of these scores was 49, which indicated a probability of 99% for early HCC occurrence. The calibration curve results of the model showed a strong consistency between the predicted incidence and the actual incidence, demonstrating the effectiveness of the nomogram model in diagnosing liver cancer. The corrected C-indexes for the training cohort and validation cohort were 0.812 and 0.918, respectively. The 95% confidence interval for the training cohort was (0.749, 0.875) (P<0.001). The AUC values for early liver cancer diagnosis in both the training and validation cohorts were greater than 0.7, indicating that the nomogram had good discriminative power (Figure 4B,4C).
Next, decision curve analysis was used to compare the diagnostic value of the nomogram model in the training and validation cohorts with the diagnostic value of individual risk factors in clinical decision-making. The results demonstrated that the clinical predictive value of the nomogram model exceeded that of any single predictive factor (Figure 4D,4E). Taken together, the nomogram could hold discriminative and calibration capabilities in the diagnosis of early HCC.
Model validation
Finally, we assessed the performance of the established nomogram model using the validation cohort (n=48 for non-HCC and n=13 for HCC). By ROC analysis, when patients with HBV infection were selected, the AUC values of the nomogram model were 0.836 for the training cohort and 0.900 for the validation cohort, respectively, both of which were higher than the cohorts with other etiologies (Figure 5).
Discussion
Despite significant progress that has been made in the treatment of HCC, early diagnosis through monitoring high-risk patients remains the only hope for a cure. Most chronic liver diseases at risk of HCC remain undiscovered, and therefore only a small minority of HCC patients are diagnosed early and can receive early treatment (23). The principal etiologies of HCC are chronic HBV or HCV infections, excessive alcohol consumption, and non-alcoholic fatty liver disease. When combined with excessive alcohol consumption, the risk of developing HCC was doubled in patients with chronic HCV infection (24). Early detection and treatment of HCC can increase the 5-year survival rate by more than 80% (25), researches are ongoing both domestically and internationally to search for early detection strategies.
Current diagnostic methods for HCC rely on abdominal US for high-risk individuals, with or without AFP biomarker testing. The diagnostic and predictive value of AFP is greatly affected by the size and invasiveness of HCC, as well as the etiology and activity of underlying liver disease (26-28). Andersson et al. (29) showed that the combination of AFP with US may increase the possibility for early diagnosis of HCC to a certain extent, but when the AFP level is below the critical value of 20 ng/mL, the sensitivity and specificity significantly decrease, and the false-positive probability increases. Further screening of newer serum tumor markers (such as AFP-L3) may be needed in these cases. However, AFP-L3 has not been verified for screening purposes.
In this study, we aimed to establish a diagnostic model for early liver cancer using the GP73 serum tumor marker. GP73 was originally isolated from the liver of a patient with adult giant cell hepatitis (30). GP73 is highly expressed in various tumors, such as lung cancer, prostate cancer, breast cancer, and pancreatic cancer, and is closely related to clinical stage, T stage, lymph node metastasis, and venous infiltration (31). GP73 is a multifunctional protein that promotes cancer progression and functions as a major factor in promoting the EMT of cancer cells and cancer metastasis. In 2005, a study using glycoproteomics identified serum GP73 as a factor positively correlated with HCC (32). Interestingly, GP73 has higher sensitivity and specificity for liver cancer, compared with AFP (15,25). Thus, GP73 may be a new target for the treatment of multiple tumors (25).
In this retrospective study, we collected the general clinical data and data on GP73 and AFP levels of patients with liver cirrhosis and patients with early HCC. We found significant differences in age, PT, AFP, and GP73 between the non-liver cancer group and the liver cancer group, with no significant difference in etiology between the two groups. This indicates reducing the difference in HCC incidence rate between the two groups due to etiology, making the data more authentic and reliable. The AUC of AFP for HCC diagnosis was higher than that of GP73. After removing confounding factors, GP73, age, and PT were identified as diagnostic factors for predicting early HCC. A nomogram model was established from these factors. In this model, we found that age is also a risk factor for early HCC.
As reported by the World Health Organization, 80% of HCC cases are diagnosed in patients aged 70 years or older; in the absence of specific risk factors, the age of patients with metastasis is approximately 10 years older than the age of patients first diagnosed with HCC, indicating that aging may be a high-risk factor for malignant tumors (33,34). The characteristic of aging is cellular senescence, which is caused by the shortening of telomeres in continuous cell divisions, leading to the cessation of somatic cell proliferation. Several processes such as DNA damage, epigenetic changes, oxidative stress, mitochondrial dysfunction, and metabolic pathway changes lead to cellular and tissue aging and also increase the risk of liver cancer development (35), which is consistent with our results. In this nomogram model, elevated GP73 levels highly suggest the presence of early HCC and avoids errors caused by the range of values, which is consistent with most studies. Liu et al. (36) retrospectively analyzed the clinical data of 4,016 patients with chronic liver disease at Beijing 302 Hospital. The authors reported that Golgi protein could not distinguish between HCC patients and liver cirrhosis patients and the serum GP73 level in HCC patients was not related to tumor size and differentiation status; this suggested GP73 may not be a serological marker for evaluating the long-term prognosis of HCC, but it may be a potential marker for liver cirrhosis. However, the sample size of this study was relatively small and it was a single-center study, which may have a certain degree of contingency. In the nomogram model established in our study, PT is also a factor in diagnosing early HCC.
