Global, regional, and national burden of liver cancer attributable to hepatitis B virus among middle-aged and older adults from 1990 to 2021 and projections to 2035: results of the Global Burden of Disease Study 2021
Highlight box
Key findings
• Although the age-standardized incidence rate of liver cancer attributable to hepatitis B virus (HBV) among adults aged 55 and older has shown a declining trend globally from 1990 to 2021, its societal burden remains substantial. Significant disparities persist across regions and countries, highlighting an urgent need to enhance societal attention to this issue.
What is known and what is new?
• Liver cancer attributable to HBV is a malignant tumor of the liver caused by the hepatitis B virus that imposes an enormous global health burden.
• In this study, the estimated annual percentage change was used to assess changes in age-standardized incidence, mortality, and disability-adjusted life years rates, and the relationship between disease burden and sociodemographic indices was further analyzed. Bayesian age-period-cohort modeling was used to predict trends over the 14 years following 2021.
What is the implication, and what should change now?
• From 1990 to 2021, the global regional and national burden of liver cancer attributable to HBV in middle-aged and older adults declined, but the number of morbidities and deaths has been increasing due to population growth and aging. As the burden of risk increases with age, greater attention should be paid to liver cancer attributable to HBV in middle-aged and older adults.
Introduction
Primary liver cancer, as one of the most common malignant tumors worldwide, is the third leading cause of cancer-related deaths and imposes a heavy burden on society due to its high degree of malignancy, rapid progression, poor prognosis, and invasiveness (1). Chronic hepatitis B virus (HBV) infection can cause a range of symptoms, the majority of which are related to liver damage, liver fibrosis, cirrhosis, and even liver cancer (2). According to statistics, about 55% of liver cancer cases are closely associated with HBV infection, with the common risk factors including obesity, alcohol consumption, and smoking (3,4). Globally, the risk of liver cancer in males with HBV infection is 3 to 5 times higher than that in females, and middle-aged and older adults are at significantly high risk (5). The aim of this study was to provide an up-to-date assessment of the global, regional, and national epidemiologic trends of liver cancer attributable to HBV and the projections up to 2035 for the middle-aged and older adult high-risk population aged 55 years and older.
The Global Burden of Disease (GBD) systematically collects quantitative indicators [such as incidence, mortality, and disability-adjusted life years (DALYs)] of the health impacts of global diseases, injuries, and risk factors. It is one of the most widely used data sources in cross-national epidemiological comparative studies. As an important supplement for regions lacking high-quality local registry data, the GBD estimates provide comparable assessments through standardized modeling methods. However, due to limitations in raw data quality and model assumptions, the results should be interpreted alongside uncertainty intervals (UIs). These estimates serve as objective evidence of disease burden for governments and research institutions, offering critical references for public health policymaking and the optimization of clinical intervention strategies. Additionally, they provide preliminary data support for evaluating the effectiveness of subsequent health measures (6,7).
Trends in incidence, prevalence, mortality, DALYs of liver cancer, major risk factors, and differences among countries in different regions from 1990 to 2021 have been examined in previous studies (8). The problem of liver cancer attributable to HBV remains highly acute and mainly afflicts middle-aged and older adults, with population growth and aging being the main drivers of the increase in the number of incident deaths (9). Based on this, we conducted an in-depth assessment of the trends in liver cancer attributable to HBV morbidity, mortality, and DALYs from 1990 to 2021 in the high-risk population aged 55 years and older using the most up-to-date data. Furthermore, we projected the burden of disease in the study population to 2035 in order to provide a theoretical reference for prevention and control policies related to global liver cancer attributable to HBV. We present this article in accordance with the STROBE reporting checklist (available at https://jgo.amegroups.com/article/view/10.21037/jgo-2025-309/rc).
Methods
Data sources
All data used in this study were obtained from the latest public release of the GBD 2021 database via the Global Health Data Exchange (GHDx) online query tool (https://vizhub.healthdata.org/gbd-results/). The database provides information on 371 diseases and injuries and the corresponding 88 risk factors of 204 countries and territories for the 1990–2021 period, making it one of the most comprehensive public health databases in the world (10). The diagnosis of liver cancer in this study was based on the International Classification of Diseases, 10th edition (ICD-10; code: C22.0), and the diagnosis of hepatitis B was based on ICD-10 (B16, B18.0, and B18.1) (https://icd.who.int/browse10/2019/en) (11). On the GBD database filter, we selected “Liver cancer due to hepatitis B” as the study disease, with the metrics “Incidence”, “Deaths”, and “DALYs”, and an age restriction of “55+ years”.
Selection of indicators
In this study, morbidity, mortality, DALYs, and socio-demographic index indicators were used to assess the burden of disease of liver cancer attributable to HBV in middle-aged and older adults. DALYs is a comprehensive public health indicator used to quantify the loss of healthy lives from the onset of disease to death. The indicator consists of two core components, including years of life lost (YLLs) due to premature death and years lost due to disability (YLDs) and is thus calculated as follows: DALYs = YLLs + YLDs (12). The sociodemographic index (SDI) was introduced by the GBD Study team as a composite indicator for comprehensively assessing the socioeconomic development levels of countries and regions. The indicator is constructed through a multidimensional index system encompassing core socioeconomic determinants such as the total fertility rate for women under 25 years, average years of education among females aged 15 years and above, per capita income, and other factors (13).
Statistical analysis
To analyze the average annual change in the age-standardized rates (ASRs) of liver cancer attributable to HBV incidence, mortality, and DALYs, we used the estimated annual percentage change (EAPC) method. The formula for ASR is as follows:
where, αi is the age-specific rate for the given age group, Wi is the number of individuals in the given age group within the standard population, and N is the total number of age groups. The 95% UI in the GBD estimates are derived through a computational approach that accounts for methodological variations across countries and the uncertainty associated with multiple imputation of missing data. This is achieved through repeated sampling calculations via correlation matrices. In this study, UIs were calculated based on data from 1,000 random samples, with the 25th and 975th values serving as the lower and upper limits of the interval, respectively.
