Relationship between spontaneous rupture of hepatocellular carcinoma (SRHCC) and long-term survival after anatomic liver resection
Highlight box
Key findings
• In this study, we explored the relationship between spontaneous rupture bleeding and long-term survival of hepatocellular carcinoma (HCC) after radical hepatectomy. We found spontaneous rupture bleeding was associated with higher recurrence and lower survival, which was an independent risk factor of post-hepatectomy recurrence and survival in HCC patients. Presence of tumor capsule and anatomic liver resection may improve the survival of spontaneous rupture bleeding HCC.
What is known and what is new?
• Spontaneous rupture hemorrhage of HCC is a relatively fatal disease and usually has a poor prognosis.
• Patients with tumor capsule had better overall survival (OS) and recurrence-free survival (RFS) compared to those without tumor capsule and anatomic liver resection improves the survival of spontaneous rupture bleeding HCC.
What is the implication, and what should change now?
• The tumor capsule is a factor that should be emphasized in the management of patients with HCC who are at risk for spontaneous rupture bleeding.
• For patients with spontaneous rupture bleeding, anatomic hepatectomy may improve the OS and RFS of HCC.
Introduction
Hepatocellular carcinoma (HCC) is one of the most common malignant tumors worldwide. In 2020, approximately 906,000 new cases and 830,000 deaths were reported globally, making HCC the sixth most commonly diagnosed cancer and the third leading cause of cancer-related mortality (1). In China, 2022 revealed 367,700 cases of HCC, accounting for 7.6% of malignant tumors diagnoses and ranking fourth in incidence. Concurrently, there were 316,500 HCC related deaths, making it the second leading cause of cancer mortality (12.3%) in the country (2,3).
Spontaneous rupture of hepatocellular carcinoma (SRHCC) is a critical complication, ranking as the third leading cause of death among HCC patients, following tumor progression and liver failure (4,5). The incidence of SRHCC is alarmingly high, ranging from 5–15% (6), with acute rupture mortality rates between 25–75% (7). In Asia, approximately 10% of HCC patients die from rupture annually (8). The primary treatment goal for SRHCC is to control bleeding while preserving functional liver tissue. However, the 30-day and 1-year survival rates for conservatively treated SRHCC patients are only 8.6% and 0%, respectively (9). Over the past 20 years, the use of transarterial embolization (TAE) for treating ruptured HCC has increased significantly (10). The median survival time for conservatively treated SRHCC patients is 13.1 days, compared to 244.8 days for those receiving TAE (11). Additionally, the 2022 literature review considered both TAE/TACE and emergency hepatectomy as the preferred hemostatic treatments for SRHCC, but liver resection following TAE demonstrated higher survival rates compared to emergency hepatectomy (12). However, a study published in 2024 proposed that elective hepatectomy after TAE/TACE is the preferred treatment for SRHCC, with emergency surgical hepatectomy recommended only if TAE/TACE is unsuitable (13). The clinical scenarios of SRHCC are complex, treatment methods remain immature, and no authoritative standard has been established yet.
Previous research has explored factors influencing long-term survival after SRHCC, including tumor staging, tumor size, and resection methods (14). However, controversy persists regarding the optimal surgical approach and selection criteria for HCC resection in SRHCC patients, as in-hospital mortality rates remain high (15).
This study focused on the potential benefits of anatomic liver resection in improving patient outcomes. The objective of this study is to investigate the impact of SRHCC on long-term outcomes following liver resection and to assess whether anatomic liver resection improves prognosis in these patients. By evaluating the relationship between SRHCC and both overall survival (OS) and recurrence-free survival (RFS), this study seeks to provide insights into the most effective surgical strategies and postoperative management approaches, ultimately contributing to improved clinical outcomes for HCC patients. We present this article in accordance with the STROBE reporting checklist (available at https://jgo.amegroups.com/article/view/10.21037/jgo-2025-262/rc).
Methods
Study design and population
This retrospective cohort study analyzed data from patients at the Eastern Hepatobiliary Surgery Hospital (EHBH) who underwent hepatic resection for HCC from 2009 to 2011. Patients were included in the study according to the following selection criteria: (I) pathological diagnosis of HCC; (II) absence of pre-surgical treatment; (III) hepatocellular carcinoma staged as Barcelona Clinic Liver Cancer (BCLC) stage A–B or CNLC stage I to II; (IV) Child-Pugh A and B liver function; (V) tumor resectable and surgically treated during initial hospitalization. The exclusion criteria were: (I) incomplete clinical data; (II) loss to follow-up; (III) other malignancies; (IV) death within 1 month.
A total of 2,486 patients met the inclusion criteria, and those lost to follow-up were excluded from the final analysis. Among the cohort, 118 cases were clinically diagnosed with spontaneous liver rupture bleeding, while the remaining 2,368 cases did not experience rupture. Medical histories and pathology reports were reviewed to collect basic information, clinical data, and tumor characteristics.