Mao et al. (37) speculated that the decrease of coagulation factors, tissue thrombin, and fibrinolytic factors will damage hepatocytes in AFP-negative HCC (38). Tumor cells exhibit various procoagulant activities and produce pro-inflammatory cytokines, and the imbalance of tumor, coagulation, and inflammation in the blood in coagulation disorders promotes tumor growth, invasion, and metastasis. PT and the Fib system are complementary biomarkers to AFP and can be used for the diagnosis of AFP-negative HCC. Our results indicate that PT can be used as an indicator to assess liver function and combined with other factors for the diagnosis and prognosis of liver cirrhosis or HCC.
We further assessed the clinical diagnostic value of the nomogram model. The calibration curve was used to evaluate this nomogram model, and the average absolute error of the calibration curve was 0.014, indicating that the mean of the predicted risk probability of early HCC and the measured value is consistent, with good calibration. The clinical decision curve of the nomogram model showed that using this nomogram model for the diagnosis of early HCC may achieve greater clinical net benefit. The threshold of the nomogram model for predicting the probability of early HCC occurrence was between 0.12 and 0.98, and the applicability of this model is the best.
HBV is one of the most common chronic infections pathogen worldwide, with an estimated 257 million chronic carriers, and the main cause of HCC globally (39). In our study, patients with HBV infection, which is the main cause of chronic liver disease in China, accounted for approximately 84.6% of all patients. To assess the probability of the model for predicting early HCC, we evaluated the ROC curves of the model in training cohort and validation cohort data selected for hepatitis B infection and found that the diagnostic efficacy was superior to the diagnostic efficacy for early HCC in patients with various etiologies, further verifying the good clinical value of this model. A comment showed that regardless of the HBV viral load, antiviral treatment can reduce the recurrence and mortality of HCC after radical treatment, through a mechanism involving the prevention of HBV replication and reduction HBV reactivation; this indicates the potential role of viral load in disease progression and prognosis assessment (40). A multi-country cohort study reported that the baseline HBV DNA level has a greater impact on the risk of HCC in young patients (<50 years old) with mild conditions (platelet count ≥150,000/µL), and the baseline HBV DNA level is closely related to the risk of HCC occurrence in patients with liver cirrhosis during treatment (41). Therefore, whether HBV DNA may also be one of the diagnostic criteria for the occurrence of early HCC remains to be determined.
There are some limitations in this study. First, this was a retrospective study in a single center, which may introduce bias risks in the data. The nomogram model needs to be verified in large-scale prospective multicenter experiments. Second, not all patients were quantified HBV DNA. The diagnostic values for HBV load on early HCC detection could be underestimated.
Conclusions
Our study suggests that the nomogram model established herein may play a potential role in predicting the prognosis of HCC. In addition, GP73 may serve as a complementary biomarker to AFP for the early diagnosis of HCC. It is important to note that GP73 may not fully replace AFP. However, their combined use can improve diagnostic sensitivity and accuracy. The model holds high clinical value in enabling early treatment and improving the long-term prognosis of HCC patients.
Acknowledgments
We thank Gabrielle White Wolf, PhD, from Liwen Bianji (Edanz) (www.liwenbianji.cn) for editing the English text of a draft of this manuscript.
Footnote
Reporting Checklist: The authors have completed the TRIPOD reporting checklist. Available at https://jgo.amegroups.com/article/view/10.21037/jgo-2025-114/rc
Data Sharing Statement: Available at https://jgo.amegroups.com/article/view/10.21037/jgo-2025-114/dss
Peer Review File: Available at https://jgo.amegroups.com/article/view/10.21037/jgo-2025-114/prf
Funding: This work was supported by a grant from
Conflicts of Interest: All authors have completed the ICMJE uniform disclosure form (available at https://jgo.amegroups.com/article/view/10.21037/jgo-2025-114/coif). The authors have no conflicts of interest to declare.
Ethical Statement: The authors are accountable for all aspects of the work in ensuring that questions related to the accuracy or integrity of any part of the work are appropriately investigated and resolved. The study was conducted in accordance with the Declaration of Helsinki and its subsequent amendments. The study was approved by the Institutional Review Boards of the Beijing You’an Hospital, Capital Medical University (No. LL-2024-011-K) and all patients provided written informed consent.