The calculation of EAPC was based on a generalized linear regression model with the following formula: Y=α+βX+ε, where Y is the natural logarithm of the ASR, α is the intercept, β is the linear trend, X is the calendar year, and ε is the error term that accounts for the random variation in the model. EAPC along with its 95% confidence interval (CI) was determined with the following formula: EAPC=100×(eβ−1). The CIs are presented in parentheses following the EAPC values. A lower limit of both EAPC and its CI being positive indicates an upward trend in ASR; conversely, an upper limit of both EAPC and its CI being negative indicates a downward trend in ASR; finally, if neither of the above two conditions is satisfied, the trend of ASR change is considered to be stable. The direct relationship between ASR and SDI was assessed via Spearman correlation. The Bayesian age-period-cohort model (BAPC) incorporating integrated nested Laplace approximation (INLA) provides extensive coverage and good accuracy in parameter estimation (14,15). Based on this, we used the BAPC to predict and analyze the future trend of liver cancer attributable to HBV disease burden among the middle-aged and older adult population. All the statistical analyses and visualizations of data were realized via packages in R software version 4.4.2 (The R Foundation for Statistical Computing).
Ethical consideration
This study was conducted in accordance with the Declaration of Helsinki and its subsequent amendments. The University of Washington Institutional Review Board approved an exemption for this study because it used publicly available data that did not contain any confidential or personally identifiable information.
Results
Global burden of liver cancer attributable to HBV in middle-aged and older adults
In 2021, the global burden of liver cancer attributable to HBV among middle-aged and older adults remained substantial, with 127,408.8 incident cases (95% UI: 100,687.6–159,471.2), representing a 120.2% increase compared to 1990 levels. The global age-standardized incidence rate (ASIR) for liver cancer attributable to HBV in people aged 55 years and older was 8.6/100,000 (95% UI: 6.8–10.7), and the EAPC was −0.04 (95% CI: −0.16 to 0.07) (Table 1). Additionally, the number of deaths from liver cancer attributable to HBV in the study population was 119,306.0 (95% UI: 94,492.1–149,305.3), with an age-standardized mortality rate (ASMR) of 8.0/100,000 (95% UI: 6.4–10.0) and an EAPC of −0.36 (95% CI: −0.50 to −0.22) (Table 2). Notably, middle-aged and older males exhibited a significantly higher ASIR, ASMR, and age-standardized DALY rate (ASDR) compared to females (Tables 1,2, Table S1).
Table 1
| Location | 1990 | 2021 | EAPC (95% CI) | |||
|---|---|---|---|---|---|---|
| Number (95% UI) | ASIR (95% UI) | Number (95% UI) | ASIR (95% UI) | |||
| Worldwide | 57,854.6 (47,405.5–69,461.9) | 8.6 (7.1–10.3) | 127,408.8 (100,687.6–159,471.2) | 8.6 (6.8–10.7) | −0.04 (−0.16, 0.07) | |
| Sex | ||||||
| Male | 45,431.3 (37,777.0–54,312.3) | 14.6 (12.1–17.4) | 101,274.4 (79,767.8–128,094.3) | 14.5 (11.4–18.3) | −0.06 (−0.19, 0.06) | |
| Female | 12,423.3 (9,257.3–15,864.4) | 3.5 (2.6–4.4) | 26,134.4 (19,783.7–33,339.2) | 3.3 (2.5–4.2) | −0.12 (−0.20, −0.04) | |
| SDI | ||||||
| High SDI | 10,780.2 (8,370.1–13,274.5) | 5.8 (4.5–7.1) | 22,718.9 (17,851.2–28,191.6) | 6.6 (5.2–8.2) | 0.25 (0.06, 0.43) | |
| High-middle SDI | 15,475.2 (12,715.3–18,616.3) | 9.0 (7.4–10.8) | 33,705.0 (25,852.5–42,597.8) | 9.7 (7.5–12.3) | 0.21 (0.00, 0.41) | |
| Middle SDI | 23,065.2 (19,030.9–27,331.6) | 13.3 (11.0–15.7) | 54,555.5 (41,955.2–69,041.5) | 11.6 (8.9–14.7) | −0.30 (−0.39, −0.20) | |
| Low-middle SDI | 4,664.0 (3,330.8–6,229.9) | 4.6 (3.3–6.2) | 10,538.1 (7,855.1–13,719.7) | 4.4 (3.3–5.7) | −0.39 (−0.45, −0.32) | |
| Low SDI | 3,841.0 (2,434.9–5,645.3) | 10.3 (6.5–15.1) | 5,843.5 (4,001.8–8,012.1) | 7.1 (4.9–9.8) | −1.40 (−1.54, −1.26) | |
| GBD regions | ||||||
| Andean Latin America | 151.2 (104.1–201.4) | 4.5 (3.1–6.0) | 408.7 (269.7–599.2) | 4.1 (2.7–6.0) | −0.46 (−0.65, −0.26) | |
| Australasia | 46.3 (29.4–70.7) | 1.2 (0.7–1.8) | 273.3 (172.9–407.2) | 3.1 (2.0–4.6) | 2.94 (2.70, 3.18) | |
| Caribbean | 86.8 (55.0–126.1) | 2.0 (1.3–2.9) | 157.1 (95.2–229.2) | 1.7 (1.0–2.5) | −0.88 (−1.20, −0.57) | |
| Central Asia | 612.0 (384.4–902.9) | 7.7 (4.8–11.3) | 876.3 (535.2–1,315.9) | 6.0 (3.7–9.0) | −1.20 (−1.37, −1.04) | |
| Central Europe | 807.3 (520.2–1,149.9) | 3.0 (2.0–4.3) | 1,034.0 (684.3–1,477.8) | 2.8 (1.8–4.0) | −0.47 (−0.61, −0.34) | |