After discharge, all patients underwent regular follow-up until May 2024. Follow-ups were conducted every 3 months during the first year and every 6 months thereafter. Surveillance included alpha-fetoprotein (AFP) level assessments and contrast-enhanced computed tomography (CT) scans, with additional imaging as necessary. In cases of recurrence, individualized treatment plans were developed based on the type of recurrence and the patient’s overall condition.
The study was conducted in accordance with the Declaration of Helsinki and its subsequent amendments. The study was approved by the institutional ethics board of Eastern Hepatobiliary Surgery Hospital (No. EHBHKY2020-02-011) and individual consent for this retrospective analysis was waived.
Measures and definitions
Anatomic hepatectomy is defined as the complete removal of anatomically distinct liver segments or subsegments, compared to non-anatomic liver resection.
SRHCC is diagnosed when the patient presents with clinical symptoms of ischemia, such as hemorrhagic shock, active abdominal bleeding and ruptured hepatic space-occupying lesions confirmed by enhanced CT or ultrasonography.
TACE (transhepatic arterial chemoembolization) is an interventional technique of super-selective insertion of tumor blood-supplying arteries through a catheter and injection of chemotherapeutic drugs and embolic agents to achieve the dual effects of local chemotherapy and vascular embolization, used in scenarios of emergency hemostasis, usually 7 days before the procedure is performed.
The “symptom” specifically refers to the chronic abdominal pain that the patient experienced before being admitted to the hospital, rather than the abdominal pain that occurred during the rupture and bleeding.
Primary study outcomes
The primary study outcomes of this study were OS and RFS. OS was defined as the interval between the date of surgery and the date of death and is widely regarded as the most reliable efficacy endpoint in oncology clinical trials. Even small improvements in OS provide meaningful evidence of direct clinical benefit. RFS was defined as the time interval between surgery and the first recurrence and was used to evaluate patient survival. Recurrences were categorized as intrahepatic or extrahepatic, with extrahepatic recurrences involving sites such as the lungs, peritoneum, bone, or other distant locations.
Independent variables
Covariates
The following metrics for all eligible patients: age, gender, symptom, preoperative TACE, ascites, cancer embolus, operation, BCLC, Child-Pugh, tumor number, tumor size, cirrhosis, location, HBsAg, tumor capsule.
Statistics analysis
Continuous data were presented as mean ± standard deviation (SD) or median (quartile distance), while categorical data were summarized as numbers (percentage). Pearson’s Chi-squared test and Fisher exact test were used for categorical variables, while continuous variables were compared using t-test for baseline comparison. Propensity score matching (PSM) was utilized to minimize biases and confounding variables, with a caliper value of 0.01, and a matching ratio of 1:100. However, under these circumstances, PSM may discard some units that are not matched (16), thus reducing sample size and result in the loss of information. To address this, inverse probability of treatment weighting (IPTW) was applied, which could maximize the use of available information while preserving all patient data.
The pseudo sample size after IPTW was calculated based on the assigned weights. Conditional logistic regression and weighted logistic regression analysis were performed following PSM and IPTW to further validate potential risk factors. The statistical analyses were conducted using R software (version 4.3.3) and visual abstracts were generated using Figdraw. A two-side P value <0.05 was considered statistically significant.
Results
Characteristics of study participants
Table 1 presents the baseline characteristics of the 2,486 patients included in this study. The majority of patients were male (n=2,129; 86%) and under the age of 60 years (n=2,005; 81%). Of the total cohort, 81% (n=2,005) were under 60 years of age, and 86% (n=2,129) were male. The majority of patients underwent non-anatomic liver resection (80%, n=1,980). Six clinical factors were significantly associated with spontaneous rupture of HCC (SRHCC): presence of symptoms, BCLC staging, Child-Pugh classification, tumor size >3 cm, cirrhosis, and tumor capsule. Other factors including age, gender, and cancer embolus were excluded as irrelevant.
