A promising model for prediction of chemotherapeutic sensitivity in gastrointestinal cancers using patient-derived malignant ascites organoids
Highlight box
Key findings
• This study successfully established a malignant ascites-derived organoid (MADO) model for gastrointestinal (GI) malignancies, effectively replicating the tumor characteristics of patients with peritoneal metastases and enabling feasible drug sensitivity prediction, thereby proposing a potential approach for personalized precise therapy.
What is known and what is new?
• Organoids derived from malignant pleural or peritoneal effusions in some cancer types can preserve the characteristics of primary tumor, and exhibit responses to therapeutic agents that correlate with actual clinical efficacy.
• However, the potential of MADO for disease modeling and the efficacy of precise drug response prediction in GI cancers remain obscure.
What is the implication, and what should change now?
• MADO could be a feasible tool for drug response prediction in GI patients with malignant ascites, and large prospective trials are warranted to confirm our findings.
Introduction
Background
Among all cancers worldwide, malignant tumors of the digestive system account for approximately 25% of incidence and 35% of mortality. Major cancer types include colorectal cancer, gastric cancer, liver cancer, esophageal cancer, pancreatic cancer, gallbladder cancer, and appendiceal cancer (1). A high proportion of patients with advanced malignancies develop malignant serous effusions, with malignant ascites most commonly observed in digestive system tumors (47%) and gynecological malignancies (37%) (2-4). Onset of malignant ascites is considered a terminal event resulting from peritoneal metastasis of tumor cells. The pathways of peritoneal metastasis include direct implantation following serosal invasion by tumor cells, while iatrogenic procedures such as surgery may increase the risk of hematogenous or lymphatic dissemination (5,6). Patients with peritoneal metastases generally have a poor prognosis, with a median survival time of only 6–9 months after diagnosis (7,8). Moreover, symptoms induced by ascites, such as abdominal pain and distension, significantly impair patients’ quality of life (9).
Rationale and knowledge gap
Currently, there are no evidence-based treatment guidelines for cancerous ascites. Due to the presence of the peritoneal-plasma barrier, systemic chemotherapy is often less effective in patients with malignant ascites. Intraperitoneal chemotherapy, with or without deep hyperthermia, is a commonly used local approach for the management of malignant ascites (10). In addition to standard systemic therapies, frequently employed intraperitoneal chemotherapeutic agents for controlling peritoneal metastases with malignant ascites include 5-fluorouracil (5-FU), oxaliplatin, mitomycin, irinotecan, raltitrexed, and cisplatin; however, overall efficacy remains suboptimal (11,12). Malignant ascites is frequently resistant to chemotherapeutic agents and tends to recur rapidly, leading to abdominal distension, hypoalbuminemia, electrolyte imbalances, and other complications. In summary, treatment options for peritoneal metastases with malignant ascites in advanced gastrointestinal (GI) tumors are limited, and the overall efficacy remains poor, highlighting the urgent need for novel diagnostic and therapeutic strategies to improve clinical outcomes.
Organoids are three-dimensional (3D) microtissues derived from human tissues or cells that retain high degrees of homology with the original tissues in terms of morphology, structure, and gene expression (13,14). Compared with primary cell cultures, organoid models more accurately reflect clinical conditions, and in contrast to patient-derived xenograft (PDX) models in mice, they offer advantages such as higher establishment success rates, greater drug screening throughput, smaller sample size requirements, and easier implementation and biobanking (15). These advantages position organoids as a promising and widely adopted research model for evaluating drug efficacy (16). However, conventional organoid models are primarily established from tumor biopsy specimens, which involve invasive procedures, thereby limiting their application. Recent studies have demonstrated that organoids derived from malignant pleural or peritoneal effusions in patients with lung cancer, breast cancer, gastric cancer, and pancreatic cancer can preserve the histological and genetic characteristics of malignant tumor cells (17,18). Moreover, these organoids exhibit responses to therapeutic agents that correlate with actual clinical efficacy, indicating their potential clinical utility in predicting drug responses (19,20). Nonetheless, previous studies have largely focused on a limited range of cancer types, and the potential of malignant ascites-derived organoids (MADO) for disease modeling and drug response prediction in digestive system tumors remains an open question.
Objective
In this study, we successfully established MADO from various digestive system malignancies, predominantly colorectal and gastric cancers. We demonstrated that MADO recapitulates the key characteristics of tumor cells. More importantly, we provided clinical evidence that MADOs can predict tumor sensitivity to therapeutic agents, highlighting the potential of MADO as an effective model for precision treatment of peritoneal metastases in digestive system malignancies. We present this article in accordance with the STARD reporting checklist (available at https://jgo.amegroups.com/article/view/10.21037/jgo-2025-130/rc).
Methods
Collection of clinical ascites samples
Patients diagnosed with peritoneal metastases of GI malignancies and concurrent malignant ascites, confirmed by histopathological examination within Zhejiang Cancer Hospital, were included in the malignant ascites sample collection. Samples will be obtained during clinically indicated paracentesis procedures when excess ascitic fluid (>200 mL) is available. Each ascitic fluid sample was assigned a unique identification number and promptly transported to the laboratory for organoid culture. The study was conducted in accordance with the Declaration of Helsinki and its subsequent amendments. The study was approved by the Ethics Committee of Zhejiang Cancer Hospital (No. IRB-2022-430) and written informed consent was obtained from the patients before ascites sample collection.
Organoid culture and cytomorphological analysis
In this study, organoid culturing was performed using the K2 Oncology preservation solution kit (CAT# K2O-PFO). Following the collection of malignant ascitic fluid from patients with GI cancers, the samples were aliquoted into 15 mL centrifuge tubes and centrifuged at 1,500 rpm for 5 minutes. The resulting cell pellet was collected and washed three times with phosphate-buffered saline (PBS) to remove residual supernatant. The pellet was then resuspended in EHSgel matrix (CAT# KEF100-10) at a concentration of approximately 25 µL of matrix per 104 cells, with all procedures performed on ice to prevent premature gel solidification. Using 200 µL pipette tips pre-cooled at −20 ℃, the cell-matrix suspension was promptly dispensed as 30 µL droplets onto the center of each well in a 24-well culture plate. The plate was then incubated at 37 ℃ with 5% CO2 to allow the matrix to solidify, which required approximately 20–30 minutes. Once solidified, the plate was placed in a biosafety cabinet, and 500 µL of complete organoid culture medium was carefully added to each well. The culture plate was then returned to the incubator for continued cultivation. Every 3–4 days, the spent medium was carefully aspirated and replaced with fresh pre-warmed complete organoid culture medium. The growth and morphology of organoids were monitored under a microscope, and under optimal conditions, MADOs were ready for passaging after approximately 7–14 days. Similarly, the specific procedures for organoid passaging and expansion can be referenced in the protocol provided by K2 Oncology (Cat# KOC-03-100).