| Central Latin America | 234.4 (157.4–337.4) | 1.7 (1.2–2.5) | 585.7 (393.3–834.5) | 1.4 (0.9–2.0) | −0.78 (−1.12, −0.44) | |
| Central Sub-Saharan Africa | 225.6 (90.5–525.1) | 6.0 (2.4–14.0) | 325.6 (124.0–778.3) | 3.6 (1.4–8.6) | −1.94 (−2.05, −1.83) | |
| East Asia | 31,414.5 (25,922.9–37,702.8) | 21.1 (17.4–25.3) | 72,211.2 (55,493.9–92,599.7) | 18.4 (14.2–23.6) | −0.32 (−0.49, −0.15) | |
| Eastern Europe | 778.2 (599.6–997.4) | 1.6 (1.2–2.0) | 1,171.0 (901.5–1,471.7) | 1.9 (1.5–2.4) | 0.33 (0.17, 0.49) | |
| Eastern Sub-Saharan Africa | 881.6 (554.0–1,320.8) | 7.2 (4.6–10.9) | 1,544.9 (937.6–2,506.3) | 5.7 (3.5–9.3) | −1.16 (−1.46, −0.87) | |
| High-income Asia Pacific | 6,987.7 (5,252.8–8,716.5) | 20.0 (15.0–24.9) | 11,927.1 (9,339.0–14,731.0) | 16.9 (13.2–20.9) | −0.84 (−0.94, −0.74) | |
| High-income North America | 687.3 (550.7–823.3) | 1.2 (1.0–1.4) | 2,947.7 (2,341.1–3,581.6) | 2.6 (2.1–3.2) | 2.72 (2.53, 2.91) | |
| North Africa and Middle East | 1,475.2 (974.4–2,149.6) | 5.2 (3.4–7.6) | 4,021.8 (2,796.8–5,590.7) | 5.3 (3.7–7.3) | −0.20 (−0.46, 0.06) | |
| Oceania | 43.5 (24.1–91.6) | 9.0 (5.0–19.1) | 78.3 (42.8–155.7) | 6.3 (3.5–12.6) | −1.33 (−1.43, −1.24) | |
| South Asia | 2,786.2 (2,210.7–3,454.1) | 2.9 (2.3–3.6) | 8,843.7 (6,948.6–10,944.3) | 3.6 (2.8–4.4) | 0.65 (0.62, 0.68) | |
| Southeast Asia | 4,918.3 (3,543.4–6,492.3) | 11.6 (8.4–15.3) | 10,619.8 (7,066.6–15,184.5) | 9.3 (6.2–13.3) | −0.92 (−1.03, −0.80) | |
| Southern Latin America | 53.6 (32.5–81.2) | 0.7 (0.4–1.0) | 207.2 (129.1–312.8) | 1.4 (0.9–2.1) | 2.83 (2.62, 3.03) | |
| Southern Sub-Saharan Africa | 264.3 (138.8–438.4) | 6.0 (3.1–9.9) | 772.6 (591.3–1,025.9) | 7.9 (6.1–10.5) | −0.01 (−0.66, 0.64) | |
| Tropical Latin America | 184.6 (147.3–225.0) | 1.2 (1.0–1.5) | 609.2 (475.9–760.3) | 1.4 (1.1–1.7) | 0.61 (0.43, 0.79) | |
| Western Europe | 1,981.4 (1,390.7–2,747.8) | 2.0 (1.4–2.8) | 4,355.2 (2,986.3–6,174.3) | 2.9 (2.0–4.1) | 1.11 (0.99, 1.24) | |
| Western Sub-Saharan Africa | 3,234.6 (1,984.8–4,967.6) | 22.4 (13.7–34.4) | 4,438.3 (3,146.3–5,757.7) | 13.8 (9.8–17.9) | −1.76 (−1.93, −1.60) | |
ASIR, age-standardized incidence rate; CI, confidence interval; EAPC, estimated annual percentage change; GBD, Global Burden of Disease; SDI, sociodemographic index; UI, uncertainty interval.
Table 2
| Location | 1990 | 2021 | EAPC (95% CI) | |||
|---|---|---|---|---|---|---|
| Number (95% UI) | ASMR (95% UI) | Number (95% UI) | ASMR (95% UI) | |||
| Worldwide | 59,489.8 (48,758.2–71,533.5) | 8.9 (7.3–10.7) | 119,306.0 (94,492.1–149,305.3) | 8.0 (6.4–10.0) | −0.36 (−0.50, −0.22) | |
| Sex | ||||||
| Male | 46,484.3 (38,643.9–55,629.6) | 14.9 (12.4–17.9) | 93,801.0 (73,261.1–118,770.7) | 13.4 (10.5–17.0) | −0.41 (−0.56, −0.26) | |
| Female | 13,005.5 (9,703.5–16,679.9) | 3.6 (2.7–4.6) | 25,505.0 (19,275.2–32,496.9) | 3.2 (2.5–4.1) | −0.33 (−0.42, −0.23) | |
| SDI | ||||||
| High SDI | 10,366.2 (8,079.1–12,745.0) | 5.6 (4.3–6.8) | 18,602.6 (14,634.7–22,993.8) | 5.4 (4.2–6.7) | −0.26 (−0.41, −0.10) | |
| High-middle SDI | 16,022.7 (13,186.2–19,317.9) | 9.3 (7.6–11.2) | 31,606.7 (24,459.0–39,731.1) | 9.1 (7.1–11.5) | −0.14 (−0.38, 0.10) | |
| Middle SDI | 24,054.8 (19,841.0–28,439.5) | 13.9 (11.4–16.4) | 51,674.8 (40,072.6–65,716.9) | 11.0 (8.5–14.0) | −0.63 (−0.75, −0.51) | |
| Low-middle SDI | 4,928.1 (3,534.5–6,596.1) | 4.9 (3.5–6.5) | 11,140.0 (8,391.3–14,408.6) | 4.6 (3.5–6.0) | −0.41 (−0.48, −0.33) | |
| Low SDI | 4,087.4 (2,596.9–6,008.6) | 11.0 (7.0–16.1) | 6,232.8 (4,282.4–8,479.4) | 7.6 (5.2–10.3) | −1.38 (−1.53, −1.24) | |
| GBD regions | ||||||
| Andean Latin America | 165.0 (114.9–218.3) | 4.9 (3.4–6.5) | 445.6 (295.4–649.5) | 4.5 (3.0–6.6) | −0.50 (−0.73, −0.28) | |
| Australasia | 45.9 (29.1–70.6) | 1.2 (0.7–1.8) | 239.1 (152.1–360.6) | 2.7 (1.7–4.1) | 2.41 (2.17, 2.65) | |
| Caribbean | 93.7 (60.1–136.8) | 2.2 (1.4–3.2) | 166.3 (101.3–239.9) | 1.8 (1.1–2.6) | −0.96 (−1.27, −0.64) | |
| Central Asia | 642.1 (405.8–941.1) | 8.0 (5.1–11.8) | 915.8 (563.9–1,373.7) | 6.3 (3.9–9.4) | −1.25 (−1.42, −1.08) | |
| Central Europe | 858.8 (557.5–1,223.6) | 3.2 (2.1–4.6) | 1,092.1 (724.6–1,557.0) | 2.9 (2.0–4.2) | −0.48 (−0.65, −0.31) | |
| Central Latin America | 251.9 (170.1–360.5) | 1.9 (1.3–2.7) | 627.8 (425.5–897.8) | 1.5 (1.0–2.1) | −0.90 (−1.27, −0.52) | |
| Central Sub-Saharan Africa | 236.5 (94.2–553.9) | 6.3 (2.5–14.7) | 342.2 (129.3–837.2) | 3.8 (1.4–9.3) | −1.94 (−2.05, −1.83) | |
| East Asia | 32,538.7 (26,789.4–39,015.7) | 21.8 (18.0–26.2) | 66,327.4 (50,987.8–84,773.5) | 16.9 (13.0–21.6) | −0.74 (−0.95, −0.52) | |