Table 1
| Characteristic | Overall (N=2,486) | Rupture | SMD | P value† | |
|---|---|---|---|---|---|
| No (N=2,368) | Yes (N=118) | ||||
| Age (≤60/>60 years) | 2,005 [81]/481 [19] | 1,903 [80]/465 [20] | 102 [86]/16 [14] | 0.164 | 0.10 |
| Gender (female/male) | 357 [14]/2,129 [86] | 342 [14]/2,026 [86] | 15 [13]/103 [87] | 0.051 | 0.60 |
| Symptom (no/yes) | 1,374 [55]/1,112 [45] | 1,359 [57]/1,009 [43] | 15 [13]/103 [87] | 1.06 | <0.001 |
| TACE (no/yes) | 1,615 [65]/871 [35] | 1,548 [65]/820 [35] | 67 [57]/51 [43] | 0.177 | 0.056 |
| Ascites (no/yes) | 2,316 [93]/170 [6.8] | 2,203 [93]/165 [7.0] | 113 [96]/5 [4.2] | 0.119 | 0.30 |
| Cancer embolus (no/yes) | 2,143 [86]/343 [14] | 2,043 [86]/325 [14] | 100 [85]/18 [15] | 0.043 | 0.60 |
| Operation (anatomy/non-anatomy) | 506 [20]/1,980 [80] | 478 [20]/1,890 [80] | 28 [24]/90 [76] | 0.086 | 0.40 |
| BCLC (A/B/C) | 1,758 [71]/376 [15]/352 [14] | 1,689 [71]/347 [15]/332 [14] | 69 [58]/29 [25]/20 [17] | 0.288 | 0.005 |
| Child-Pugh (A/B–C) | 2,413 [97]/73 [2.9] | 2,312 [98]/56 [2.4] | 101 [86]/17 [14] | 0.445 | <0.001 |
| Tumor number (multiple/single) | 593 [24]/1,893 [76] | 561 [24]/1,807 [76] | 32 [27]/86 [73] | 0.079 | 0.40 |
| Tumor size (≤3/>3 cm) | 614 [25]/1,872 [75] | 613 [26]/1,755 [74] | 1 [0.8]/117 [99] | 0.791 | <0.001 |
| Cirrhosis (no/yes) | 1,145 [46]/1,341 [54] | 1,075 [45]/1,293 [55] | 70 [59]/48 [41] | 0.282 | 0.003 |
| Location (central/left/right) | 203 [8.2]/485 [20]/1,798 [72] | 191 [8.1]/456 [19]/1,721 [73] | 12 [10]/29 [25]/77 [65] | 0.161 | 0.20 |
| HBsAg (negative/positive) | 302 [12]/2,184 [88] | 285 [12]/2,083 [88] | 17 [14]/101 [86] | 0.070 | 0.40 |
| Tumor capsule (no/yes) | 531 [21]/1,955 [79] | 493 [21]/1,875 [79] | 38 [32]/80 [68] | 0.260 | 0.003 |
Data are presented as n [%]. †, Pearson’s Chi-squared test; Fisher’s exact test. BCLC, Barcelona Clinic Liver Cancer; HBsAg, hepatitis B virus surface antigen; IPTW, inverse probability of treatment weighting; SMD, standardized mean difference; TACE, transcatheter arterial chemoembolization.
Spontaneous rupture bleeding was associated with the higher recurrence and lower survival of HCC
Before IPTW-adjustment, patients in the SRHCC group exhibited significantly worse OS and RFS compared to the non-rupture group (P<0.001) (Figure 1A,1B). After IPTW adjustment, the two groups were balanced with respect to major confounders such as symptom and tumor size (whether >3 cm). Except for tumor size >3 cm, the effects of most clinical characteristics on prognosis were controlled within a uniform limit. The baseline levels of clinical characteristics in the ruptured and non-ruptured groups after IPTW-adjustment were compared using the chi-square test, indicating that the clinical characteristics in the ruptured and non-ruptured groups were comparable (Table S1). The clinical characteristics between the ruptured and non-ruptured groups were compared with IPTW-adjusted score (Figure S1). Based on the above conclusions, we drew the survival baselines for the non-ruptured and ruptured groups after IPTW. The median OS (P<0.001) and median RFS (P<0.001) of the ruptured group were both worse than those of the non-ruptured group (Figure 1C,1D). These results indicate that SRHCC is associated with poorer prognosis in HCC patients.
Spontaneous rupture as an independent risk factor for prognosis
For factors affecting the OS and RFS prognosis of patients, we used both weighted and unweighted statistical methods to perform single factor and multifactor analysis. Before IPTW-adjustment, multivariate analysis indicated that rupture, symptom, TACE, ascites, BCLC staging, tumor size >3 cm, cirrhosis, and tumor capsule were independent risk factors for OS of post-hepatectomy (Table S2). Rupture, symptom, TACE, ascites, BCLC staging, tumor number, tumor size, cirrhosis, and tumor capsule were identified as independent risk factors for RFS of post-hepatectomy (Table S2).
After IPTW-adjustment, spontaneous rupture bleeding was confirmed as an independent risk factor for both OS and RFS, with statistical significance [OS: hazard ratio (HR) =1.95, 95% confidence interval (CI): 1.42–2.67, P<0.001; RFS: HR =1.60, 95% CI: 1.16–2.20, P=0.004] (Table 2, Table S3).