Open Access Statement: This is an Open Access article distributed in accordance with the Creative Commons Attribution-NonCommercial-NoDerivs 4.0 International License (CC BY-NC-ND 4.0), which permits the non-commercial replication and distribution of the article with the strict proviso that no changes or edits are made and the original work is properly cited (including links to both the formal publication through the relevant DOI and the license). See: https://creativecommons.org/licenses/by-nc-nd/4.0/.
References
- Global, regional, and national age-sex specific all-cause and cause-specific mortality for 240 causes of death, 1990-2013: a systematic analysis for the Global Burden of Disease Study 2013. Lancet 2015;385:117-71. [Crossref] [PubMed]
- Torre LA, Bray F, Siegel RL, et al. Global cancer statistics, 2012. CA Cancer J Clin 2015;65:87-108. [Crossref] [PubMed]
- Wang W, Wei C. Advances in the early diagnosis of hepatocellular carcinoma. Genes Dis 2020;7:308-19. [Crossref] [PubMed]
- Kim E, Viatour P. Hepatocellular carcinoma: old friends and new tricks. Exp Mol Med 2020;52:1898-907. [Crossref] [PubMed]
- Seo SI, Kim HS, Kim WJ, et al. Diagnostic value of PIVKA-II and alpha-fetoprotein in hepatitis B virus-associated hepatocellular carcinoma. World J Gastroenterol 2015;21:3928-35. [Crossref] [PubMed]
- Tzartzeva K, Obi J, Rich NE, et al. Surveillance Imaging and Alpha Fetoprotein for Early Detection of Hepatocellular Carcinoma in Patients With Cirrhosis: A Meta-analysis. Gastroenterology 2018;154:1706-1718.e1. [Crossref] [PubMed]
- Masuzaki R, Karp SJ, Omata M. New serum markers of hepatocellular carcinoma. Semin Oncol 2012;39:434-9. [Crossref] [PubMed]
- Attia AM, Rezaee-Zavareh MS, Hwang SY, et al. Novel Biomarkers for Early Detection of Hepatocellular Carcinoma. Diagnostics (Basel) 2024;14:2278. [Crossref] [PubMed]
- Yang JD, Addissie BD, Mara KC, et al. GALAD Score for Hepatocellular Carcinoma Detection in Comparison with Liver Ultrasound and Proposal of GALADUS Score. Cancer Epidemiol Biomarkers Prev 2019;28:531-8. [Crossref] [PubMed]
- Kurokawa T, Yamazaki S, Mitsuka Y, et al. Prediction of vascular invasion in hepatocellular carcinoma by next-generation des-r-carboxy prothrombin. Br J Cancer 2016;114:53-8. [Crossref] [PubMed]
- Fujiki M, Takada Y, Ogura Y, et al. Significance of des-gamma-carboxy prothrombin in selection criteria for living donor liver transplantation for hepatocellular carcinoma. Am J Transplant 2009;9:2362-71. [Crossref] [PubMed]
- Wang X, Gao M, Zhang Z, et al. Potential diagnostic marker gene set for non-alcoholic steatohepatitis associated hepatocellular carcinoma with lymphocyte infiltration. Transl Cancer Res 2025;14:2274-89. [Crossref] [PubMed]
- Ding J, Deng YT, Deng Y, et al. CDKN2A as a prognostic and diagnostic marker is a possible key contributor in hepatocellular carcinoma. Transl Cancer Res 2025;14:2303-18. [Crossref] [PubMed]
- Zhang J, Dong C, Wu L, et al. Diagnostic value of a lactylation-related gene signature in hepatocellular carcinoma. Transl Cancer Res 2025;14:296-312. [Crossref] [PubMed]
- Liu Y, Hu X, Liu S, et al. Golgi Phosphoprotein 73: The Driver of Epithelial-Mesenchymal Transition in Cancer. Front Oncol 2021;11:783860. [Crossref] [PubMed]
- Li X, Wu K, Fan D. Serum Golgi Phosphoprotein 2 level: a better marker than alpha-fetoprotein for diagnosing early hepatocellular carcinoma. Hepatology 2009;50:325. [Crossref] [PubMed]
- Malaguarnera G, Giordano M, Paladina I, et al. Serum markers of hepatocellular carcinoma. Dig Dis Sci 2010;55:2744-55. [Crossref] [PubMed]
- Hu JS, Wu DW, Liang S, et al. GP73, a resident Golgi glycoprotein, is sensibility and specificity for hepatocellular carcinoma of diagnosis in a hepatitis B-endemic Asian population. Med Oncol 2010;27:339-45. [Crossref] [PubMed]
- European Association For The Study Of The Liver. EASL-EORTC clinical practice guidelines: management of hepatocellular carcinoma. J Hepatol 2012;56:908-43. [Crossref] [PubMed]