| Eastern Europe | 816.1 (633.4–1,038.4) | 1.7 (1.3–2.1) | 1,225.8 (951.6–1,535.5) | 2.0 (1.5–2.5) | 0.41 (0.19, 0.62) | |
| Eastern Sub-Saharan Africa | 935.0 (587.6–1,406.7) | 7.7 (4.8–11.6) | 1,640.5 (996.1–2,625.2) | 6.1 (3.7–9.7) | −1.14 (−1.43, −0.84) | |
| High-income Asia Pacific | 6,588.2 (4,923.6–8,305.9) | 18.8 (14.1–23.8) | 9,087.1 (7,157.6–11,197.9) | 12.9 (10.2–15.9) | −1.48 (−1.60, −1.35) | |
| High-income North America | 622.4 (501.4–745.7) | 1.1 (0.9–1.3) | 2,365.7 (1,874.6–2,870.8) | 2.1 (1.7–2.6) | 2.33 (2.18, 2.48) | |
| North Africa and Middle East | 1,558.5 (1,028.3–2,289.4) | 5.5 (3.6–8.1) | 4,177.3 (2,902.2–5,798.2) | 5.5 (3.8–7.6) | −0.28 (−0.54, −0.02) | |
| Oceania | 45.5 (25.3–95.2) | 9.5 (5.3–19.8) | 81.4 (44.5–162.4) | 6.6 (3.6–13.2) | −1.35 (−1.45, −1.25) | |
| South Asia | 2,940.8 (2,333.1–3,624.7) | 3.1 (2.5–3.8) | 9,396.3 (7,432.2–11,548.0) | 3.8 (3.0–4.7) | 0.62 (0.57, 0.67) | |
| Southeast Asia | 5,167.7 (3,707.8–6,787.9) | 12.2 (8.8–16.0) | 10,815.5 (7,239.3–15,375.1) | 9.4 (6.3–13.4) | −1.02 (−1.14, −0.89) | |
| Southern Latin America | 57.2 (34.7–86.7) | 0.7 (0.4–1.1) | 216.3 (136.5–330.0) | 1.5 (0.9–2.2) | 2.79 (2.53, 3.06) | |
| Southern Sub-Saharan Africa | 282.7 (149.9–467.8) | 6.4 (3.4–10.6) | 821.3 (629.5–1,088.1) | 8.4 (6.5–11.2) | −0.03 (−0.73, 0.67) | |
| Tropical Latin America | 197.4 (158.7–239.2) | 1.3 (1.0–1.6) | 646.4 (510.8–804.4) | 1.5 (1.2–1.8) | 0.67 (0.47, 0.87) | |
| Western Europe | 1,983.3 (1,397.9–2,756.6) | 2.0 (1.4–2.8) | 3,922.0 (2,728.2–5,538.2) | 2.6 (1.8–3.7) | 0.75 (0.62, 0.88) | |
| Western Sub-Saharan Africa | 3,462.3 (2,132.4–5,304.4) | 24.0 (14.8–36.7) | 4,754.0 (3,399.8–6,161.9) | 14.8 (10.6–19.2) | −1.74 (−1.91, −1.57) | |
ASMR, age-standardized mortality rate; CI, confidence interval; EAPC, estimated annual percentage change; GBD, Global Burden of Disease; SDI, sociodemographic index; UI, uncertainty interval.
Regional burden of liver cancer attributable to HBV in middle-aged and older adults
In terms of regional-level outcomes, the 2021 liver cancer attributable to HBV ASIR for middle-aged and older adults was highest in the middle SDI regions at 11.6/100,000 (95% UI: 8.9–14.7) and lowest in the low-middle SDI regions at 4.4/100,000 (95% UI: 3.3–5.7) (Table 1). In addition, the liver cancer attributable to HBV ASMR in this study population was similarly highest in the medium SDI regions at 11.0/100,000 (95% UI: 8.5–14.0) and lowest in the low-middle SDI regions at 4.6/100,000 (95% UI: 3.5–6.0) (Table 2). It is interesting to note that the ASIR, ASMR, and ASDR underwent a continuous downward trend in the middle SDI, low-middle SDI, and low SDI regions. In the high SDI regions, ASIR showed a sustained upward trend, while ASMR and ASDR exhibited downward trends (Figure 1, Figures S1,S2).
During the period from 1990 to 2021, significant gender differences were observed in the burden of liver cancer attributable to HBV among middle-aged and older adults across different regions. Globally and across all five SDI regions, the ASIR, ASMR, and ASDR of liver cancer attributable to HBV among adults aged 55 years and older were consistently higher in males than females, with generally consistent overall trends. In 2021, the incidence cases of liver cancer attributable to HBV among middle-aged and older males accounted for 79.49% (101,274.4 cases) of the total, while females accounted for 20.51% (26,134.4 cases) (Table 1). The trends in disease burden across the five SDI regions indicated that the ASIR, ASMR, and ASDR of liver cancer attributable to HBV in adults aged 55 years and older declined consistently after the year 2000. Of note, the 2021 ASIR for liver cancer attributable to HBV in middle-aged and older adults was highest in middle SDI regions, followed closely by high-middle SDI regions, while it was lowest in low-middle SDI regions. In addition, the ASIR, ASMR, and ASDR of liver cancer attributable to HBV declined the most in the low SDI regions from 2000 to 2021, while the burden of disease in the medium-low SDI regions remained relatively stable (Figure 1, Figures S1,S2). A comparison of disease burden across 21 regions revealed that in 1990, the high-income Asia Pacific region had the highest ASIR of liver cancer attributable to HBV among middle-aged and older adults. While by 2021, East Asia had surpassed the high-income Asia Pacific region to rank first in ASIR for liver cancer attributable to HBV in this population group. Meanwhile, the burden of disease was consistently lower in tropical Latin America, Central America, southern Latin America, and the Caribbean (Figure 2, Figures S3,S4).