Table 2
| Characteristic | N | Univariable | Multivariable | |||||
|---|---|---|---|---|---|---|---|---|
| HR | 95% CI | P value | HR | 95% CI | P value | |||
| Rupture (no/yes) | 2367/118 | 1.87 | 1.42–2.46 | <0.001 | 1.95 | 1.42–2.67 | <0.001 | |
| Age (≤60/>60 years) | 2029/456 | 0.95 | 0.75–1.21 | 0.67 | ||||
| Gender (female/male) | 338/2,147 | 1.13 | 0.89–1.45 | 0.32 | ||||
| Symptom (no/yes) | 1,290/1,195 | 1.89 | 1.52–2.34 | <0.001 | 1.17 | 0.94–1.47 | 0.20 | |
| TACE (no/yes) | 1,615/870 | 0.67 | 0.55–0.81 | <0.001 | 0.59 | 0.48–0.73 | <0.001 | |
| Ascites (no/yes) | 2,326/159 | 1.69 | 1.24–2.31 | <0.001 | 1.42 | 1.04–1.92 | 0.03 | |
| Cancer embolus (no/yes) | 2,145/340 | 4.15 | 3.36–5.13 | <0.001 | 1.48 | 1.05–2.09 | 0.03 | |
| Operation (anatomy/non-anatomy) | 498/1,987 | 0.80 | 0.62–1.05 | 0.10 | ||||
| BCLC (A) | 1,736 | 1.00 | <0.001 | <0.001 | ||||
| B | 399 | 2.53 | 1.93–3.31 | 1.57 | 1.00–2.44 | |||
| C | 349 | 4.84 | 3.85–6.09 | 2.29 | 1.61–3.26 | |||
| Child-Pugh (A/B–C) | 2,403/82 | 1.49 | 1.06–2.08 | 0.02 | 1.02 | 0.70–1.49 | >0.99 | |
| Tumor number (multiple/single) | 561/1,924 | 0.43 | 0.35–0.53 | <0.001 | 0.80 | 0.58–1.11 | 0.2 | |
| Tumor size (≤3/>3 cm) | 464/2,021 | 3.22 | 2.47–4.19 | <0.001 | 2.46 | 1.85–3.26 | <0.001 | |
| Cirrhosis (no/yes) | 1,148/1,337 | 0.92 | 0.75–1.12 | 0.40 | ||||
| Location (central) | 194 | 1.00 | 0.20 | |||||
| Left | 494 | 1.10 | 0.75–1.61 | |||||
| Right | 1,797 | 0.87 | 0.64–1.19 | |||||
| HBsAg (negative/positive) | 295/2,190 | 1.02 | 0.78–1.32 | 0.90 | ||||
| Tumor capsule (no/yes) | 545/1,940 | 0.43 | 0.35–0.53 | <0.001 | 0.66 | 0.51–0.85 | 0.001 | |
| RFS | 2,486 | 6.33 | 4.45–9.00 | <0.001 | ||||
| RFS time | 2,486 | 0.96 | 0.95–0.96 | <0.001 | ||||
BCLC, Barcelona Clinic Liver Cancer; CI, confidence interval; HBsAg, hepatitis B virus surface antigen; HR, hazard ratio; IPTW, inverse probability of treatment weighting; RFS, recurrence-free survival; TACE, transcatheter arterial chemoembolization.
The independent risk factors associated with SRHCC
In both univariate and multivariate analyses of 15 clinical features, symptom presence (OR =6.30, 95% CI: 3.71–11.5, P<0.001), Child-Pugh classification (OR =5.15, 95% CI: 2.69–9.55, P<0.001), and tumor size >3 cm (OR =22.6, 95% CI: 4.89–401, P<0.001), were identified as independent factors associated with SRHCC. While BCLC staging, tumor capsule were significant in univariate analysis, however, there was no statistical significance in multivariable analysis (Table 3).