The successfully cultured organoids were observed for their gross morphology, and their structural characteristics were documented using bright-field microscopy. The histological morphology of both the original tumor tissue and the derived organoids was evaluated to determine whether the organoid phenotype was consistent with that of the primary tumor and whether it maintained the high degree of complexity characteristic of the original tumor tissue. The collected malignant ascites samples were subjected to red blood cell removal and centrifugation, resulting in a pellet rich in tumor cells. The presence of tumor cells was confirmed by a pathologist. The pellet was fixed in neutral formalin for 6 hours, washed with PBS, and subsequently treated with 70% ethanol before undergoing paraffin embedding, dehydration, and sectioning. Hematoxylin-eosin (HE) staining was performed, where hematoxylin stained the nuclei and eosin stained the cytoplasm. After staining, the sections were dehydrated and mounted using neutral resin. The cytomorphology of the stained sections was examined under an inverted microscope and compared with the organoid histology to assess phenotypic consistency.
Drug sensitivity testing of organoids
For drug sensitivity testing, organoid samples suitable for evaluating the efficacy of clinical therapeutic drugs were selected. Organoids at passage 5 were collected and enzymatically digested using K2 Oncology digestion solution (Cat# KOC-03-100) for 15 minutes. The digested organoids were centrifuged, and the resulting cell pellet was resuspended and seeded at a density of 1,000 cells per well in a 96-well plate. The plate was then incubated at 37 ℃ with 5% CO2 for 24 hours. The drugs selected for sensitivity testing were based on the clinical treatment regimens of the corresponding patients, along with additional antitumor agents. A total of 19 drugs were included in the study: fluorouracil, oxaliplatin, cisplatin, pemetrexed, gemcitabine, SN-38 (irinotecan), paclitaxel, surufatinib, disitamab vedotin, regorafenib, raltitrexed, cetuximab, trametinib, SHP099 (KRAS inhibitor), TNO155 (KRAS inhibitor), mitomycin, doxorubicin, vinorelbine, and olaparib. Each drug was tested in duplicate wells across nine concentration gradients, prepared by serial dilution. The initial concentrations and dilution factors for each drug were as follows: fluorouracil (30 µM, 2-fold dilution), SN-38 (400 nM, 2-fold dilution), oxaliplatin (60 µM, 2-fold dilution), paclitaxel (5 µM, 4-fold dilution), cisplatin (60 µM, 2-fold dilution), surufatinib (20 µM, 2-fold dilution), disitamab vedotin (20 µM, 3-fold dilution), pemetrexed (180 µM, 2-fold dilution), gemcitabine (80 µM, 2-fold dilution), regorafenib (20 µM, 3-fold dilution), raltitrexed (20 µM, 3-fold dilution), cetuximab (9.2 µM, 2-fold dilution), trametinib (20 µM, 3-fold dilution), SHP099 (20 µM, 3-fold dilution), TNO155 (20 µM, 3-fold dilution), mitomycin (20 µM, 3-fold dilution), doxorubicin (8.1 µM, 3-fold dilution), vinorelbine (10 µM, 3-fold dilution), and olaparib (50 µM, 3-fold dilution). After 96 hours of drug treatment, cell viability was assessed using the CellTiter-Glo assay. Dose-response curves for each chemotherapeutic agent were generated, and the maximum inhibitory rate was calculated.
Clinical efficacy evaluation and comparison with drug sensitivity
Patients from the study cohort who were eligible for clinical efficacy evaluation were selected, and their real-world therapeutic outcomes following drug treatment were assessed. All patients underwent efficacy evaluation based on imaging examinations according to the standard clinical diagnostic and treatment procedures. The evaluation was conducted using the Response Evaluation Criteria in Solid Tumors (RECIST) version 1.1 (21). The clinical responses were categorized as follows: complete response (CR), partial response (PR), stable disease (SD) and progressive disease (PD). After determining the clinical efficacy for each patient, the results were statistically analyzed in comparison with the corresponding drug sensitivity outcomes from the MADO model. The sensitivity, specificity, and accuracy of the MADO model in predicting clinical efficacy were calculated. A bar chart was generated to illustrate the distribution of chemotherapy drug sensitivity in GI tumors relative to clinical efficacy outcomes. A schematic diagram of the study workflow is presented in Figure 1.
Statistical analysis
GraphPad Prism 8.2.1 was used for linear regression, dose-response curve fitting, and data analysis. Statistical analyses for quantitative experiments were performed using SPSS 20.0. Experimental results were expressed as mean ± standard deviation Categorical data were analyzed using the Chi-squares (χ2) test, while continuous variables were analyzed using the t-test. Sensitivity, specificity, and accuracy were calculated using contingency tables. A P value of less than 0.05 was considered statistically significant.
Results
Clinical characteristics of MADOs
A total of 32 malignant ascites samples from patients with GI tumors were collected for organoid culture and modeling, with successful establishment in 24 cases. The results demonstrated a high success rate (75%, 24/32) for organoid culture using malignant ascites-derived cells. The clinical characteristics of the patients with successfully cultured organoids were as follows: 11 males and 13 females, with a mean age of 59.5 years and a median age of 60 years (range, 29–80 years). Among the 24 successful cases, 10 originated from gastric cancer, 8 from colorectal cancer, 2 from pancreatic cancer, 2 from appendiceal cancer, 1 from gallbladder cancer, and 1 from peritoneal cancer. Except for the peritoneal cancer case, which was diagnosed as mesothelioma, all other primary tumors (23 cases) were adenocarcinomas. In terms of tumor differentiation, poorly differentiated carcinomas were predominant (16 cases), while moderately to poorly differentiated and moderately differentiated carcinomas were observed in 3 cases each. Additionally, 1 case was classified as undifferentiated carcinoma. The baseline characteristics of all collected samples are detailed in Table 1. According to previous literature, the detection rate of cancer cells in peritoneal metastatic ascites is generally high, which aligns with our culture results. Although cytological data were unavailable for 5 samples, the remaining 19 cases were cytologically positive. Furthermore, human epidermal growth factor receptor 2 (HER2) expression, rat sarcoma virus oncogene (RAS)/rapidly accelerated fibrosarcoma (RAF) mutations, and mismatch repair (MMR)/microsatellite instability (MSI) status were analyzed for these samples. The results showed that HER2(0) was observed in 7 cases. Among the 10 cases with HER2 expression, only 1 exhibited high expression (HER2 3+), while the majority were HER2 1+ or 2+. Regarding MMR/MSI status, of the 16 samples with available data, most were proficient MMR (pMMR) or microsatellite stable (MSS), while the remaining cases had unknown status, consistent with clinical prevalence. Among the 8 colorectal cancer patients, 7 underwent RAS/RAF mutation testing, with 2 cases harboring KRAS mutations, while the others were wild-type. All the above clinical characteristics are summarized in Table 1.