National burden of liver cancer attributable to HBV for middle-aged and older adults
We investigated liver cancer attributable to HBV among middle-aged and older adults from a national and regional perspective. Mongolia had the highest ASIR (66.6/100,000; 95% UI: 38.3–105.4), followed by Gambia (57.6/100,000; 95% UI: 33.6–93.0), while Morocco (0.8/100,000; 95% UI: 0.4–1.2) had the lowest level. Among the 204 countries and territories analyzed, 64 and 116 showed an increasing and decreasing incidence rate, respectively (Table S2). It is worth noting that China ranked first globally in incidence, deaths, and DALYs from 1990 to 2021 while exhibiting sustained declines in ASIR, ASMR, and ASDR (Tables S2-S4, Figure 3, Figure S5).
Age group differences in the burden of liver cancer attributable to HBV in middle-aged and older adults
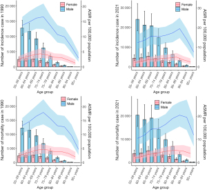
In the middle-aged and older adult age groups, the distribution of incidence, deaths, and DALYs of liver cancer attributable to HBV in men and women differed from their standardized rates in each age group. Specifically, in 2021, the incidence, mortality, and DALYs of liver cancer attributable to HBV in the study population peaked in the 55 to 59-year age group, while ASIR and ASMR were highest in the 85 to 89-year age group, and ASDR was the highest in the 65 to 69-year age group. The burden of disease was consistently higher in the middle-aged and older adult male population than in the female one, while the distribution trends were similar (Figure 4, Figure S6).
SDI-based liver cancer attributable to HBV burden for middle-aged and older adults
From 1990 to 2021, significant correlations were also observed between the ASIR, ASMR, and ASDR of liver cancer attributable to HBV and the SDI across 21 regions. ASIR, age-standardized prevalence rate (ASPR), and ASDR were negatively correlated with the SDI for all areas when the SDI value was less than 0.7 and positively correlated when the SDI was greater than 0.7. The ASIR, ASPR, and ASDR are well above expected levels in a number of regions, including western Sub-Saharan Africa, East Asia, and the high-income Asia-Pacific region (Figure 5). At the national level, the trends of ASIR, ASMR, and ASDR for middle-aged and older adults with liver cancer attributable to HBV in relation to SDI mirror those observed at the regional level. The liver cancer attributable to HBV burden among middle-aged and older adults in countries and regions including Mali, Gambia, Mauritania, Mongolia, Tonga, and South Korea was significantly higher than expected (Figure 6, Figure S7).
Attributable risk factors
In 2021, the ASMR due to all risk factors for liver cancer attributable to HBV among middle-aged and older adults was 1.82/100,000 (95% UI: 1.03–2.75), and the ASDR was 45.16/100,000 (95% UI: 25.43–68.47). We identified four risk factors for liver cancer attributable to HBV in the middle-aged and older adults: smoking, high body mass index, drug use, and high alcohol use (Figure 7, Figure S8).
Projection of liver cancer attributable to HBV burden in middle-aged and older adults to 2035
The global future trends of ASIR, ASMR and ASDR of liver cancer attributable to HBV in middle-aged and older adults from 2022 to 2035 were based on BAPC projections. According to our results, from 2021 to 2035, the ASIR, ASMR, and ASDR for liver cancer attributable to HBV among middle-aged and older adults worldwide will continue to show a declining trend, as will the burden on society; by 2035 the ASIR will be 8.34/100,000 (95% UI: 6.26–10.41), the ASMR will be 7.30/100,000 (95% UI: 5.48–9.12), and the ASDR will be 172.34/100,000 (95% UI: 118.50–226.19). Moreover, we found that the burden of liver cancer attributable to HBV will be consistently higher in men than in women throughout the projection period (Figure 8, Figure S9).
Discussion
Our results indicate that the ASIR of liver cancer attributable to HBV among middle-aged and older adults declined from 1990 to 2021. Concurrently, the ASMR and ASDR decreased by 10.11% and 15.64% respectively, while the incidence, deaths, and DALYs increased by 120.22%, 100.54%, and 86.79% respectively. This seemingly paradoxical phenomenon may be inextricably linked to factors such as the growth of the population base, increased aging, the incremental advances in effective preventive and control measures for hepatitis B, and the prolongation of the survival period due to the increase in the rate of the early diagnosis of liver cancer (16). It is worth noting that the ASIR of liver cancer attributable to HBV among the middle-aged and older age groups, after a rapid increase from 1990 to 2000, declined significantly through 2005, which was followed by a slight increase in the subsequent decade until the 2015–2021 period when it continued to decline steadily. The cumulative effects of HBV infection continued to unfold from 1990 to 2000, and the emergence of antiviral therapy in 2000 was accompanied by the first achievements from public health interventions in most parts of the world (17).
The World Health Organization (WHO) launched universal vaccination in 1991 to prevent perinatal and early childhood HBV transmission. As of 2022, the WHO reported that 190 member states had introduced nationwide infant HBV vaccination programs. The global coverage rate for the three-dose hepatitis B vaccine series reached 83%, with 113 WHO member states implementing birth-dose vaccination within 24 hours after birth (18). The Western Pacific Region demonstrated remarkable achievements in hepatitis B vaccination through early and substantial investment in immunization programs. By 2020, the estimated coverage rates for the three-dose hepatitis B vaccination series reached 99% in China, 96% in Mongolia, and 94% in Vietnam. Meanwhile, hepatitis B vaccination coverage rate reached 91% in the United States. In the European region, the 2017 data showed that 91% of infants received the three-dose hepatitis B vaccine series within 24 months after birth. In Sub-Saharan Africa, universal hepatitis B vaccination was implemented under the Expanded Program on Immunization (EPI) starting in 1990. By 2020, the median vaccination coverage rate had reached 82.5%, yet only 9 countries had introduced birth-dose vaccination (19). Although the progressive expansion of vaccination coverage directly contributed to the decline in ASIR, ASMR, and ASDR, the combined effects of population growth, accelerated aging, and the accumulated burden of historical infections have continued to sustain a substantial disease burden (20). At the regional level, middle SDI regions bear the most prominent burden of liver cancer attributable to HBV among middle-aged and older adults, necessitating the adoption of integrated HBV prevention and control measures implemented in high SDI regions. Specifically, this includes strengthening regular monitoring and early antiviral therapy for middle-aged and older adult HBV carriers, as well as improving access to early liver cancer diagnosis and cutting-edge treatment technologies.
