Quantitative assessment of multi-phase contrast-enhanced CT features in hepatic epithelioid hemangioendothelioma
Highlight box
Key findings
• The quantitative metrics derived from multi-phase contrast-enhanced computed tomography (CECT), particularly portal phase related absolute percentage washout and portal phase related relative percentage washout, could help in discriminating between hepatic epithelioid hemangioendothelioma and liver metastases.
What is known and what is new?
• Hepatic epithelioid hemangioendothelioma (HEH) exhibits diverse imaging features that often resemble those of metastatic tumors. However, due to its low incidence, previous studies have primarily focused on summarizing its morphological characteristics, with limited quantitative analyses. Moreover, these studies often combined and analyzed cases regardless of whether the lesions were with coalescent or not.
• In clinical practice, given its low incidence, HEH presenting as multiple non-fused nodules is particularly challenging to be differentiated from metastatic tumors. This study summarizes such cases and analyzes their quantitative multi-phase computed tomography (CT) parameters to identify effective imaging indicators for differential diagnosis and subsequent treatment guidance.
What is the implication, and what should change now?
• In such challenging cases (multiple hepatic nodules without coalescent) when invasive procedures are contraindicated, multi-phase CT quantification can provide valuable diagnostic insights.
Introduction
Hepatic epithelioid hemangioendothelioma (HEH) is a rare, low-grade malignant tumor that arises from endothelial cells within the liver (1). HEH accounts for less than 1% of all primary hepatic tumors, rendering it a diagnostic challenge due to its rarity and diverse imaging characteristics (2).
HEH, though rare, necessitates precise identification for appropriate management strategies given its indolent yet potentially aggressive behavior (3). Conversely, hepatic metastases commonly arise from primary malignancies elsewhere, demanding accurate differentiation to guide tailored therapy decisions. However, distinguishing between HEH and hepatic metastatic tumor (HMT) poses a significant challenge due to their overlapping imaging characteristics, particularly in those presenting as multiple nodules without coalescent (4-6).
Recent research endeavors to leverage quantitative assessment techniques [including ultrasound (US), computed tomography (CT), magnetic resonance imaging (MRI) and positron emission tomography/CT (PET/CT)] within the realm of HEH (7-15), and multi-phase contrast-enhanced CT (CECT) has provided intricate insights into enhancement features and morphological attributes of HEH (8,9). Moreover, multi-phase CECT, as an efficiency and widely accessible tool, has been widely used in the initial evaluation of hepatic lesions and in subsequent necessary surveillance during clinical practice.
In early clinical works, HEHs presenting as multiple hepatic nodules without coalescent are frequently misdiagnosed as HMTs (4-6). Hence, the aim of this study is to evaluate the quantitative imaging metrics of multi-phase CECT in HEHs and explore the diagnostic performance of multi-phase CT in differentiating HEH from HMTs, with a focus on elucidating the specific imaging features that facilitate this discrimination. We present this article in accordance with the STARD reporting checklist (available at https://jgo.amegroups.com/article/view/10.21037/jgo-2025-422/rc).
Methods
Patients
The study was conducted in accordance with the Declaration of Helsinki and its subsequent amendments. The study was approved by the institutional review board of China-Japan Friendship Hospital (approval No. 2021-125-K83) and individual consent for this retrospective analysis was waived.
Between January 2017 and July 2024, 46 patients with histologically confirmed HEH underwent multiphase hepatic CT, including an unenhanced CT and triphasic enhanced CT, have been selected by using hospital picture archiving and communication system (Carestream Vue PACS, v.12.2.6.3000020) and hospital information system. Here only the CT images at the time of diagnosis were analyzed. Exclusion criteria included: (I) pre-examination chemoradiotherapy or any herbal medicine therapy (n=5); (II) the hepatic lesions with local or diffuse coalescent (n=8); (III) coexisting other malignancies or marked hepatic steatosis (n=0). In total, 33 patients with HEH were finally enrolled (Figure 1). To compare quantitative CT parameters between HEH and HMT, 36 histologically proved HMT (non-neuroendocrine metastatic tumors) patients with multiphase CECT from April 2020 to July 2024 were enrolled (Figure 1). The patients with local or diffuse coalescent hepatic lesions and marked hepatic steatosis were also excluded and only the CT data at the time of the initial emergence of hepatic lesions was analyzed in study.