Table 1
| Organoid ID | Age, years | Sex | Cancer type | Differentiation | HER2 | RAS/RAF | MMR/MSI | Cytopathology |
|---|---|---|---|---|---|---|---|---|
| KOGS-H058X | 54 | Male | Gastric | Poor | HER2(0) | N/A | N/A | Positive |
| KOGS-H059X | 65 | Male | Gastric | Poor | HER2(1+) | N/A | pMMR | Positive |
| KOGS-H061X | 45 | Female | Gastric | Moderate/poor | HER2(0) | N/A | pMMR | Positive |
| KOGS-H063X | 29 | Female | Gastric | Poor | HER2(3+) | N/A | pMMR | Positive |
| KOGS-H064X | 68 | Male | Gastric | Poor | N/A | N/A | N/A | Positive |
| KOGS-H066X | 30 | Female | Gastric | Undifferentiated | N/A | N/A | pMMR | Positive |
| KOGS-H067X | 55 | Female | Gastric | Poor | HER2(1+) | N/A | pMMR | N/A |
| KOGS-H068X-2 | 55 | Male | Gastric | Poor | HER2(2+) | N/A | pMMR | Positive |
| KOGS-H069X | 53 | Female | Gastric | Poor | HER2(0) | N/A | N/A | Positive |
| KOGS-H070X | 80 | Male | Gastric | Poor | HER2(2+) | N/A | pMMR | Positive |
| KOCO-H064X | 66 | Female | Colorectal | Moderate | HER2(2+) | Negative | pMMR | Positive |
| KOCO-H067X | 65 | Male | Colorectal | Poor | N/A | N/A | N/A | Positive |
| KOCO-H070X | 60 | Male | Colorectal | Poor | HER2(0) | Negative | pMMR | Positive |
| KOCO-H072X | 76 | Female | Colorectal | Moderate/poor | HER2(2+) | Negative | pMMR | Positive |
| KOCO-H075X | 59 | Female | Colorectal | Poor | HER2(0) | Negative | MSS | N/A |
| KOCO-H076X | 56 | Male | Colorectal | Poor | HER2(0) | Positive | MSS | Positive |
| KOCO-H082X | 76 | Female | Colorectal | Moderate/poor | HER2(2+) | Negative | pMMR | Positive |
| KOCO-H095X | 60 | Female | Colorectal | Moderate | HER2(2+) | Positive | pMMR | Positive |
| KOAC-H002X | 51 | Female | Appendix | Poor | N/A | N/A | N/A | N/A |
| KOAC-H003X | 57 | Male | Appendix | Poor | HER2(1+) | N/A | pMMR | Positive |
| KOPC-H078X | 60 | Male | Pancreas | Poor | N/A | N/A | N/A | N/A |
| KOPC-H080X | 63 | Male | Pancreas | Poor | N/A | N/A | N/A | Positive |
| KOGB-H038X | 74 | Female | Gallbladder | Moderate | HER2(0) | Negative | MSS | N/A |
| KOPT-H002X | 72 | Female | Peritoneal | N/A | N/A | N/A | N/A | Positive |
HER2, human epidermal growth factor receptor; MMR, mismatch repair; MSI, microsatellite instability; MSS, microsatellite stable; N/A, not available; pMMR, proficient mismatch repair; RAF, rapidly accelerated fibrosarcoma; RAS, rat sarcoma virus oncogene.
Cultivation and histological characteristics of MADOs
A total of 24 ascites-derived organoid cultures were successfully established, and their cultivation outcomes and histological characteristics are described herein. During cultivation, single cells or small cell clusters obtained from digested malignant ascites were mixed with liquid extracellular matrix (ECM) gel and dispensed as small droplets onto culture plates. Following incubation at 37 ℃, the ECM solidified, after which the droplets were overlaid with complete organoid culture medium. Cells proliferated within the solidified, hemispherical ECM to form 3D organoids. Bright-field images of 15 organoid samples were captured, and their histological features were compared with the original tumor cells from ascitic fluid. As illustrated in Figure 2, under light microscopy, tumor cells from malignant ascites appeared dispersed without ECM. However, when cultured in ECM, the tumor cells formed 3D spherical organoid structures. According to established literature criteria, successful organoid culture was determined by the following standards: robust proliferative capacity and ability for stable serial passaging; successful tumor formation in xenograft models in mice; and consistency of hematoxylin-eosin (HE) staining/immunohistochemistry (IHC) profiles between organoids and original ascitic tumor cells. Additionally, the ability to cryopreserve and recover cells was essential for defining successful organoid culture (22).
To assess whether MADOs retained the histological characteristics of malignant ascites tumor cells, histopathological analysis was performed on both the original tumor cells and the corresponding organoids. Results demonstrated that the MADOs were composed of malignant cells with prominent atypia, such as nuclear enlargement and pleomorphism. Similarly, the original malignant ascites tumor cells exhibited hallmark malignancy features, including enlarged nuclei, increased mitotic figures, occasional nuclear displacement, prominent nucleoli, coarse chromatin, and mucin secretion in some cases—reflecting comparable cancerous characteristics in both entities. Bright-field images of the organoids, stained sections of original malignant ascites cell blocks, and their magnified views (Figure 2) confirmed that the pathological morphology of organoid cells derived from 15 GI malignancy ascites samples was consistent with that of the original tumor cells.
Drug sensitivity testing of MADOs
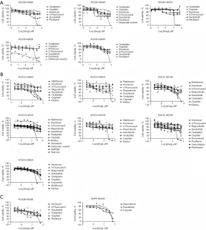
Subsequently, drug sensitivity testing was performed on the established organoid models. After treating the organoids with corresponding chemotherapeutic agents, their growth was observed under a microscope, and cell viability was assessed using the CellTiter-Glo assay. Based on the test results, drug concentration was plotted on the x-axis and cell viability on the y-axis, generating a scatter plot to fit the dose-response curve and calculate the maximum inhibition rate. Some studies have established in vitro chemotherapy response reference standards by integrating clinical data or MADO models (23-26). However, due to variations among cancer types, patient populations, and drugs, researchers must determine individualized thresholds. Following principles reported in organoid-based drug sensitivity testing literature (27-29), this study primarily utilized two evaluation metrics—dose-response curve morphology and maximum inhibition rate—to determine drug sensitivity. The cut-off values for these parameters were established based on percentiles from comparable cases in the K2 Oncology organoid drug sensitivity database and previous organoid drug sensitivity assessment methods. The dose-response curve was categorized into two types: (I) a curved shape, indicating relative sensitivity, and (II) a flat shape, indicating relative resistance. A sample was classified as highly sensitive if the maximum inhibition rate was ≥40%, lowly sensitive if it was ≥20% but <40%, and resistant if it was <20%. Ten cases were excluded since that the patients either did not receive subsequent antitumor treatment or were not followed up at the Zhejiang Cancer Hospital for the efficacy of clinical therapeutic drugs. A total of 14 samples were included in the analysis: five gastric cancer, seven colorectal cancer, one gallbladder cancer, and one peritoneal cancer case. All colorectal cancer patients underwent XELOX chemotherapy (oxaliplatin plus capecitabine). Among the five gastric cancer patients, two received XELOX, while the remaining three were treated with the SOX regimen (oxaliplatin plus S-1). The gallbladder cancer patient was treated with the standard GP regimen (gemcitabine plus cisplatin). Due to poor performance status, the peritoneal cancer patient received single-agent pemetrexed chemotherapy. Considering the mechanisms of action of these agents, capecitabine and S-1 were tested using 5-FU as the surrogate compound, while oxaliplatin, pemetrexed, cisplatin, and gemcitabine were directly used in sensitivity assays. Significant heterogeneity was observed in drug sensitivity among tumors of the same cancer type.