At the national level, China remains one of the countries with the highest HBV prevalence rates worldwide, accounting for nearly half of new liver cancer cases and related deaths in the world (21). One study (22) found that the overall trend of liver cancer attributable to HBV morbidity and mortality among middle-aged and older adults in China both declined significantly from 1990 to 2019, which is basically consistent with our study. This result may be related to the popularization of the hepatitis B vaccine, advances in antiviral therapy, improved blood safety, and improved screening and early diagnosis for liver cancer (23). The accelerated decline in morbidity and mortality, especially after 1997, is likely attributable to two major factors. One is the seven-word policy of “managing water, managing food, and preventing hepatitis” proposed by China in the 1970s, which helped prevent hepatitis infection and liver cancer (24). The second is the reform and opening-up of China, along with the significant elevation of living standards, hygiene, and the medical level, which provided favorable conditions for reducing hepatitis infection and liver cancer (25). Mongolia has the world’s highest ASIR, ASMR, and ASDR of liver cancer attributable to HBV among middle-aged and older adults, reflecting an exceptionally severe disease burden. Before 1995, Mongolia widely used reusable glass syringes, a practice that significantly exacerbated HBV transmission and became a key contributing factor to the exceptionally high burden of liver cancer attributable to HBV among individuals aged 55 years and older in the country (26). According to epidemiological investigations, the social burden of liver cancer attributable to HBV in Mongolia reached its highest level around 1970, and thus a national plan for the prevention and control of viral hepatitis was established in 1988, and a hepatitis B vaccine was fully implemented into the routine immunization program in 1992 (27). Although these initiatives have been effective in improving HBV transmission, the social burden of liver cancer attributable to HBV among middle-aged and older adults in Mongolia remains substantial and unresolved (28). This issue is also particularly prominent in South Korea, with the contributing factors being a historically high prevalence of HBV, genotypic oncogenicity, superimposed comorbidities, dietary habits, and delayed treatment (29). As South Korea transitions into an aging society, the proportion of middle-aged and older adults with liver cancer attributable to HBV is increasing at an accelerated pace, with the incidence rate projected to continue rising until 2028. These patients often present with comorbidities and may face inadequate treatment access, and developing personalized management guidelines is critical to enhancing therapeutic outcomes and alleviating the socioeconomic burden (30,31). Race and ethnicity also influence the epidemiological outcomes to a degree. In the United States, hepatocellular carcinoma (HCC) accounts for 78% of all liver cancers. Among the US population, Native American, Black, and Latino men have the highest incidence of HCV-related HCC; Asian populations such as Cambodians, Chinese, and Laotians have the highest incidence of HBV-related HCC, but the incidence rates in Japanese and South Asian populations are consistent with those in White populations. More granular data and refined classifications are needed to address the specific needs of these populations and improve health outcomes (32,33).
We further found that gender plays a crucial role in the development of liver cancer attributable to HBV in middle-aged and older adults and that gender differences are reflected in the biological mechanisms, social behaviors, and metabolic factors of liver cancer attributable to HBV. The ASIR, ASMR and ASDR of liver cancer attributable to HBV in men were much higher than those in women in the population aged 55 years or older, regardless of region or age group, which may be closely related to the regulation of immune cells by female sex hormones (34). Research has found that estrogen (e.g., 17β-estradiol) can promote B-cell differentiation and antibody production by activating estrogen receptor ERα, thereby enhancing both innate and adaptive immune responses (35). Additionally, females inherently carry two X chromosomes, which contain numerous immune regulatory genes (e.g., TLR7 and FOXP3), potentially strengthening antiviral immunity (36). In addition to the influence of hormone levels and genetics, among other factors, the male lifestyle increases the long-term exposure to risk factors. The accumulation of long-term alcohol consumption, smoking, and other poor lifestyle habits in middle-aged and older adult men, combined with higher CYP450 enzyme activity in their livers as compared to women, may increase the metabolic toxicity of carcinogens such as alcohol and aflatoxins and synergistically promote hepatocarcinogenesis with HBV (37). Therefore, the control of liver cancer attributable to HBV has been more focused on the male population, and it is recommended to prioritize middle-aged and older adult males for enhanced HBV screening.
Our study also found that smoking, high BMI, drug use, and heavy alcohol consumption were the four major intervenable risk factors for liver cancer attributable to HBV in middle-aged and older adults. Cigarette smoking, as a synergistic carcinogenic factor for HBV, may promote hepatocarcinogenesis through inducing DNA damage and causing immunosuppression (38). Although these synergistic factors frequently coexist, recent multivariate analyses have shown that the independent effect of smoking remains significant (39-41). Future prevention and control strategies need to integrate smoking cessation interventions into the management guidelines of liver cancer attributable to HBV, especially in areas with high smoking and HBV prevalence.
This study involved several inherent limitations that should be acknowledged. To begin, the GBD database is highly dependent on data availability, accuracy, and completeness despite incorporating a vast array of data sources. However, there are several countries—particularly low- and middle-income countries—without complete disease registration systems or medical certificates detailing the causes of death. The results are extrapolated by means of statistical model estimation, reference to neighboring countries’ data, and integration of multisource data, leading to potential uncertainties and biases in the estimates. Moreover, the GBD database lacks information on histopathological types and clinical stages for liver cancer data. Even in high-income countries with well-established cancer registration systems, the estimated data often differ from the actual registration data (42). Furthermore, globalization-driven migration is transforming disease distribution patterns, compromising both the generalizability of research findings and the implementation of disease control measures. Concurrently, existing data aggregation approaches mask critical associations between epidemiological indicators and disease severity, as they fail to adequately incorporate key social determinants of health. Overreliance on such data homogeneity inevitably introduces constraints into policy decision-making (43). Therefore, these findings should be interpreted as a generalized regional overview rather than as definitive conclusions.