CT imaging and analysis
All CT scans were carried out with a 320-slice scanner (Aquilion One, Canon, Otawara, Japan) or a 128-slice scanner (Brilliance iCT, Philips Healthcare, Beverwijk, the Netherlands). The helical CT parameters included 5 mm collimation, 5 mm reconstruction intervals, 120 kVp, automatic tube current modulation setting, pitch 0.992:1, rotation time of 0.5 s, and standard reconstruction algorithm. Unenhanced CT scans and enhanced CT scans in three phases of the upper abdomen were obtained by using the same imaging parameters.
Multiphase CECT scan was performed at 30 s (arterial phase), 70 s (portal phase) and 200 s (delayed phase) after the contrast bolus administration. The same injection protocol was set in two scanners: 90 mL contrast agent (iopromide 370, Bayer Schering Pharma AG, Berlin, Germany) followed by a 20 mL saline at 3 mL/s with a double-syringe power injector.
All CT images were reviewed and analyzed in a blinded manner by two radiologists (H.C. and Y.X., with 12 years in gastrointestinal imaging, respectively). However, they were aware that those intrahepatic lesions were most likely HMT or other malignant tumors. Most of the patients with more than one hepatic lesions, only the largest lesion was quantitatively evaluated. The lesion size (the maximum diameter in axial plane) and location (hepatic segment) were recorded. And other qualitative CT features were summarized in Table S1.
For attenuation measurement of lesions and hepatic parenchyma, the region of interest (ROI) was drawn freehand around the peripheral boundary of the visible tumor on the slice with the maximum lesion size in the unenhanced, arterial, portal and delayed phase. Care was taken to exclude calcification, vessels, and necrotic or cystic areas. Meanwhile, two circular or elliptical ROIs were placed in the adjacent hepatic parenchyma at same slice, excluding visible hepatic and portal vessels, bile ducts, calcification and artifacts, in the aforementioned phases. The ROIs were initially placed on the portal images and then copy and pasted onto the non-contrast, late arterial and delayed images, with appropriate corrections made if necessary.
Due to uncertainty about potential hemodynamic differences between HEH and HMT, the wash-in was evaluated as contrast enhancement ratio (CER) and lesion-to-liver contrast ratio (LLC) (10), while the washout as arterial phase related absolute and relative percentage washout (APWarterial and RPWarterial, respectively), portal phase related absolute and relative percentage washout (APWportal and RPWportal, respectively), delayed percentage attenuation ratio (DPAR) (9,16-18). The related calculation formulas were as follows:
Hounsfield unit (HU) is the mean attenuation value of a ROI placed on the lesions in the unenhanced (HUunenhanced), arterial (HUarterial), portal (HUportal) and delayed phase (HUdelayed) or the average attenuation value of two ROIs placed in the adjacent healthy hepatic parenchyma in the arterial phase (HUliverart) and delayed phase (HUliverdel).
To assess intra-observer variability, the results of all quantitative parameters were delineated twice with an interval of at least 2 weeks between the delineations.
Statistical analysis
The statistical analysis was performed by SPSS (SPSS17.0 for Windows, SPSS, Chicago, IL, USA). The Kolmogorov-Smirnov test for normality was performed on continuous variables and the graphical spread of the data was visually inspected. Descriptive statistics were shown as mean ± standard deviation (SD) or median ± interquartile range (IQR) for continuous variables, and as frequency and percentage for categorical variables.
Inter-observer and intra-observer reproducibility for quantitative parameters (CER, LLC, APWarterial, RPWarterial, APWportal, RPWportal, DPAR) were evaluated using the intra-class correlation coefficient (ICC). ICC values smaller than 0.4 indicated poor reproducibility, values ranging from 0.4 to 0.59 indicated fair reproducibility, values ranging from 0.6 to 0.74 indicated good reproducibility, and values above 0.75 indicated excellent reproducibility.