For oxaliplatin used in gastric cancer, two ascites-derived organoid samples (KOGS-H058X and KOGS-H061X) exhibited flat dose-response curves with maximum inhibition rates of 7.5% and 7.7%, respectively—both below 20%, indicating resistance to oxaliplatin. In contrast, three samples (KOGS-H059X, KOGS-H063X, and KOGS-H064X) displayed curved dose-response curves, with maximum inhibition rates of 48.40%, 27.31%, and 39.33%, respectively. Based on the reference thresholds, KOGS-H059X was classified as highly sensitive to oxaliplatin, whereas KOGS-H063X and KOGS-H064X were classified as lowly sensitive. For 5-FU, two samples (KOGS-H061X and KOGS-H063X) showed resistance, with flat dose-response curves and maximum inhibition rates below 20%. Three samples (KOGS-H058X, KOGS-H059X, and KOGS-H064X) exhibited curved dose-response curves with maximum inhibition rates between 20% and 40%, classifying them as lowly sensitive to 5-FU. All seven colorectal cancer organoid samples also underwent drug sensitivity testing for oxaliplatin and 5-FU. For oxaliplatin, five samples (KOCO-H070X, KOCO-H072X, KOCO-H075X, KOCO-H076X, and KOCO-H082X) displayed curved dose-response curves, with maximum inhibition rates of 47.31%, 25.31%, 23.08%, 42.41%, and 48.99%, respectively. Based on these values, KOCO-H072X and KOCO-H075X were classified as lowly sensitive, while KOCO-H070X, KOCO-H076X, and KOCO-H082X were classified as highly sensitive to oxaliplatin. For 5-FU, only one sample (KOCO-H076X) was classified as resistant, as it exhibited a flat dose-response curve with a maximum inhibition rate of 19.38%. Two samples (KOCO-H064X and KOCO-H070X) were lowly sensitive, showing curved dose-response curves but maximum inhibition rates below 40%. The remaining four samples were classified as highly sensitive, displaying both curved dose-response curves and maximum inhibition rates above 40%, with KOCO-H075X and KOCO-H082X reaching a maximum inhibition rate of 100%. The peritoneal cancer organoid (KOPT-H002X) exhibited marked resistance to pemetrexed, with a characteristic flat dose-response curve and an immeasurable maximum inhibition rate. In contrast, the gallbladder cancer organoid (KOGB-H038X) demonstrated high sensitivity to cisplatin and low sensitivity to gemcitabine, as indicated by curved dose-response curves and maximum inhibition rates of 77.04% and 34.6%, respectively. The dose-response curve plots and related sensitivity data are presented in Figure 3.
Additionally, sensitivity assays were performed on several commonly used chemotherapeutic agents beyond standard-of-care (SOC) regimens. Some organoid samples exhibited sensitivity to non-standard chemotherapy drugs (Figure 4). For instance, the colorectal cancer organoid KOCO-076X showed sensitivity to cisplatin, a drug not typically included in colorectal cancer treatment protocols. Whether such findings could guide clinical treatment decisions, such as “compassionate use” of non-standard regimens in clinical practice, warrants further investigation through large-sample prospective studies.
Prediction of clinical efficacy using drug sensitivity testing in MADOs
Similarly, 10 cases were excluded in further comparisons due to the lack of clinical efficacy evaluation. A total of 14 cases were included for clinical efficacy prediction, all of which were advanced GI malignancies with malignant ascites. The treatment regimens for these cases adhered to the National Comprehensive Cancer Network (NCCN) guidelines for standard therapy in advanced-stage disease (30,31). Specifically, gastric cancer patients received either the XELOX or SOX regimen, colorectal cancer patients were treated with the XELOX regimen, the peritoneal cancer patient received single-agent pemetrexed chemotherapy, and the gallbladder cancer patient was treated with the GP regimen. Each MADO sample was subjected to single-agent drug screening, yielding one of three possible results: high-sensitive, low-sensitive, or resistant. According to the K2 Oncology organoid database analysis, a dual-drug regimen was classified as sensitive only if at least one of the two drugs tested was high-sensitive in the organoid model; otherwise, the MADO model was considered resistant to the regimen.
To evaluate the correlation between MADO-predicted drug sensitivity and actual clinical efficacy, we collected and analyzed pre- and post-treatment radiological reports for all cases. Clinical efficacy was assessed according to the RECIST 1.1 criteria. Among the 14 patients, 4 achieved PR, 3 had SD, and 7 experienced PD. The disease control rate (DCR) was 50%, while the objective response rate (ORR) was 28.57%, aligning with the well-recognized challenge of treating GI malignancies with malignant ascites. The four PR cases included KOGS-H059X, KOCO-H076X, KOCO-H082X, and KOGB-H038X, all of which were classified as sensitive by MADO drug sensitivity testing. Notably, for the two colorectal cancer cases, both tested drugs exhibited high sensitivity in the MADO model. PD patients accounted for half of the cohort (7/14); except for one case (KOCO-H072X), which was classified as sensitive by MADO, all remaining PD patients exhibited drug resistance in the MADO model. Interestingly, the three SD cases displayed mixed drug sensitivity results in MADO testing: KOCO-H070X and KOCO-H075X were sensitive, whereas KOGS-H063X was resistant. A summary of MADO drug sensitivity results and corresponding clinical outcomes is provided in Table 2.