Conclusions
This study highlights key patterns linking liver cancer attributable to HBV with age structure, sociodemographic factors, and gender across global regions and countries, providing critical insights for the formulation of health policy and clinical practice. Due to increased vaccination coverage and heightened societal awareness, the incidence, mortality, and DALY rates of liver cancer attributable to HBV have declined over time. However, the disease burden remains substantial amid accelerating population aging. Consequently, healthcare providers must develop more cost-effective and targeted strategies to reduce the incidence and mortality of liver cancer attributable to HBV among middle-aged and older adults while simultaneously alleviating socioeconomic burdens and preventing any associated risks. Furthermore, tailored strategies for prevention, early detection, and treatment should be developed based on geographic distribution patterns and epidemiological characteristics, with specific adaptations for specific age groups and genders to address the growing burden imposed by liver cancer attributable to HBV driven by population aging.
Acknowledgments
We highly appreciate the work by the Global Burden of Diseases, Injuries, and Risk Factors Study 2021 collaborators.
Footnote
Reporting Checklist: The authors have completed the STROBE reporting checklist. Available at https://jgo.amegroups.com/article/view/10.21037/jgo-2025-309/rc
Peer Review File: Available at https://jgo.amegroups.com/article/view/10.21037/jgo-2025-309/prf
Funding: This work was supported by
Conflicts of Interest: All authors have completed the ICMJE uniform disclosure form (available at https://jgo.amegroups.com/article/view/10.21037/jgo-2025-309/coif). All authors report that this work was supported by the Anhui University Natural Science Research Key Project (No. 2023AH050751), the Anhui Provincial Health Research Project (No. AHWJ2023A20362), and the Anhui Province Clinical Medical Research Translation Special Program (No. 202427b10020025). The authors have no other conflicts of interest to declare.
Ethical Statement: The authors are accountable for all aspects of the work in ensuring that questions related to the accuracy or integrity of any part of the work are appropriately investigated and resolved. The study was conducted in accordance with the Declaration of Helsinki and its subsequent amendments. The University of Washington Institutional Review Board approved an exemption for this study because it used publicly available data and it did not contain any confidential or personally identifiable information.
Open Access Statement: This is an Open Access article distributed in accordance with the Creative Commons Attribution-NonCommercial-NoDerivs 4.0 International License (CC BY-NC-ND 4.0), which permits the non-commercial replication and distribution of the article with the strict proviso that no changes or edits are made and the original work is properly cited (including links to both the formal publication through the relevant DOI and the license). See: https://creativecommons.org/licenses/by-nc-nd/4.0/.
References
- Bray F, Laversanne M, Sung H, et al. Global cancer statistics 2022: GLOBOCAN estimates of incidence and mortality worldwide for 36 cancers in 185 countries. CA Cancer J Clin 2024;74:229-63. [Crossref] [PubMed]
- You HJ, Zhang HY, Zhong YJ, et al. Hepatitis B virus core protein promotes liver cancer progression by stabilizing CANX and suppressing IRF7 transcription. Acta Pharmacol Sin 2025;46:3036-52. [Crossref] [PubMed]
- Huang DQ, El-Serag HB, Loomba R. Global epidemiology of NAFLD-related HCC: trends, predictions, risk factors and prevention. Nat Rev Gastroenterol Hepatol 2021;18:223-38. [Crossref] [PubMed]
- Choi WM, Yip TC, Kim WR, et al. Chronic hepatitis B baseline viral load and on-treatment liver cancer risk: A multinational cohort study of HBeAg-positive patients. Hepatology 2024;80:428-39. [Crossref] [PubMed]
- Gnyawali B, Pusateri A, Nickerson A, et al. Epidemiologic and socioeconomic factors impacting hepatitis B virus and related hepatocellular carcinoma. World J Gastroenterol 2022;28:3793-802. [Crossref] [PubMed]
- Global incidence, prevalence, years lived with disability (YLDs), disability-adjusted life-years (DALYs), and healthy life expectancy (HALE) for 371 diseases and injuries in 204 countries and territories and 811 subnational locations, 1990-2021: a systematic analysis for the Global Burden of Disease Study 2021. Lancet 2024;403:2133-61. [Crossref] [PubMed]
- Global, regional, and national prevalence of child and adolescent overweight and obesity, 1990-2021, with forecasts to 2050: a forecasting study for the Global Burden of Disease Study 2021. Lancet 2025;405:785-812. [Crossref] [PubMed]
- Jiang Z, Zeng G, Dai H, et al. Global, regional and national burden of liver cancer 1990-2021: a systematic analysis of the global burden of disease study 2021. BMC Public Health 2025;25:931. [Crossref] [PubMed]
- Zhang NS, Wong RJ. Geographical disparities in hepatitis b virus related hepatocellular carcinoma mortality rates worldwide from 1990 to 2019. Medicine (Baltimore) 2023;102:e33666. [Crossref] [PubMed]
- Global burden of 288 causes of death and life expectancy decomposition in 204 countries and territories and 811 subnational locations, 1990-2021: a systematic analysis for the Global Burden of Disease Study 2021. Lancet 2024;403:2100-32. [Crossref] [PubMed]
- Xie J, Lin X, Fan X, et al. Global Burden and Trends of Primary Liver Cancer Attributable to Comorbid Type 2 Diabetes Mellitus Among People Living with Hepatitis B: An Observational Trend Study from 1990 to 2019. J Epidemiol Glob Health 2024;14:398-410. [Crossref] [PubMed]
- Global, regional, and national prevalence of adult overweight and obesity, 1990-2021, with forecasts to 2050: a forecasting study for the Global Burden of Disease Study 2021. Lancet 2025;405:813-38. [Crossref] [PubMed]
- Global burden and strength of evidence for 88 risk factors in 204 countries and 811 subnational locations, 1990-2021: a systematic analysis for the Global Burden of Disease Study 2021. Lancet 2024;403:2162-203. [Crossref] [PubMed]
- Zhang T, Sun L, Yin X, et al. Burden of drug use disorders in the United States from 1990 to 2021 and its projection until 2035: results from the GBD study. BMC Public Health 2024;24:1639. [Crossref] [PubMed]
- Cai Y, Ye Y, Qian J. Global and regional burden of breast cancer attributable to high BMI, 1990-2036: A comprehensive analysis. Public Health 2025;242:340-51. [Crossref] [PubMed]
- Hsu YC, Huang DQ, Nguyen MH. Global burden of hepatitis B virus: current status, missed opportunities and a call for action. Nat Rev Gastroenterol Hepatol 2023;20:524-37. [Crossref] [PubMed]
- Howell J, Seaman C, Wallace J, et al. Pathway to global elimination of hepatitis B: HBV cure is just the first step. Hepatology 2023;78:976-90. [Crossref] [PubMed]
- World Health Organization. Immunization Coverage 2021. Updated 15 July 2021. Accessed on 13 October 2021. Available online: https://www.who.int/news-room/fact-sheets/detail/immunization-coverage
- Al-Busafi SA, Alwassief A. Global Perspectives on the Hepatitis B Vaccination: Challenges, Achievements, and the Road to Elimination by 2030. Vaccines (Basel) 2024;12:288. [Crossref] [PubMed]
- Pujol FH, Toyé RM, Loureiro CL, et al. Hepatitis B eradication: vaccine as a key player. Am J Transl Res 2023;15:4971-83.