The independent samples t-test and Chi-squared test were used to compare the patients’ age, gender and maximum lesion size between HEH and HMT patients. Mann-Whitney U test was used for the comparison of the aforementioned quantitative parameters between the two groups. A receiver operating characteristic (ROC) curve analysis was performed to evaluate the discriminatory power of those quantitative parameters including APWarterial, APWportal and RPWportal in differentiating HEH. The area under the curve (AUC) and optimal cutoff values were calculated, as well as the corresponding accuracy rate, sensitivity and specificity. AUC values ≤0.50 indicated poor diagnostic accuracy; values ranging from 0.51–0.70 indicated fair diagnostic accuracy, values ranging from 0.71–0.90 indicated moderate diagnostic accuracy, and values above 0.91 indicated high diagnostic accuracy. The cut-off values with the largest Youden index [(sensitivity + specificity) − 1] were calculated from the ROC curves. P<0.05 indicated a statistically significant difference.
Results
General information
A total of 69 patients were enrolled in this study, comprising 33 with HEH and 36 with HMT. The general characteristics of the two groups are summarized in Table 1. For HEHs, 11 (33.33%) with lung metastasis, 2 (6.06%) with bone metastasis, 3 (9.09%) with splenic metastasis, 2 (6.06%) with adrenal metastasis and one (3.03%) with peritoneal metastasis. For HMTs, 3 (8.33%) with primary tumor from lung cancer, 7 (19.44%) from pancreatic carcinoma, 1 (2.78%) from duodenal adenocarcinoma and 25 (69.44%) from colorectal carcinoma. Detailed primary sites and histological subtypes of metastatic tumors are summarized in Table S2.
Table 1
| Variable | HEH (n=33) | HMT (n=36) | t/χ2 | P |
|---|---|---|---|---|
| Age (years) | 42.06±13.30 | 64.22±7.90 | −8.502 | <0.001 |
| Gender | 10.708 | 0.001 | ||
| Male | 9 | 24 | ||
| Female | 24 | 12 | ||
| The largest lesion size (cm) | 2.65±1.08 | 3.39±1.59 | −2.251 | 0.03 |
| The largest lesion location | ||||
| Right liver lobe | 22 | 28 | ||
| Left liver lobe | 11 | 7 | ||
| Right + left liver lobe | 0 | 1 | – | – |
Data are presented as mean ± SD or number. HEH, hepatic epithelioid hemangioendothelioma; HMT, hepatic metastatic tumor; SD, standard deviation.
Inter- and intra-observer reproducibility for quantitative parameters
The reproducibility of the quantitative parameters derived from multiphase CECT was evaluated using the ICC. Good to excellent inter- and intra-observer reproducibility was observed for all parameters (Table 2).
Table 2
| CECT derived parameters | ICC, % (95% CI) | |
|---|---|---|
| Inter-observer | Intra-observer | |
| CER | 0.8523 (0.7235–0.9238) | 0.8870 (0.7843–0.9423) |
| LLC | 0.9634 (0.9274–0.9817) | 0.9674 (0.9353–0.9838) |
| APWarterial | 0.7231 (0.5137–0.8512) | 0.7406 (0.5634–0.8526) |
| RPWarterial | 0.9313 (0.8681–0.9643) | 0.9535 (0.9002–0.9767) |
| APWportal | 0.7270 (0.5400–0.8456) | 0.8422 (0.7207–0.9134) |
| RPWportal | 0.9312 (0.8673–0.9649) | 0.9344 (0.8724–0.9668) |
| DPAR | 0.8747 (0.7634–0.9355) | 0.8852 (0.7861–0.9399) |
APWarterial, arterial phase related absolute percentage washout; APWportal, portal phase related absolute percentage washout; CECT, contrast-enhanced computed tomography; CER, contrast enhancement ratio; CI, confidence interval; DPAR, delayed percentage attenuation ratio; ICC, intraclass correlation coefficient; LLC, lesion to liver contrast ratio; RPWarterial, arterial phase related relative percentage washout; RPWportal, portal phase related relative percentage washout.