Table 2
| Patient-ID | Chemo regimen | Clinical response | MADO drugs | Curve | Maximal inhibition rate (%) | Sensitivity | Overall evaluation |
|---|---|---|---|---|---|---|---|
| KOCO-H064X | XELOX | PD | Oxaliplatin | Flat | 17.5 | Resistant | Resistant |
| 5-fluorouracil | Curved | 21.46 | Low | ||||
| KOCO-H067X | XELOX | PD | Oxaliplatin | Flat | −13.34 | Resistant | Resistant |
| 5-fluorouracil | Flat | 19.38 | Resistant | ||||
| KOCO-H070X | XELOX | SD | Oxaliplatin | Curved | 47.31 | High | Sensitive |
| 5-fluorouracil | Curved | 24.07 | Low | ||||
| KOCO-H072X | XELOX | PD | Oxaliplatin | Curved | 25.31 | Low | Sensitive |
| 5-fluorouracil | Curved | 46.57 | High | ||||
| KOCO-H075X | XELOX | SD | Oxaliplatin | Curved | 23.08 | Low | Sensitive |
| 5-fluorouracil | Curved | 100 | High | ||||
| KOCO-H076X | XELOX | PR | Oxaliplatin | Curved | 42.41 | High | Sensitive |
| 5-fluorouracil | Curved | 54.97 | High | ||||
| KOCO-H082X | XELOX | PR | Oxaliplatin | Curved | 48.99 | High | Sensitive |
| 5-fluorouracil | Curved | 100 | High | ||||
| KOGS-H058X | SOX | PD | Oxaliplatin | Flat | 7.525 | Resistant | Resistant |
| 5-fluorouracil | Curved | 20.85 | Low | ||||
| KOGS-H059X | XELOX | PR | Oxaliplatin | Curved | 48.4 | High | Sensitive |
| 5-fluorouracil | Curved | 39.3 | Low | ||||
| KOGS-H061X | SOX | PD | Oxaliplatin | Flat | 7.673 | Resistant | Resistant |
| 5-fluorouracil | Flat | 18.2 | Resistant | ||||
| KOGS-H063X | SOX | SD | Oxaliplatin | Curved | 27.31 | Low | Resistant |
| 5-fluorouracil | Flat | 13.26 | Resistant | ||||
| KOGS-H064X | XELOX | PD | Oxaliplatin | Curved | 39.33 | Low | Resistant |
| 5-fluorouracil | Curved | 37.64 | Low | ||||
| KOPT-H002X | PEM | PD | Pemetrexed | Flat | N/A | Resistant | Resistant |
| KOGB-H038X | GP | PR | Cisplatin | Curved | 77.04 | High | Sensitive |
| Gemcitabine | Curved | 34.6 | Low |
GP, gemcitabine plus cisplatin; MADO, malignant ascites-derived organoid; N/A, not available; PD, progressive disease; PEM, pemetrexed; PR, partial response; SD, stable disease; SOX, oxaliplatin plus S-1; XELOX, oxaliplatin plus capecitabine.
To assess the feasibility and accuracy of MADO drug sensitivity testing in predicting systemic treatment response, we compared drug sensitivity results with clinical outcomes. In this study, clinical outcomes were categorized into three groups: PR, SD, and PD. Large-scale international clinical trials commonly use ORR and DCR to evaluate treatment efficacy, where ORR excludes SD, while DCR includes SD. Since whether SD is classified as a “response” remains controversial, we performed two separate analyses: one considering SD as effective (good response) and another treating SD as ineffective (poor response). In the former case, PR and SD were classified as good response, whereas PD was classified as poor response. Under this classification, 12 out of 14 MADO results matched the clinical outcomes, with only two mismatched cases (KOCO-H072X and KOGS-H063X). The accuracy of MADO in predicting clinical efficacy was 85.71%, with both sensitivity and specificity at 85.71%. The Youden’s index was 0.714 (Table 3). In the latter case, only PR was classified as good response, while both SD and PD were classified as poor response. Under this classification, 11 out of 14 MADO results matched the clinical outcomes, with three mismatched cases (KOCO-H072X, KOCO-H072X, and KOCO-H075X), all of which originated from colorectal cancer. The accuracy of MADO in predicting clinical efficacy was 78.57%, with a sensitivity of 100%, a specificity of 70%, and a Youden’s index of 0.7 (Table 4). For both classification scenarios, the McNemar test was performed to evaluate the statistical significance of the differences between MADO drug sensitivity results and clinical responses. The exact significance (P values) for both scenarios were 1.00 and 0.25, respectively, both greater than 0.05, indicating no statistically significant difference between MADO-predicted responses and actual clinical outcomes (Tables 3,4). Additionally, Cohen’s Kappa test was used to assess agreement between MADO predictions and clinical responses. When SD was classified as good response, the Kappa value was 0.714 (P=0.008); when SD was classified as poor response, the Kappa value was 0.571 (P=0.018). In both scenarios, the Kappa values exceeded 0.5 and the P values indicated statistical significance, demonstrating a high level of consistency between MADO drug sensitivity and clinical treatment outcomes (Tables 3,4). The data above indicated that the drug sensitivity profiles of MADOs closely correlated with clinical treatment outcomes in the 14 included cases (left panel, organoid response heatmap and corresponding clinical outcomes; right panel, sensitivity/specificity/accuracy of MADO in predicting clinical outcomes, as shown in Figure 5).
Table 3
| Variable | Clinical overall response | Value | ||
|---|---|---|---|---|
| Good | Poor | Total | ||
| Drug sensitivity | ||||
| Sensitive | 6 | 1 | 7 | – |
| Resistant | 1 | 6 | 7 | – |
| Total | 7 | 7 | 14 | – |
| Chi-squared tests | ||||
| McNemar test | ||||
| Exact Sig. (2-sided) | – | – | – | >0.99† |
| N of valid cases | – | – | – | 14 |
| Symmetric measures | ||||
| Measure of agreement | ||||
| Kappa | – | – | – | 0.714 |
| Asymp. Std. Error‡ | – | – | – | 0.187 |
| Approx. t§ | – | – | – | 2.673 |
| Approx. Sig. | – | – | – | 0.008 |
| N of valid cases | – | – | – | 14 |
†, binomial distribution used; ‡, not assuming the null hypothesis; §, using the asymptotic standard error assuming the null hypothesis. Approx., approximate; Approx. Sig., approximate significance; Asymp. Std. Error, asymptotic standard error; MADO, malignant ascites-derived organoid; SD, stable disease; Sig., significance.
Table 4
| Variable | Clinical overall response | Value | ||
|---|---|---|---|---|
| Good | Poor | Total | ||
| Drug sensitivity | ||||
| Sensitive | 4 | 3 | 7 | – |
| Resistant | 0 | 7 | 7 | – |
| Total | 4 | 10 | 14 | – |
| Chi-squared tests | ||||
| McNemar test | – | – | – | – |
| Exact Sig. (2-sided) | – | – | – | 0.25† |
| N of valid cases | – | – | – | 14 |
| Symmetric measures | ||||
| Measure of agreement | ||||
| Kappa | – | – | – | 0.571 |
| Asymp. Std. Error‡ | – | – | – | 0.198 |
| Approx. t§ | – | – | – | 2.366 |
| Approx. Sig. | – | – | – | 0.018 |
| N of valid cases | – | – | – | 14 |
†, binomial distribution used; ‡, not assuming the null hypothesis; §, using the asymptotic standard error assuming the null hypothesis. Approx., approximate; Approx. Sig., approximate significance; Asymp. Std. Error, asymptotic standard error; MADO, malignant ascites-derived organoid; SD, stable disease; Sig., significance.
Discussion
Key findings
The findings of our study demonstrate that MADO exhibit high histological and morphological concordance with the patient’s in vivo tumor tissues, and that organoid-based drug sensitivity results closely correlate with actual clinical treatment responses. Hence, this study explores the potential application of MADO models in clinical drug screening, providing evidence for their feasibility and efficacy as predictive models for treatment outcomes in GI malignancies.
Strengths and limitations
This study demonstrates the potential of MADOs in precision therapy for advanced GI malignancies with malignant ascites, from both organoid modeling and drug sensitivity prediction perspectives.