Table 3
| Characteristic | N | Univariable | Multivariable | |||||
|---|---|---|---|---|---|---|---|---|
| OR | 95% CI | P value | OR | 95% CI | P value | |||
| Age (≤60/>60 years) | 2,005/481 | 0.64 | 0.36–1.07 | 0.09 | ||||
| Gender (female/male) | 357/2,129 | 1.16 | 0.69–2.10 | 0.60 | ||||
| Symptom (no/yes) | 1,374/1,112 | 9.25 | 5.52–16.6 | <0.001 | 6.30 | 3.71–11.5 | <0.001 | |
| TACE (no/yes) | 1,615/871 | 1.44 | 0.98–2.08 | 0.06 | ||||
| Ascites (no/yes) | 2,316/170 | 0.59 | 0.21–1.33 | 0.22 | ||||
| Cancer embolus (no/yes) | 2,143/343 | 1.13 | 0.66–1.85 | 0.64 | ||||
| Operation (anatomy/non-anatomy) | 506/1,980 | 0.81 | 0.53–1.28 | 0.36 | ||||
| BCLC (A) | 1,758 | 1.00 | 0.008 | 0.056 | ||||
| B | 376 | 2.05 | 1.29–3.17 | 0.99 | 0.60–1.59 | |||
| C | 352 | 1.47 | 0.86–2.41 | 0.52 | 0.28–0.92 | |||
| Child-Pugh (A/B–C) | 2,413/73 | 6.95 | 3.80–12.2 | <0.001 | 5.15 | 2.69–9.55 | <0.001 | |
| Tumor number (multiple/single) | 593/1,893 | 0.83 | 0.56–1.28 | 0.40 | ||||
| Tumor size (≤3/>3 cm) | 614/1,872 | 40.9 | 9.12–720 | <0.001 | 22.6 | 4.89–401 | <0.001 | |
| Cirrhosis (no/yes) | 1,145/1,341 | 0.57 | 0.39–0.83 | 0.003 | 0.65 | 0.44–0.97 | 0.03 | |
| Location (central) | 203 | 1.00 | 0.23 | |||||
| Left | 485 | 1.01 | 0.52–2.10 | |||||
| Right | 1,798 | 0.71 | 0.40–1.40 | |||||
| HBsAg (negative/positive) | 302/2,184 | 0.81 | 0.49–1.43 | 0.45 | ||||
| Tumor capsule (no/yes) | 531/1,955 | 0.55 | 0.37–0.83 | 0.005 | 0.69 | 0.45–1.09 | 0.11 | |
BCLC, Barcelona Clinic Liver Cancer; CI, confidence interval; HBsAg, hepatitis B virus surface antigen; HCC, hepatocellular carcinoma; OR, odds ratio; TACE, transcatheter arterial chemoembolization.
Anatomic hepatectomy may improve prognosis in SRHCC patients
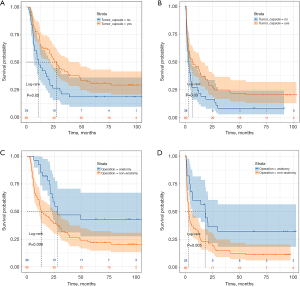
To investigate the factors affecting the prognosis of patients with SRHCC, we conducted a subgroup analysis on the rupture group. The results indicated that whether anatomic liver resection was performed and tumor capsule were independent risk factors for OS post hepatectomy in patients with SRHCC (Table 4, Figure S2). Preoperative TACE, anatomic liver resection, BCLC staging, and HBsAg positivity were identified as independent risk factors for RFS (Table S4, Figure S3). Anatomic liver resection was an independent risk factor for both postoperative OS and RFS. Patients with tumor capsule had better OS (median OS: 24.7 vs. 16.5 months, P=0.02) and RFS (median RFS: 12.1 vs. 7.4 months, P=0.03) compared to those without tumor capsule (Figure 2A,2B). Additionally, those who underwent anatomic liver resection had significantly better OS (median OS: 29.4 vs. 18.9 months, P=0.009) and RFS (median RFS: 16.5 vs. 9.3 months, P=0.005) compared to those who underwent non-anatomic liver resection (Figure 2C,2D). These findings suggest that anatomic liver resection may improve both OS and RFS in SRHCC patients.
Table 4
| Characteristic | N | Univariable | Multivariable | |||||
|---|---|---|---|---|---|---|---|---|
| HR | 95% CI | P value | HR | 95% CI | P value | |||
| Age (≤60/>60 years) | 102/16 | 1.09 | 0.59–2.00 | 0.79 | ||||
| Gender (female/male) | 15/103 | 0.74 | 0.40–1.36 | 0.35 | ||||
| Symptom (no/yes) | 15/103 | 0.73 | 0.41–1.33 | 0.32 | ||||
| TACE (no/yes) | 67/51 | 0.53 | 0.34–0.83 | 0.004 | 0.72 | 0.45–1.16 | 0.20 | |
| Ascites (no/yes) | 113/5 | 1.85 | 0.68–5.06 | 0.27 | ||||
| Cancer embolus (no/yes) | 100/18 | 4.21 | 2.41–7.38 | <0.001 | 1.74 | 0.45–6.69 | 0.40 | |
| Operation (anatomy/non-anatomy) | 28/90 | 2.07 | 1.18–3.61 | 0.006 | 1.90 | 1.05–3.46 | 0.03 | |
| BCLC (A) | 69 | 1.00 | <0.001 | 0.20 | ||||
| B | 29 | 1.43 | 0.85–2.40 | 1.49 | 0.88–2.52 | |||
| C | 20 | 4.17 | 2.38–7.32 | 2.26 | 0.62–8.21 | |||
| Child-Pugh (A/B–C) | 101/17 | 0.76 | 0.40–1.42 | 0.37 | ||||
| Tumor number (multiple/single) | 32/86 | 0.80 | 0.50–1.28 | 0.36 | ||||
| Tumor size (≤3/>3 cm) | 1/117 | 1.36 | 0.19–9.76 | 0.75 | ||||
| Cirrhosis (no/yes) | 70/48 | 1.12 | 0.73–1.73 | 0.60 | ||||
| Location (central) | 12 | 1.00 | 0.16 | |||||
| Left | 29 | 2.18 | 0.93–5.12 | |||||
| Right | 77 | 1.83 | 0.83–4.02 | |||||
| HBsAg (negative/positive) | 17/101 | 1.76 | 0.91–3.41 | 0.07 | ||||
| Tumor capsule (no/yes) | 38/80 | 0.60 | 0.38–0.93 | 0.03 | 0.58 | 0.37–0.92 | 0.03 | |
BCLC, Barcelona Clinic Liver Cancer; CI, confidence interval; HBsAg, hepatitis B virus surface antigen; HR, hazard ratio; TACE, transcatheter arterial chemoembolization.