Diagnostic performance of multiphase CECT-derived quantitative parameters
Values of multiple CECT-derived quantitative parameters (CER, LLC, APWarterial, RPWarterial, APWportal, RPWportal, DPAR) from HEH and HMT patients were described in Table 3. Regarding the differentiation of HEHs from HMTs, the values of APWarterial, APWportal, and RPWportal were significantly lower in HEH compared to HMT (P=0.01, P=0.001 and P=0.001, respectively; Figure 2), while no significant differences were found for the values of CER (P=0.41), LLC (P=0.051), RPWarterial (P=0.27), and DPAR (P=0.66).
Table 3
| CECT derived parameters | HEH (n=33) | HMT (n=36) | z | P |
|---|---|---|---|---|
| CER (%) | 38.71±46.66 | 39.09±43.48 | −0.823 | 0.41 |
| LLC (%) | −39.19±17.33 | −23.66±27.78 | −1.952 | 0.051 |
| APWarterial (%) | −109.09±161.24 | −51.30±114.29 | −2.488 | 0.01 |
| RPWarterial (%) | −27.78±29.29 | −19.26±26.87 | −1.111 | 0.27 |
| APWportal (%) | −45.45±94.07 | −1.06±37.70 | −3.268 | 0.001 |
| RPWportal (%) | −16.67±27.07 | −1.26±12.54 | −3.250 | 0.001 |
| DPAR (%) | 142.19±59.33 | 128.46±72.73 | −0.444 | 0.66 |
Data are median ± interquartile range. APWarterial, arterial phase related absolute percentage washout; APWportal, portal phase related absolute percentage washout; CECT, contrast-enhanced computed tomography; CER, contrast enhancement ratio; DPAR, delayed percentage attenuation ratio; HEH, hepatic epithelioid hemangioendothelioma; HMT, hepatic metastatic tumor; LLC, lesion to liver contrast ratio; RPWarterial, arterial phase related relative percentage washout; RPWportal, portal phase related relative percentage washout.
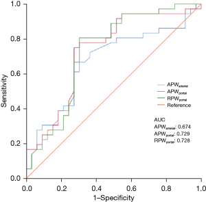
In the ROC analysis for the differentiation between HEH and HMT, AUC values of APWarterial, APWportal, and RPWportal were 0.674 [95% confidence interval (95% CI): 0.545–0.803], 0.729 (95% CI: 0.606–0.852), and 0.728 (95% CI: 0.604–0.852), respectively. These findings suggested that APWportal and RPWportal showed moderate diagnostic significance for HEH, while the diagnostic values of APWarterial showed fair diagnostic accuracy. According to the ROC curve (Figure 3), the cut-off value for APWportal was −17.08%. The APWportal value for HEH lesion was lower than the cut-off value and that for HMT lesion was greater than the cut-off value, with an accuracy rate of 73.91%, sensitivity of 72.73% and specificity of 75.00%. The cut-off value for RPWportal was −6.90%. The RPWportal value for HEH lesion was higher than the cut-off value and that for HMT lesion was lower than the cut-off value, with an accuracy rate of 75.36%, sensitivity of 69.70% and specificity of 80.56%.
Discussion
The present study explores the diagnostic potential of multiphase CECT in differentiating HEH from HMT. By analyzing a series of quantitative CECT-derived parameters, we aimed to establish effective imaging biomarkers for distinguishing between these two conditions. The analysis results revealed that washout characteristics (APWarterial, APWportal, and RPWportal) provide better diagnostic discrimination than wash-in features (CER, LLC) between HEH and HMT. Specifically, APWportal and RPWportal showed moderate diagnostic significance, with AUC values of 0.729 and 0.728, respectively. This highlights their potential as reliable indicators for differential diagnosis.