In clinical practice, the management of malignant ascites often involves paracentesis for symptom relief, along with intraperitoneal chemotherapy. Since ascitic fluid is already collected for diagnostic and therapeutic purposes, using remaining specimens for organoid culture does not require additional invasive procedures, thereby avoiding extra discomfort and financial burden for patients.
MADO model possesses distinct advantages in the realm of precision medicine. As previously reported, genome-only testing can match approved targeted therapies for fewer than 10% of late-stage patients, with a success rate below 1%. By contrast, the Patient-Derived Xenograft Organoid (PDXO)/PDX platform can generate models in 38% of cases, and in four illustrative patients the “genomics + functional” combined approach identified an effective drug or drug combination for each individual. Notably, in half of these cases the functional screen yielded results completely different from predictions based on driver mutations alone, underscoring the added value of functional testing (32). Thus, integrating organoid-based drug screening with genomic profiling can dramatically improve the efficiency of identifying clinically actionable targeted or combination therapies. In addition, previous studies have shown that tumor molecular profiles can evolve following treatment (33). For instance, the REVERCE study reported that KRAS wild-type colorectal cancer patients treated with cetuximab over time may develop new mutations or select for novel tumor subclones, indicating temporal heterogeneity in genetic and drug sensitivity profiles (34). Additionally, basic research has revealed that many tumors, including colorectal cancer, exhibit spatial heterogeneity (35). These findings highlight the importance of sampling different metastatic sites (including malignant ascites) at various time points for molecular profiling and drug sensitivity testing, which could lead to more precise treatment strategies.
Lately, immunotherapy and anti-angiogenic therapy have played increasingly important roles in cancer treatment. However, due to differences in the tumor microenvironment, organoid models and PDX models each have their own advantages and limitations when used for research of these two types of drugs. The efficacy of immune-checkpoint inhibitors [such as anti-programmed cell death-1 (PD-1)/programmed cell death ligand-1 (PD-L1) antibodies) depends on complex interactions among T cells, dendritic cells and tumor cells. Since MADO models lack any immune components, drug-sensitivity assays performed on them alone cannot capture critical steps such as T-cell activation, immune-cell recruitment or remodeling of the immunosuppressive microenvironment. To overcome this, co-culture with peripheral blood lymphocytes or tumor-infiltrating lymphocytes (TILs) (36), or the use of microfluidic “immune organ-on-a-chip” systems (37), is required. Anti-angiogenic agents (for example bevacizumab or sorafenib) target tumor endothelial cells and the branching vasculature. Because MADO models lack endothelial components and hemodynamic flow (38), they cannot faithfully recapitulate in vivo drug effects or inhibition of the VEGF/VEGFR signaling pathway. Comprehensive evaluation therefore demands integration with PDX models or vascularized organoid systems (39) that incorporate human endothelial cells and stromal elements. In contrast, PDX model maintains dynamic remodeling of cell-matrix and cell-vasculature interactions, thereby more accurately recapitulating the tumor microenvironment’s influence on cancer cells. However, they are expensive and time-consuming to establish, and because the murine immune system differs from that of humans, they may not accurately predict responses to immunotherapies. Furthermore, with successive passages, murine stromal cells can gradually replace the human tumor microenvironment, potentially confounding experimental outcomes (40). Hence, with advances in co-culture techniques, organoids can now be grown alongside stromal cells (41) or immune cells (42), substantially recapitulate the tumor microenvironment’s influence on tumor cells. Even though, as the primary agents included in our sensitivity analysis were chemotherapeutic drugs, the results were less likely to be affected by this factor.
Nevertheless, there are several limitations in this study. There is no established cut-off value for determining drug sensitivity levels in individual MADO samples, and achieving standardized culture conditions across different experimental settings remains a challenge (43). Future studies should aim to establish multi-center collaborative platforms and develop organoid biobanks. By integrating drug sensitivity data from organoids of similar patients with real-world clinical outcomes, machine learning algorithms could be used to define optimal thresholds for sensitivity classification. Also, limitations in sample size for organoid culture may have constrained the statistical power of this study in predicting drug sensitivity. Future research should aim to increase sample size and incorporate more comprehensive clinical data to validate and refine the predictive capabilities of MADO models.
Comparison with similar researches
Several studies have demonstrated that organoids derived from malignant pleural or peritoneal effusions in patients with certain cancer types can preserve characteristics of primary tumor (17,18) and exhibit responses to therapeutic agents that correlate with actual clinical efficacy (19,20). Nonetheless, our findings demonstrates both diversity and precision.
Methodologically, our study involves a wide spectrum of GI cancers including colorectal cancer, gastric cancer, pancreatic cancer, appendiceal cancer and gallbladder cancer. The tested drugs included not only standard chemotherapy agents but also other chemotherapy drugs, targeted therapies, and investigational agents for GI malignancies, and the spectrum of drugs tested reached 19, making it the first study of its kind. Specific targeted drugs were tested in organoids derived from patients with particular positive biomarker. For instance, disitamab vedotin was evaluated in organoid samples from patients with HER-2 over-expression, and trametinib was tested in samples from patients harboring BRAF mutations. This was conducted as part of an exploratory drug screen, with the intention of investigating potential off-label use in future prospective studies. Notably, previous models lacked uniform criteria for defining drug sensitivity, leading to variability across studies; our model establishes clear thresholds based on dose-response curve morphology (curved vs. flat) and maximum inhibition rate (≥40% for high sensitivity, ≥20% but <40%, for lowly sensitive, <20% for resistance). These standards were established using historical data from the K2 Oncology organoid drug sensitivity database, enhancing reproducibility.
Our model shows remarkable functional distinctions as well. Previous models primarily validated in preclinical settings, with limited correlation to clinical outcomes; MADO model directly correlates drug sensitivity with clinical efficacy in patients, achieving high accuracy (78.57–85.71%), sensitivity (85.71–100%), and specificity (70–85.71%). This evidence supports its utility in predicting treatment responses for GI cancers with malignant ascites. Additionally, previous models struggled to capture intra-tumoral heterogeneity, particularly in metastatic settings; while MADO model recapitulate tumor heterogeneity by maintaining histological, morphological and molecular consistency with in vivo tumors. This enables accurate modeling of tumor heterogeneity, the basis for personalized therapy.
Explanations of findings
We collected malignant ascites samples from 32 patients with advanced GI tumors and successfully established organoid cultures in 24 cases, achieving a relatively high modeling success rate. Organoids are 3D cellular models that can mimic the structure and function of in vivo organs (44-46). We observed that MADO closely resembled the original tumor cells in ascites in terms of cellular morphology, tissue architecture, and tumor-associated molecular features, indicating that these organoids can effectively model tumor growth and proliferation. Subsequently, 14 matched samples underwent drug sensitivity testing using the same standard clinical treatments.