Discussion
In this study, we investigated the clinical factors influencing the prognosis of patients with SRHCC. Our principal findings suggest that SRHCC is associated with significantly worse outcomes in terms of both OS and RFS. Specifically, we found that tumor size >3 cm, presence of symptoms (particularly abdominal pain), and Child-Pugh classification, were independent risk factors for the occurrence of SRHCC. Furthermore, our study revealed that patients who underwent anatomic liver resection had significantly better OS and RFS compared to those who received non-anatomic liver resection. This suggests that surgical approach plays a crucial role in improving prognosis for SRHCC patients. In addition, previous reports have also indicated that intraoperative and postoperative events, particularly in patients with ruptured bleeding, such as Child classification, BCLC stages (17), major vessel invasion, post-hepatic resection liver failure (PHLF), and acute kidney injury, may also influence mid-term prognosis (18).
Clinical implications of SRHCC and prognosis
SRHCC is a rare but life-threatening condition that accounts for a significant proportion of HCC-related deaths, with an incidence ranging from 3% to 15% (19). In this study, we observed that patients with SRHCC had a markedly worse prognosis, with significantly lower OS and RFS compared to those with non-ruptured HCC. Our findings align with previous studies, such as those by analyzed 1,160 cases of ruptured hepatocellular carcinoma in Japan, and the 1-, 3-, and 5-year OS rates were 41.4%, 21.1%, and 13.3%, respectively (20,21). This highlights the critical importance of early detection and timely management of SRHCC to improve patient outcomes.
The increased mortality in SRHCC patients is likely due to hemorrhagic shock and subsequent complications such as peritoneal metastasis and tumor implantation, which reduce the chances of survival (22). In line with this, our study found that patients with SRHCC had a higher risk of recurrence, which is consistent with the poor long-term outcomes associated with this condition. Therefore, managing SRHCC is essential not only to stop bleeding but also to minimize the risks of recurrence and metastasis.
Factors influencing SRHCC
We identified several factors that independently predict SRHCC, including tumor size, presence of symptoms, and Child-Pugh classification. Previous studies have shown that large tumors (>5 cm) are more likely to rupture due to their rapid growth and insufficient blood supply, leading to tumor necrosis and rupture (15,23). Our study confirmed that tumor size >3 cm is an independent risk factor for SRHCC, which aligns with prior research (15). Additionally, the presence of symptoms, especially chronic abdominal pain, was found to increase the likelihood of rupture, which further highlights the importance of careful monitoring in patients presenting with these symptoms.
Child-Pugh classification has also become an important predictive factor for SRHCC. Patients with poorer liver function (Child-Pugh B or C grades) have a higher risk, which is consistent with the results of other studies, namely that impaired liver function makes the liver more fragile and increases the risk of rupture (24,25). Our results support these findings and suggest that early intervention in patients with compromised liver function is critical to prevent rupture.
Impact of surgical approach on prognosis
A major strength of this study is the analysis of the role of surgical approach in improving the prognosis of SRHCC patients. We found that anatomic liver resection was associated with significantly better OS (P=0.009) and RFS (P=0.005) compared to non-anatomic liver resection. This finding is particularly important because anatomic liver resection ensures the complete removal of liver segments, including potentially affected vascular structures, which may reduce the likelihood of recurrence and improve long-term survival (26). The advantage of anatomic liver resection in HCC management has been well documented, particularly in patients with tumors 2–5 cm in size, where complete resection offers the best chance for disease-free survival (27).
Nevertheless, as anatomic liver resection is more difficult to perform compared to non-anatomical approaches, especially in cases of acute bleeding where rapid hemostasis and physiological stabilization are priorities, our study suggests that anatomical resection may be considered as the preferred strategy for carefully selected patients with SRHCC when anatomically and physiologically feasible.