Since the potential hemodynamic differences between HEH and HMT remain unclear, and previous literature has reported the utility of wash-in parameters (e.g., CER, LLC) in characterizing hepatic lesions (10), wash-in parameters were included in our analysis. However, no statistically significant differences were observed between HEH and HMT. Previous literature has also noted that HEH lesions tend to exhibit less contrast enhancement compared to metastatic tumors due to their vascular architecture (8,9,11-14), which aligns with our findings of lower APWarterial values in HEH (9). Nonetheless, Wang et al. (9) have emphasized the role of arterial-phase dynamics in hepatic lesion characterization, our findings highlight that portal-phase parameters might offer superior diagnostic performance in distinguishing HEH from HMT. The possible reasons for the differences in analytic results: (I) limited sample size in both studies; (II) different ROI selection methods; (III) different inclusion criteria.
Even though HEH is a rare vascular neoplasm, comprising of less than 1% of all vascular tumor, the characteristic imaging features have been well described in previous studies (7-9,11-15), including “halo/target”, “lollipop” and “capsular retraction” sign (19). However, the abovementioned imaging features are not pathognomonic for HEH and could also be observed in other hepatic malignancies (i.e., metastases, cholangiocarcinoma, etc.). Pathologically, the tumor could present as solitary (only one patient in this study) or multifocal lesions with a propensity to invasive terminal hepatic venules and portal vein branches in an early stage, and developed into local or diffuse coalescent lesions, especially in the subcapsular regions, with compensatory hepatic hypertrophy in the late stage during the nature history of HEH (20-23). For most coalescent lesions, the associated clinical history of primary malignancy may reveal the correct diagnosis (14). In addition, inhomogeneity of the lesion and accompanying changes of peripheral hepatic parenchyma may influence the measurement reproducibility (12,22). Hence, only solitary and multifocal lesions without coalescent were enrolled in this study.
Histologically, HEHs consisted of large amounts of mucinous and dense stroma in the center and rich cellular zones in the periphery (20,22). Sometimes, an outer layer representing an avascular zone between tumor and normal hepatic parenchyma may be found (20,24). In addition, the tumor can also cause fibroproliferative reaction. In this study, most values of APWarterial (27/33; 81.82%), APWportal (24/33; 72.73%), and RPWportal (24/33; 72.73%) derived from the periphery regions of the lesion were negative, indicating that the predominant enhancement pattern in the hyperproliferative cell-rich peripheral area is progressive enhancement (Figure 4). Actually, similar phenomenon has been observed in previous study (9).
Interestingly, we also observed that three lesions (3/33, 9.09%) exhibited significant enhancement in arterial phase and persistent washout in subsequent phases, and seven lesions (7/33, 21.21%) significant enhancement in portal phase and washout in delayed phase (Figure 4). Although the “halo/target” sign has been frequently mentioned (7-9,11-14,19), the abovementioned various enhancement patterns were firstly described in CT imaging. We speculated that these different enhancement patterns may stand for the diverse tissue components (such as, tumor cells, edematous connective tissues, fibrous tissues, and hepatocytes, etc.) with varying proportions within the ROIs. In addition, these enhancement patterns might also associate with different genetic rearrangement (25), which would determine organization structure arrangement and composition of the lesions in some degree. However, given that this research is retrospective in nature and the patients received pathological diagnoses through biopsies rather than surgical excision, a comparative analysis between imaging and pathology (including genetic testing) has not been performed. Further analysis needs to be performed by accumulating more appropriate samples.
Several limitations should be noted in this study. First, the sample size was relatively small, with only 33 HEH and 36 HMT patients included. This may limit the generalizability of the findings, particularly for rare tumor types like HEH. Larger multicenter studies are needed to validate our results across more diverse populations and clinical settings. Second, the retrospective nature of the study may introduce bias in the selection of cases (especially HMTs, only the ones with histologically proved were enrolled), as well as in the interpretation of imaging results. Additionally, while the inter- and intra-observer reproducibility of CECT-derived parameters was high, variability in imaging techniques and equipment between institutions may affect the broader applicability of the proposed diagnostic cut-off values. Lastly, given the moderate diagnostic accuracy of portal-phase parameters, exploring advanced imaging techniques, such as radiomics and machine learning models, may further refine the differentiation between HEH and HMT. These techniques could enable more precise feature extraction and pattern recognition from CECT images, potentially developing a more comprehensive diagnostic model.