In this study, the most frequently used first-line chemotherapy regimens were XELOX and SOX, with oxaliplatin and 5-FU being the most commonly tested drugs. This is likely due to the predominance of colorectal and gastric cancer cases in the cohort. Among the 14 MADO drug sensitivity tests, half of the cases were sensitive to the tested drugs, while the other half exhibited resistance. When compared with clinical treatment outcomes, the concordance rate was high, with an accuracy of 78.57–85.71%, sensitivity of 85.71–100%, and specificity of 70–85.71%. In clinical practice, both objective response (PR + CR) and SD have been recognized to provide clinical benefits to patients, albeit to varying degrees. Therefore, the consistency of efficacy prediction based on both evaluation criteria was analyzed. It was found that when disease stabilization (SD) was also classified as a good response, the kappa value reached 0.714. Under such circumstances, the consistency of efficacy prediction was considered relatively high, and the predictive results were deemed more applicable for guiding clinical practice. Since kappa analysis further confirmed the strong consistency between MADO drug sensitivity results and actual clinical responses, suggesting that ascites-derived organoid drug sensitivity test is a reliable predictor of tumor treatment response (47).
Implications and actions needed
Our findings offer new insights into precision therapy for peritoneal metastases from GI malignancies. Organoid models not only recapitulate tumor characteristics but also serve as effective tools for personalized drug screening, potentially leading to more targeted treatment selection in clinical practice. With advancements in technology and further accumulation of clinical data, organoid models are expected to play an increasingly significant role in precise oncology, ultimately contributing to truly individualized cancer therapy.
Future research should focus on further optimizing the model, expanding sample sizes, and broadening its clinical applications, with the ultimate goal of providing more precise guidance for cancer treatment.
Conclusions
This study successfully established a MADO model for GI malignancies, effectively replicating the tumor characteristics of patients with peritoneal metastases. This model enables a promising model for drug sensitivity prediction in GI cancers, thereby proposing a potential feasible approach for personalized precision therapy.
Acknowledgments
None.
Footnote
Reporting Checklist: The authors have completed the STARD reporting checklist. Available at https://jgo.amegroups.com/article/view/10.21037/jgo-2025-130/rc
Data Sharing Statement: Available at https://jgo.amegroups.com/article/view/10.21037/jgo-2025-130/dss
Peer Review File: Available at https://jgo.amegroups.com/article/view/10.21037/jgo-2025-130/prf
Funding: This study was sponsored by
Conflicts of Interest: All authors have completed the ICMJE uniform disclosure form (available at https://jgo.amegroups.com/article/view/10.21037/jgo-2025-130/coif). The authors have no conflicts of interest to declare.
Ethical Statement: The authors are accountable for all aspects of the work in ensuring that questions related to the accuracy or integrity of any part of the work are appropriately investigated and resolved. The study was conducted in accordance with the Declaration of Helsinki and its subsequent amendments. The study was approved by the Ethics Committee of Zhejiang Cancer Hospital (No. IRB-2022-430) and written informed consent was obtained from the patients before ascites sample collection.
Open Access Statement: This is an Open Access article distributed in accordance with the Creative Commons Attribution-NonCommercial-NoDerivs 4.0 International License (CC BY-NC-ND 4.0), which permits the non-commercial replication and distribution of the article with the strict proviso that no changes or edits are made and the original work is properly cited (including links to both the formal publication through the relevant DOI and the license). See: https://creativecommons.org/licenses/by-nc-nd/4.0/.
References
- Huang J, Lucero-Prisno DE 3rd, Zhang L, et al. Updated epidemiology of gastrointestinal cancers in East Asia. Nat Rev Gastroenterol Hepatol 2023;20:271-87. [Crossref] [PubMed]
- Sung H, Ferlay J, Siegel RL, et al. Global Cancer Statistics 2020: GLOBOCAN Estimates of Incidence and Mortality Worldwide for 36 Cancers in 185 Countries. CA Cancer J Clin 2021;71:209-49. [Crossref] [PubMed]
- Gayen S. Malignant Pleural Effusion: Presentation, Diagnosis, and Management. Am J Med 2022;135:1188-92. [Crossref] [PubMed]
- Rijken A, Lurvink RJ, Luyer MDP, et al. The Burden of Peritoneal Metastases from Gastric Cancer: A Systematic Review on the Incidence, Risk Factors and Survival. J Clin Med 2021;10:4882. [Crossref] [PubMed]
- Avula LR, Hagerty B, Alewine C. Molecular mediators of peritoneal metastasis in pancreatic cancer. Cancer Metastasis Rev 2020;39:1223-43. [Crossref] [PubMed]
- Sun F, Feng M, Guan W. Mechanisms of peritoneal dissemination in gastric cancer. Oncol Lett 2017;14:6991-8. [Crossref] [PubMed]
- Franko J, Shi Q, Goldman CD, et al. Treatment of colorectal peritoneal carcinomatosis with systemic chemotherapy: a pooled analysis of north central cancer treatment group phase III trials N9741 and N9841. J Clin Oncol 2012;30:263-7. [Crossref] [PubMed]
- Thomassen I, Lemmens VE, Nienhuijs SW, et al. Incidence, prognosis, and possible treatment strategies of peritoneal carcinomatosis of pancreatic origin: a population-based study. Pancreas 2013;42:72-5. [Crossref] [PubMed]
- Cavazzoni E, Bugiantella W, Graziosi L, et al. Malignant ascites: pathophysiology and treatment. Int J Clin Oncol 2013;18:1-9. [Crossref] [PubMed]
- Yarema R, Ohorchak M, Hyrya P, et al. Gastric cancer with peritoneal metastases: Efficiency of standard treatment methods. World J Gastrointest Oncol 2020;12:569-81. [Crossref] [PubMed]
- Rau B, Brandl A, Thuss-Patience P, et al. The efficacy of treatment options for patients with gastric cancer and peritoneal metastasis. Gastric Cancer 2019;22:1226-37. [Crossref] [PubMed]
- Rihuete Caro C, Manzanedo I, Pereira F, et al. Cytoreductive surgery combined with hyperthermic intraperitoneal chemotherapy (HIPEC) in patients with gastric cancer and peritoneal carcinomatosis. Eur J Surg Oncol 2018;44:1805-10. [Crossref] [PubMed]