- Chernyak V, Fowler KJ, Kamaya A, et al. Liver Imaging Reporting and Data System (LI-RADS) Version 2018: Imaging of Hepatocellular Carcinoma in At-Risk Patients. Radiology 2018;289:816-30. [Crossref] [PubMed]
- Kudo M. Early hepatocellular carcinoma: definition and diagnosis. Liver Cancer 2013;2:69-72. [Crossref] [PubMed]
- Pathologic diagnosis of early hepatocellular carcinoma: a report of the international consensus group for hepatocellular neoplasia. Hepatology 2009;49:658-64. [Crossref] [PubMed]
- Della Corte C, Triolo M, Iavarone M, et al. Early diagnosis of liver cancer: an appraisal of international recommendations and future perspectives. Liver Int 2016;36:166-76. [Crossref] [PubMed]
- Jelic S, Sotiropoulos GC. Hepatocellular carcinoma: ESMO Clinical Practice Guidelines for diagnosis, treatment and follow-up. Ann Oncol 2010;21:v59-64. [Crossref] [PubMed]
- Liang R, Liu Z, Piao X, et al. Research progress on GP73 in malignant tumors. Onco Targets Ther 2018;11:7417-21. [Crossref] [PubMed]
- Sherman M. Current status of alpha-fetoprotein testing. Gastroenterol Hepatol (N Y) 2011;7:113-4. [PubMed]
- Bayati N, Silverman AL, Gordon SC. Serum alpha-fetoprotein levels and liver histology in patients with chronic hepatitis C. Am J Gastroenterol 1998;93:2452-6. [Crossref] [PubMed]
- Farinati F, Marino D, De Giorgio M, et al. Diagnostic and prognostic role of alpha-fetoprotein in hepatocellular carcinoma: both or neither? Am J Gastroenterol 2006;101:524-32. [Crossref] [PubMed]
- Andersson KL, Salomon JA, Goldie SJ, et al. Cost effectiveness of alternative surveillance strategies for hepatocellular carcinoma in patients with cirrhosis. Clin Gastroenterol Hepatol 2008;6:1418-24. [Crossref] [PubMed]
- Kladney RD, Bulla GA, Guo L, et al. GP73, a novel Golgi-localized protein upregulated by viral infection. Gene 2000;249:53-65. [Crossref] [PubMed]
- Liu G, Zhang Y, He F, et al. Expression of GOLPH2 is associated with the progression of and poor prognosis in gastric cancer. Oncol Rep 2014;32:2077-85. [Crossref] [PubMed]
- Block TM, Comunale MA, Lowman M, et al. Use of targeted glycoproteomics to identify serum glycoproteins that correlate with liver cancer in woodchucks and humans. Proc Natl Acad Sci U S A 2005;102:779-84. [Crossref] [PubMed]
- Lin L, Yan L, Liu Y, et al. The Burden and Trends of Primary Liver Cancer Caused by Specific Etiologies from 1990 to 2017 at the Global, Regional, National, Age, and Sex Level Results from the Global Burden of Disease Study 2017. Liver Cancer 2020;9:563-82. [Crossref] [PubMed]
- Macias RIR, Monte MJ, Serrano MA, et al. Impact of aging on primary liver cancer: epidemiology, pathogenesis and therapeutics. Aging (Albany NY) 2021;13:23416-34. [Crossref] [PubMed]
- Campisi J. Aging, cellular senescence, and cancer. Annu Rev Physiol 2013;75:685-705. [Crossref] [PubMed]
- Liu T, Yao M, Liu S, et al. Serum Golgi protein 73 is not a suitable diagnostic marker for hepatocellular carcinoma. Oncotarget 2017;8:16498-506. [Crossref] [PubMed]
- Mao M, Wang X, Song Y, et al. Novel Prognostic Scores Based on Plasma Prothrombin Time and Fibrinogen Levels in Patients With AFP-Negative Hepatocellular Carcinoma. Cancer Control 2020;27:1073274820915520. [Crossref] [PubMed]
- Aytac S, Turkay C, Bavbek N, et al. Hemostasis and global fibrinolytic capacity in chronic liver disease. Blood Coagul Fibrinolysis 2007;18:623-6. [Crossref] [PubMed]
- Trépo C, Chan HL, Lok A. Hepatitis B virus infection. Lancet 2014;384:2053-63. [Crossref] [PubMed]
- Vlachogiannakos J, Papatheodoridis GV, Hepatitis B. Who and when to treat? Liver Int 2018;38:71-8. [Crossref] [PubMed]
- Choi WM, Yip TC, Wong GL, et al. Baseline Viral Load and On-Treatment Hepatocellular Carcinoma Risk in Chronic Hepatitis B: A Multinational Cohort Study. Clin Gastroenterol Hepatol 2025;23:310-320.e7. [Crossref] [PubMed]