As the implementation of anatomic liver resection is limited by the site environment as well as the patient’s condition, clinicians need to make individualized, multidisciplinary decisions based on tumor biology and patient physiology, and the complexity of SRHCC occurrences makes it even more advisable to adequately assess the patient’s condition and select the timing of the surgery for salvage with multidisciplinary collaboration (28).
Limitations and future directions
This study has several limitations. First, it is a retrospective cohort study, which inherently limits the ability to establish causality. Although IPTW was used to minimize confounding, residual biases may still exist. Second, the sample size, while substantial, is still relatively small and primarily represents the Chinese patients. The applicability of these findings to Western populations or other ethnic groups remains uncertain. Future multicenter, prospective studies with larger sample sizes and diverse populations are necessary to confirm these results and to further evaluate the efficacy of anatomic liver resection in SRHCC patients.
Conclusions
In conclusion, SRHCC was associated with significantly worse survival outcomes, and tumor size, presence of symptoms, and Child-Pugh classification were independent risk factors for its occurrence. This study highlights the potential benefit of anatomic liver resection in improving survival for SRHCC patients. Our findings may provide new insights into the management of SRHCC and support the adoption of anatomic liver resection as a preferred surgical approach, potentially improving the prognosis of this challenging condition.
Acknowledgments
None.
Footnote
Reporting Checklist: The authors have completed the STROBE reporting checklist. Available at https://jgo.amegroups.com/article/view/10.21037/jgo-2025-262/rc
Data Sharing Statement: Available at https://jgo.amegroups.com/article/view/10.21037/jgo-2025-262/dss
Peer Review File: Available at https://jgo.amegroups.com/article/view/10.21037/jgo-2025-262/prf
Funding: This work was supported by
Conflicts of Interest: All authors have completed the ICMJE uniform disclosure form (available at https://jgo.amegroups.com/article/view/10.21037/jgo-2025-262/coif). The authors have no conflicts of interest to declare.
Ethical Statement: The authors are accountable for all aspects of the work in ensuring that questions related to the accuracy or integrity of any part of the work are appropriately investigated and resolved. The study was conducted in accordance with the Declaration of Helsinki and its subsequent amendments. The study was approved by the institutional ethics board of Eastern Hepatobiliary Surgery Hospital (No. EHBHKY2020-02-011) and individual consent for this retrospective analysis was waived.
Open Access Statement: This is an Open Access article distributed in accordance with the Creative Commons Attribution-NonCommercial-NoDerivs 4.0 International License (CC BY-NC-ND 4.0), which permits the non-commercial replication and distribution of the article with the strict proviso that no changes or edits are made and the original work is properly cited (including links to both the formal publication through the relevant DOI and the license). See: https://creativecommons.org/licenses/by-nc-nd/4.0/.
References
- Sung H, Ferlay J, Siegel RL, et al. Global Cancer Statistics 2020: GLOBOCAN Estimates of Incidence and Mortality Worldwide for 36 Cancers in 185 Countries. CA Cancer J Clin 2021;71:209-49. [Crossref] [PubMed]
- Zheng R, Zhang S, Zeng H, et al. Cancer incidence and mortality in China, 2016. J Natl Cancer Cent 2022;2:1-9. [Crossref] [PubMed]
- Cheng K, Cai N, Zhu J, et al. Tumor-associated macrophages in liver cancer: From mechanisms to therapy. Cancer Commun (Lond) 2022;42:1112-40. [Crossref] [PubMed]
- Liu CL, Fan ST, Lo CM, et al. Management of spontaneous rupture of hepatocellular carcinoma: single-center experience. J Clin Oncol 2001;19:3725-32. [Crossref] [PubMed]
- Bassi N, Caratozzolo E, Bonariol L, et al. Management of ruptured hepatocellular carcinoma: implications for therapy. World J Gastroenterol 2010;16:1221-5. [Crossref] [PubMed]
- Shimada R, Imamura H, Makuuchi M, et al. Staged hepatectomy after emergency transcatheter arterial embolization for ruptured hepatocellular carcinoma. Surgery 1998;124:526-35.