- Choi W, Kim YH, Woo SM, et al. Establishment of Patient-Derived Organoids Using Ascitic or Pleural Fluid from Cancer Patients. Cancer Res Treat 2023;55:1077-86. [Crossref] [PubMed]
- Li J, Xu H, Zhang L, et al. Malignant ascites-derived organoid (MADO) cultures for gastric cancer in vitro modelling and drug screening. J Cancer Res Clin Oncol 2019;145:2637-47. [Crossref] [PubMed]
- Ubink I, Bolhaqueiro ACF, Elias SG, et al. Organoids from colorectal peritoneal metastases as a platform for improving hyperthermic intraperitoneal chemotherapy. Br J Surg 2019;106:1404-14. [Crossref] [PubMed]
- Durinikova E, Buzo K, Arena S. Preclinical models as patients' avatars for precision medicine in colorectal cancer: past and future challenges. J Exp Clin Cancer Res 2021;40:185. [Crossref] [PubMed]
- Sachs N, de Ligt J, Kopper O, et al. A Living Biobank of Breast Cancer Organoids Captures Disease Heterogeneity. Cell 2018;172:373-386.e10. [Crossref] [PubMed]
- Shi R, Radulovich N, Ng C, et al. Organoid Cultures as Preclinical Models of Non-Small Cell Lung Cancer. Clin Cancer Res 2020;26:1162-74. [Crossref] [PubMed]
- Ooft SN, Weeber F, Dijkstra KK, et al. Patient-derived organoids can predict response to chemotherapy in metastatic colorectal cancer patients. Sci Transl Med 2019;11:eaay2574. [Crossref] [PubMed]
- Narasimhan V, Wright JA, Churchill M, et al. Medium-throughput Drug Screening of Patient-derived Organoids from Colorectal Peritoneal Metastases to Direct Personalized Therapy. Clin Cancer Res 2020;26:3662-70. [Crossref] [PubMed]
- Tsuchida Y, Therasse P. Response evaluation criteria in solid tumors (RECIST): new guidelines. Med Pediatr Oncol 2001;37:1-3. [Crossref] [PubMed]
- Wu CG, Chiovaro F, Curioni-Fontecedro A, et al. In vitro cell culture of patient derived malignant pleural and peritoneal effusions for personalised drug screening. J Transl Med 2020;18:163. [Crossref] [PubMed]
- Nagai N, Minamikawa K, Mukai K, et al. Predicting the chemosensitivity of ovarian and uterine cancers with the collagen gel droplet culture drug-sensitivity test. Anticancer Drugs 2005;16:525-31. [Crossref] [PubMed]
- Gao H, Korn JM, Ferretti S, et al. High-throughput screening using patient-derived tumor xenografts to predict clinical trial drug response. Nat Med 2015;21:1318-25. [Crossref] [PubMed]
- Broutier L, Mastrogiovanni G, Verstegen MM, et al. Human primary liver cancer-derived organoid cultures for disease modeling and drug screening. Nat Med 2017;23:1424-35. [Crossref] [PubMed]
- Demyan L, Habowski AN, Plenker D, et al. Pancreatic Cancer Patient-derived Organoids Can Predict Response to Neoadjuvant Chemotherapy. Ann Surg 2022;276:450-62. [Crossref] [PubMed]
- Lee JH, Lee SH, Lee SK, et al. Antiproliferative Activity of Krukovine by Regulating Transmembrane Protein 139 (TMEM139) in Oxaliplatin-Resistant Pancreatic Cancer Cells. Cancers (Basel) 2023;15:2642. [Crossref] [PubMed]
- Li L, Knutsdottir H, Hui K, et al. Human primary liver cancer organoids reveal intratumor and interpatient drug response heterogeneity. JCI Insight 2019;4:e121490. [Crossref] [PubMed]
- Koch M, Nickel S, Lieshout R, et al. Label-Free Imaging Analysis of Patient-Derived Cholangiocarcinoma Organoids after Sorafenib Treatment. Cells 2022;11:3613. [Crossref] [PubMed]
- von Mehren M, Kane JM, Riedel RF, et al. NCCN Guidelines® Insights: Gastrointestinal Stromal Tumors, Version 2.2022. J Natl Compr Canc Netw 2022;20:1204-14. [Crossref] [PubMed]
- Kopecky K, Monton O, Rosman L, et al. Palliative interventions for patients with advanced gastric cancer: a systematic review. Chin Clin Oncol 2022;11:47. [Crossref] [PubMed]
- Guillen KP, Fujita M, Butterfield AJ, et al. A human breast cancer-derived xenograft and organoid platform for drug discovery and precision oncology. Nat Cancer 2022;3:232-50. [Crossref] [PubMed]
- Killock D. mCRC: sequencing in REVERCE. Nat Rev Clin Oncol 2019;16:67. [PubMed]
- Shitara K, Yamanaka T, Denda T, et al. REVERCE: a randomized phase II study of regorafenib followed by cetuximab versus the reverse sequence for previously treated metastatic colorectal cancer patients. Ann Oncol 2019;30:259-65. [Crossref] [PubMed]
- Sanghera B, Banerjee D, Khan A, et al. Reproducibility of 2D and 3D fractal analysis techniques for the assessment of spatial heterogeneity of regional blood flow in rectal cancer. Radiology 2012;263:865-73. [Crossref] [PubMed]
- Dijkstra KK, Cattaneo CM, Weeber F, et al. Generation of Tumor-Reactive T Cells by Co-culture of Peripheral Blood Lymphocytes and Tumor Organoids. Cell 2018;174:1586-1598.e12. [Crossref] [PubMed]
- Lorenzo-Martín LF, Broguiere N, Langer J, et al. Patient-derived mini-colons enable long-term modeling of tumor-microenvironment complexity. Nat Biotechnol 2025;43:727-36. [Crossref] [PubMed]
- Wen Z, Orduno M, Liang Z, et al. Optimization of Vascularized Intestinal Organoid Model. Adv Healthc Mater 2024;13:e2400977. [Crossref] [PubMed]
- Du Y, Wang YR, Bao QY, et al. Personalized Vascularized Tumor Organoid-on-a-Chip for Tumor Metastasis and Therapeutic Targeting Assessment. Adv Mater 2025;37:e2412815. [Crossref] [PubMed]
- Tentler JJ, Tan AC, Weekes CD, et al. Patient-derived tumour xenografts as models for oncology drug development. Nat Rev Clin Oncol 2012;9:338-50. [Crossref] [PubMed]
- Farin HF, Mosa MH, Ndreshkjana B, et al. Colorectal Cancer Organoid-Stroma Biobank Allows Subtype-Specific Assessment of Individualized Therapy Responses. Cancer Discov 2023;13:2192-211. [Crossref] [PubMed]
- Neal JT, Li X, Zhu J, et al. Organoid Modeling of the Tumor Immune Microenvironment. Cell 2018;175:1972-1988.e16. [Crossref] [PubMed]
- Cong R, Lu C, Li X, et al. Tumor organoids in cancer medicine: from model systems to natural compound screening. Pharm Biol 2025;63:89-109. [Crossref] [PubMed]
- Drost J, Clevers H. Organoids in cancer research. Nat Rev Cancer 2018;18:407-18. [Crossref] [PubMed]
- Bose S, Barroso M, Chheda MG, et al. A path to translation: How 3D patient tumor avatars enable next generation precision oncology. Cancer Cell 2022;40:1448-53. [Crossref] [PubMed]
- van de Wetering M, Francies HE, Francis JM, et al. Prospective derivation of a living organoid biobank of colorectal cancer patients. Cell 2015;161:933-45. [Crossref] [PubMed]
- Vlachogiannis G, Hedayat S, Vatsiou A, et al. Patient-derived organoids model treatment response of metastatic gastrointestinal cancers. Science 2018;359:920-6. [Crossref] [PubMed]