Conclusions
This study demonstrates the potential of multiphase CECT-derived parameters, particularly APWportal and RPWportal, in differentiating HEH from HMT. Despite some limitations, these findings contribute valuable insights to the growing body of research on hepatic imaging and provide a foundation for future studies aiming at enhancing diagnostic accuracy in liver tumor characterization.
Acknowledgments
None.
Footnote
Reporting Checklist: The authors have completed the STARD reporting checklist. Available at https://jgo.amegroups.com/article/view/10.21037/jgo-2025-422/rc
Data Sharing Statement: Available at https://jgo.amegroups.com/article/view/10.21037/jgo-2025-422/dss
Peer Review File: Available at https://jgo.amegroups.com/article/view/10.21037/jgo-2025-422/prf
Funding: This study was supported by
Conflicts of Interest: All authors have completed the ICMJE uniform disclosure form (available at https://jgo.amegroups.com/article/view/10.21037/jgo-2025-422/coif). The authors have no conflicts of interest to declare.
Ethical Statement: The authors are accountable for all aspects of the work in ensuring that questions related to the accuracy or integrity of any part of the work are appropriately investigated and resolved. The study was conducted in accordance with the Declaration of Helsinki and its subsequent amendments. The study was approved by the institutional review board of China-Japan Friendship Hospital (approval No. 2021-125-K83) and individual consent for this retrospective analysis was waived.
Open Access Statement: This is an Open Access article distributed in accordance with the Creative Commons Attribution-NonCommercial-NoDerivs 4.0 International License (CC BY-NC-ND 4.0), which permits the non-commercial replication and distribution of the article with the strict proviso that no changes or edits are made and the original work is properly cited (including links to both the formal publication through the relevant DOI and the license). See: https://creativecommons.org/licenses/by-nc-nd/4.0/.
References
- Kou K, Chen YG, Zhou JP, et al. Hepatic epithelioid hemangioendothelioma: Update on diagnosis and therapy. World J Clin Cases 2020;8:3978-87. [Crossref] [PubMed]
- Ajay PS, Tsagkalidis V, Casabianca A, et al. A review of hepatic epithelioid hemangioendothelioma-Analyzing patient characteristics and treatment strategies. J Surg Oncol 2022;126:1423-9. [Crossref] [PubMed]
- Yang AH, Urrunaga NH. Hepatic epithelioid hemangioendothelioma: is it actually "indolent"? Transl Gastroenterol Hepatol 2023;8:2. [Crossref] [PubMed]
- Zhao M, Yin F. Hepatic epithelioid hemangioendothelioma: Clinical characteristics, diagnosis, treatment, and prognosis. World J Clin Cases 2022;10:5606-19. [Crossref] [PubMed]
- Hu HJ, Jin YW, Jing QY, et al. Hepatic epithelioid hemangioendothelioma: Dilemma and challenges in the preoperative diagnosis. World J Gastroenterol 2016;22:9247-50. [Crossref] [PubMed]
- Din NU, Rahim S, Asghari T, et al. Hepatic epithelioid hemangioendothelioma: case series of a rare vascular tumor mimicking metastases. Diagn Pathol 2020;15:120. [Crossref] [PubMed]
- Qiu T, Zhu D, Fu R, et al. Conventional Ultrasound and Contrast-Enhanced Ultrasound in Hepatic Epithelioid Hemangioendothelioma: Retrospective Evaluation in 20 Cases. Front Oncol 2022;12:686650. [Crossref] [PubMed]