- Tanaka A, Takeda R, Mukaihara S, et al. Treatment of ruptured hepatocellular carcinoma. Int J Clin Oncol 2001;6:291-5. [Crossref] [PubMed]
- Lai EC, Lau WY. Spontaneous rupture of hepatocellular carcinoma: a systematic review. Arch Surg 2006;141:191-8. [Crossref] [PubMed]
- Zhong F, Cheng XS, He K, et al. Treatment outcomes of spontaneous rupture of hepatocellular carcinoma with hemorrhagic shock: a multicenter study. Springerplus 2016;5:1101. [Crossref] [PubMed]
- Guo J, Wang W, Zhang Y, et al. Comparison of initial tumor responses to transarterial bland embolization and drug-eluting beads-transarterial chemoembolization in the management of hepatocellular carcinoma: a propensity-score matching analysis. J Gastrointest Oncol 2021;12:1838-50. [Crossref] [PubMed]
- Kirikoshi H, Saito S, Yoneda M, et al. Outcomes and factors influencing survival in cirrhotic cases with spontaneous rupture of hepatocellular carcinoma: a multicenter study. BMC Gastroenterol 2009;9:29. [Crossref] [PubMed]
- Xia F, Ndhlovu E, Zhang M, et al. Ruptured Hepatocellular Carcinoma: Current Status of Research. Front Oncol 2022;12:848903. [Crossref] [PubMed]
- Aziz H, Kwon YIC, Park A, et al. Comprehensive review of clinical presentation, diagnosis, management, and prognosis of ruptured hepatocellular carcinoma. J Gastrointest Surg 2024;28:1357-69. [Crossref] [PubMed]
- Jeng KS, Huang CC, Lin CC, et al. Liver Transplantation After Downstagings of Ruptured Advanced Hepatocellular Carcinoma in Cirrhotic Liver: Is It Advisable? A Case Report. Transplant Proc 2019;51:1468-71. [Crossref] [PubMed]
- Sahu SK, Chawla YK, Dhiman RK, et al. Rupture of Hepatocellular Carcinoma: A Review of Literature. J Clin Exp Hepatol 2019;9:245-56. [Crossref] [PubMed]
- Liau MYQ, Toh EQ, Muhamed S, et al. Can propensity score matching replace randomized controlled trials? World J Methodol 2024;14:90590. [Crossref] [PubMed]
- Ito T, Tanemura A, Kuramitsu T, et al. Spleen volume is a predictor of posthepatectomy liver failure and short-term mortality for hepatocellular carcinoma. Langenbecks Arch Surg 2023;408:297. [Crossref] [PubMed]
- Sheriff S, Madhavan S, Lei GY, et al. Predictors of mortality within the first year post-hepatectomy for hepatocellular carcinoma. J Egypt Natl Canc Inst 2022;34:14. [Crossref] [PubMed]
- Wang ZM, Lu XS, Qiu F. Hepatectomy for spontaneous rupture of hepatocellular carcinoma without portal triad clamping. Oncol Lett 2017;14:3997-4004. [Crossref] [PubMed]
- Aoki T, Kokudo N, Matsuyama Y, et al. Prognostic impact of spontaneous tumor rupture in patients with hepatocellular carcinoma: an analysis of 1160 cases from a nationwide survey. Ann Surg 2014;259:532-42. [Crossref] [PubMed]
- Zhang Z, Tan S, Tang H, et al. Risk Factors and Survival Analysis of Spontaneously Ruptured Hepatocellular Carcinoma: A Retrospective Cohort Study in Bilateral Centers. Ann Surg Oncol 2025;32:4997-5007. [Crossref] [PubMed]
- Yeh CN, Lee WC, Jeng LB, et al. Spontaneous tumour rupture and prognosis in patients with hepatocellular carcinoma. Br J Surg 2002;89:1125-9. [Crossref] [PubMed]
- Xia F, Lau WY, Qian C, et al. Continuous occlusion of hepatic artery proper for prevention of blood loss in partial hepatectomy for ruptured hepatocellular carcinoma: a case-matched comparative study. Ann Surg Oncol 2011;18:1638-43. [Crossref] [PubMed]
- Wu J, Tong RL, Ding CF, et al. Establishment of prediction model for spontaneous rupture of primary liver cancer. Zhejiang Da Xue Xue Bao Yi Xue Ban 2014;43:652-7. [Crossref] [PubMed]
- D'Amico G, Garcia-Tsao G, Pagliaro L. Natural history and prognostic indicators of survival in cirrhosis: a systematic review of 118 studies. J Hepatol 2006;44:217-31. [Crossref] [PubMed]
- Hirose Y, Sakata J, Takizawa K, et al. Impact of anatomic resection on long-term survival in patients with hepatocellular carcinoma with T1-T2 disease or microscopic vascular invasion. Surg Oncol 2023;49:101951. [Crossref] [PubMed]
- Eguchi S, Kanematsu T, Arii S, et al. Comparison of the outcomes between an anatomical subsegmentectomy and a non-anatomical minor hepatectomy for single hepatocellular carcinomas based on a Japanese nationwide survey. Surgery 2008;143:469-75. [Crossref] [PubMed]
- Chen H, Tao M, Li D, et al. An evaluation of the reporting quality in clinical practice guidelines for hepatocellular carcinoma using the RIGHT checklist. Ann Transl Med 2021;9:1004. [Crossref] [PubMed]