- Kale SR, Karande G, Gudur A, et al. Recent Trends in Liver Cancer: Epidemiology, Risk Factors, and Diagnostic Techniques. Cureus 2024;16:e72239. [Crossref] [PubMed]
- Yu S, Wang H, Hu T, et al. Disease burden of liver cancer attributable to specific etiologies in China from 1990 to 2019: An age-period-cohort analysis. Sci Prog 2021;104:368504211018081. [Crossref] [PubMed]
- Hu T, Wang S, Wang Y, et al. Burden of digestive system malignancies and its impact on life expectancy in China, 2004-2021. eGastroenterology 2025;3:e100148. [Crossref] [PubMed]
- Lin J, Zhang H, Yu H, et al. Epidemiological Characteristics of Primary Liver Cancer in Mainland China From 2003 to 2020: A Representative Multicenter Study. Front Oncol 2022;12:906778. [Crossref] [PubMed]
- Long J, Cui K, Wang D, et al. Burden of Hepatocellular Carcinoma and Its Underlying Etiologies in China, 1990-2021: Findings From the Global Burden of Disease Study 2021. Cancer Control 2024;31:10732748241310573. [Crossref] [PubMed]
- WHO. Western Pacific. Hepatitis: a crisis in Mongolia. 2017. Accessed 11 Oct 2020. Available online: https://www.who.int/westernpacific/newsroom/feature-stories/item/hepatitis-a-crisis-in-mongolia
- Batsaikhan O, Chimed-Ochir O, Kubo T, et al. The burden of liver cancer in Mongolia from 1990-2019: a systematic analysis for the Global Burden of Disease Study 2019. Front Oncol 2024;14:1381173. [Crossref] [PubMed]
- Chimed-Ochir O, Delgermaa V, Takahashi K, et al. Mongolia health situation: based on the Global Burden of Disease Study 2019. BMC Public Health 2022;22:5. [Crossref] [PubMed]
- Yao X, Ling X, Zhu Z, et al. Temporal trends of liver cancer burden, comparative analysis of risk factors and trend forecasts to 2024 in China, USA, the Republic of Korea, and Mongolia: an analysis based on multiple data sources from Global Burden of Disease 2019, the Global Cancer Observatory, and Cancer Incidence in Five Continents. J Glob Health 2025;15:04040. [Crossref] [PubMed]
- 2022 KLCA-NCC Korea practice guidelines for the management of hepatocellular carcinoma. Clin Mol Hepatol 2022;28:583-705. [Crossref] [PubMed]
- Chon YE, Park SY, Hong HP, et al. Hepatocellular carcinoma incidence is decreasing in Korea but increasing in the very elderly. Clin Mol Hepatol 2023;29:120-34. [Crossref] [PubMed]
- Pinheiro PS, Jones PD, Medina H, et al. Incidence of Etiology-specific Hepatocellular Carcinoma: Diverging Trends and Significant Heterogeneity by Race and Ethnicity. Clin Gastroenterol Hepatol 2024;22:562-571.e8. [Crossref] [PubMed]
- Pinheiro PS, Zhang J, Setiawan VW, et al. Liver Cancer Etiology in Asian Subgroups and American Indian, Black, Latino, and White Populations. JAMA Netw Open 2025;8:e252208. [Crossref] [PubMed]
- Nevola R, Tortorella G, Rosato V, et al. Gender Differences in the Pathogenesis and Risk Factors of Hepatocellular Carcinoma. Biology (Basel) 2023;12:984. [Crossref] [PubMed]
- Nuermaimaiti A, Chang L, Yan Y, et al. The role of sex hormones and receptors in HBV infection and development of HBV-related HCC. J Med Virol 2023;95:e29298. [Crossref] [PubMed]
- Youness A, Miquel CH, Guéry JC. Escape from X Chromosome Inactivation and the Female Predominance in Autoimmune Diseases. Int J Mol Sci 2021;22:1114. [Crossref] [PubMed]
- Wu YP, Yang XY, Tian YX, et al. Dose-dependent Relationship between Alcohol Consumption and the Risks of Hepatitis B Virus-associated Cirrhosis and Hepatocellular Carcinoma: A Meta-analysis and Systematic Review. J Clin Transl Hepatol 2025;13:179-88. [Crossref] [PubMed]
- Saint-André V, Charbit B, Biton A, et al. Smoking changes adaptive immunity with persistent effects. Nature 2024;626:827-35. [Crossref] [PubMed]
- Zhao Y, Peng X, Zhong Z, et al. Epidemiological and demographic analysis of liver cancer attributable to modifiable risk factors from 1990 to 2021. Sci Rep 2025;15:19217. [Crossref] [PubMed]
- Wang J, Qiu K, Zhou S, et al. Risk factors for hepatocellular carcinoma: an umbrella review of systematic review and meta-analysis. Ann Med 2025;57:2455539. [Crossref] [PubMed]
- Aglago EK, Ramos I, Keski-Rahkonen P, et al. Alcohol and smoking habits in association with hepatocellular carcinoma risk. Int J Cancer 2025;157:644-57. [Crossref] [PubMed]
- Rumgay H, Arnold M, Ferlay J, et al. Global burden of primary liver cancer in 2020 and predictions to 2040. J Hepatol 2022;77:1598-606. [Crossref] [PubMed]
- Murray CJL. The Global Burden of Disease Study at 30 years. Nat Med 2022;28:2019-26. [Crossref] [PubMed]
(English Language Editor: J. Gray)