- Tan H, Zhou R, Yu H, et al. CT appearances and classification of hepatic epithelioid hemangioendothelioma. Insights Imaging 2023;14:56. [Crossref] [PubMed]
- Wang X, Liang P, Lv P, et al. Clinical characteristics and CT features of hepatic epithelioid haemangioendothelioma and comparison with those of liver metastases. Insights Imaging 2022;13:9. [Crossref] [PubMed]
- Gatti M, Calandri M, Bergamasco L, et al. Characterization of the arterial enhancement pattern of focal liver lesions by multiple arterial phase magnetic resonance imaging: comparison between hepatocellular carcinoma and focal nodular hyperplasia. Radiol Med 2020;125:348-55. [Crossref] [PubMed]
- Liu X, Yu H, Zhang Z, et al. MRI appearances of hepatic epithelioid hemangioendothelioma: a retrospective study of 57 patients. Insights Imaging 2022;13:65. [Crossref] [PubMed]
- Paolantonio P, Laghi A, Vanzulli A, et al. MRI of hepatic epithelioid hemangioendothelioma (HEH). J Magn Reson Imaging 2014;40:552-8. [Crossref] [PubMed]
- Xu P, Li J. Hepatic Epithelioid Hemangioendothelioma Diagnosed by Gd-EOB-DTPA-Enhanced MR. J Gastrointest Surg 2021;25:1916. [Crossref] [PubMed]
- Ganeshan D, Pickhardt PJ, Morani AC, et al. Hepatic hemangioendothelioma: CT, MR, and FDG-PET-CT in 67 patients-a bi-institutional comprehensive cancer center review. Eur Radiol 2020;30:2435-42. [Crossref] [PubMed]
- Wang W, Liu G, Hu P, et al. Imaging characteristics and prognostic values of hepatic epithelioid hemangioendothelioma on (18)F-FDG PET/CT. Clin Exp Med 2020;20:557-67. [Crossref] [PubMed]
- Liu YI, Shin LK, Jeffrey RB, et al. Quantitatively defining washout in hepatocellular carcinoma. AJR Am J Roentgenol 2013;200:84-9. [Crossref] [PubMed]
- Fronda M, Doriguzzi Breatta A, Gatti M, et al. Quantitative assessment of HCC wash-out on CT is a predictor of early complete response to TACE. Eur Radiol 2021;31:6578-88. [Crossref] [PubMed]
- Nagayama Y, Hayashi H, Taguchi N, et al. Diagnostic performance of hepatic CT and chemical-shift MRI to discriminate lipid-poor adrenal adenomas from hepatocellular carcinoma metastases. Abdom Radiol (NY) 2024;49:1626-37. [Crossref] [PubMed]
- Mamone G, Miraglia R. The "Target sign" and the "Lollipop sign" in hepatic epithelioid hemangioendothelioma. Abdom Radiol (NY) 2019;44:1617-20. [Crossref] [PubMed]
- Kim KA, Kim KW, Park SH, et al. Unusual mesenchymal liver tumors in adults: radiologic-pathologic correlation. AJR Am J Roentgenol 2006;187:W481. [Crossref] [PubMed]
- Buetow PC, Buck JL, Ros PR, et al. Malignant vascular tumors of the liver: radiologic-pathologic correlation. Radiographics 1994;14:153-66; quiz 167-8. [Crossref] [PubMed]
- Mundada AD, Deodhar K, Ramadwar M, et al. Hepatic epithelioid hemangioendothelioma: A clinocopathological correlation. Indian J Pathol Microbiol 2022;65:133-6. [Crossref] [PubMed]
- Xiao L, Hongmei Z, Feng Y, et al. Hepatic epithelioid hemangioendothelioma: analysis of the correlation of imaging characteristics with histopathological findings. Zhonghua Zhong Liu Za Zhi 2015;37:278-82.
- Earnest F 4th, Johnson CD. Case 96: Hepatic epithelioid hemangioendothelioma. Radiology 2006;240:295-8. [Crossref] [PubMed]
- Sarangi S, Thirunavukkarasu B, Khera S, et al. Vascular tumors of the liver: A brief review. Ann Hepatobiliary Pancreat Surg 2023;27:329-41. [Crossref] [PubMed]

