Prognosis prediction model for a special entity of gastric cancer, linitis plastica
Introduction
Although the morbidity and mortality of gastric cancer (GC) have been declined in decades, it remains the third leading cause of cancer-related death (1,2). With a long history, the gastric linitis plastica (GLP) is a unique entity of GC with the entity of cellular spread to the submucosal and muscular layers (3-5). In comparison with other types of GC, GLP has been commonly reported to have a poor prognosis with a median overall survival (OS) duration ranges from 6 to 14 months, indicating that GLP does have its special prognostic significance (6-13). Correspondingly, the biological behavior of GLP is revealed to have a propensity toward involvement of the entire stomach, invasion of the gastric serosa, peritoneal seeding, and massive lymph node metastases (4,5).
However, due to the indiscriminately use of terms such as signet ring cell carcinoma, Lauren diffuse adenocarcinoma, Borrmann type IV cancer, scirrhous cancers, the definition of GLP is still controversial (5). Furthermore, the reports addressing the treatment of the distinct type GC is quite limited. Currently, staging and treatment guidelines for gastric adenocarcinoma do not differentiate between GLP and non-GLP (14). Some clinical studies have demonstrated that surgical treatment has a handsome effect on improving the prognosis of GLP patients (6-9,11,13), which is consistent with the results of our previous research that showed gastrectomy was associated with an overwhelming survival advantage.
Considering the speciality of biologic behavior of GLP mentioned above, the GLP’s response to adjuvant treatments may differ from non-GLP theoretically. However, the predictive model to assess the effect of treatment for GLP is still limited. Therefore, it’s necessary to investigate the benefit of each treatment strategy and construct a model to predict the prognosis of GLP patients performed with gastrectomy exclusively, thus define the optimum therapeutic tactic for them. We present the following article in accordance with the TRIPOD reporting checklist (available at http://dx.doi.org/10.21037/jgo-20-264).
Methods
The study was conducted in accordance with the Declaration of Helsinki (as revised in 2013). No formal approval is required as data were collected from a source that was publicly available and did not contain unique patient identifiers. We obtained permission to access research data files of Surveillance, Epidemiology, and End Results (SEER) database. Given that these data are de-identified and ethics approval is waived, the study did not require informed consent.
Data source and selection criteria
Patient data of GC, including the GLP, were retrieved from the National Cancer Institute’s SEER population-based data registry.
Data of the patients with GLP from 1988 to 2016 were obtained from the SEER database following the International Classification of Diseases for Oncology, 3rd edition (ICD-O-3) where GLP was coded as 8142/3, 12/31/2016 was the cut-off date in this study.
The patient selection standard consistent with the criteria of the SEER database contains:
- confirmed by pathological examination with active follow-up;
- confirmed to have undergone gastrectomy;
- exclusion of patients <18 years old;
- exclusion of patients with unknown survival months or indefinite endpoint;
- exclusion of patients with unclear TNM stage or tumor size.
Following these criteria, 124,775 GC patients were identified from the database, and eventually leaving 342 GLP patients in the final cohort for analysis (Figure 1).

The demographics data were defined by the county attributes from the US Census 2010–2016 American Community Survey 5-year data files, which we could get from the SEER. Stat software.
Study variables
The following patients’ information was used in our study: Baseline demographics including gender, age, race, origin code, marital status, residence type, insurance situation, bachelor education, median household income and survival months; Tumor features including tumor size, pathology grade, primary tumor invasion, node status, examined lymph nodes (LN.E), positive lymph nodes (LN.P) and tumor location; Treatment information including gastrectomy, and additional therapy (chemotherapy, radiotherapy). The X-tile program (Yale University School of Medicine, New Haven, CT, USA) was used to find the best cut-off point for the continuous variables, including Age, LN.E, and LN.P. All TNM classifications were restaged according to the criteria described in the American Joint Committee on Cancer (AJCC) Cancer Staging Manual, 8th edition, 2017.
The main study endpoints include the OS and cancer-specific survival (CSS). The CSS defined as the time from the diagnosis to death attributed to GC as censoring was used as the main evaluation index of survival efficacy and OS, which is defined as from the date of operation to the date of death or the latest follow-up is used to analyze as well.
Statistical analysis and nomogram construction
The data of patients who underwent gastrectomy (n=342) were used to construct and validate the GLP predicting model. To make better use of our data, a higher ratio of training cohort has been made, and a considerable number of patients have been kept for validation. After all, the enrolled eligible patients were randomly assigned to the training cohort and validation cohort by simple random sampling with caret package. Principal component analysis (PCA) is used to evaluate the consistency between the training cohort and validation cohort.
Descriptive statistics were used to calculate the absolute number and frequency among patients with GLP at the time of cancer diagnosis. The χ2, t, or Fisher exact test is used for interclass comparison when appropriate.
For survival analysis, the OS and CSS were estimated by the Kaplan-Meier (K-M) method and tested by log-rank test. Univariate Cox proportional hazards (PHs) regression was performed to identify potential prognostic factors. Meanwhile, LASSO (least absolute shrinkage and selection operator), a machine learning method that can perform variable selection and regularization while fitting a multivariate Cox proportional regression model, would be used to simultaneously locate the valuable potential prognostic factors and avoid collinearity further (15). After synthesizing the results of univariate Cox regression and LASSO, the selected independent risk factors would be used to construct the GLP predicting model via multivariate Cox PHs regression. Hazard ratios (HRs) and 95% confidence intervals (CIs) of the risk factors were also calculated.
Nomogram is an excellent tool widely used for the visualization of tumor prognosis prediction models. A nomogram would be developed with the constructed GLP predicting model based on the training cohort’s data, and the data of the validation cohort would be used to validate the model in concern of model overfitting or underfitting. Hmisc, survival and rms packages were used in our research. Based on the predictive models with the selected identified prognostic factors, nomograms were constructed for predicting 1-, 3- and 5-year OS and CSS. The calibration curve, time-dependent receiver operating characteristic (ROC) curve, concordance index (C-index), and decision curve analysis (DCA) were used to evaluate the performance of the models. Calibration curves were constructed to avoid overfitting by comparing the mean of predicted and observed survival with the K-M method. A time-dependent ROC curve was drawn to evaluate the accuracy of the nomogram (16), Harrell’s C-index was used to evaluate the discrimination (17). Decision Curve Analysis was used to evaluate the actual clinical value of our model, meanwhile, a simple model based on TNM stage was established for comparison as well (18). To further illustrate the discrimination ability of the models, we classified the population into low-, medium- and high-risk subgroups according to the total risk scores calculated via nomogram. Meanwhile, respective K-M survival curves in each stage were depicted. To evaluate the performance of adjuvant therapy better, restricted mean survival time (RMST) was used to analyze the actual curative effect of chemotherapy & radiotherapy (19). One-, 3-, and 5-year were selected to be the cut-off timepoint of RMST analysis. Data analyses and model construction were performed using R 3.6.1 (R foundation, Vienna, Austria). The results were considered statistically significant when P<0.05 on both sides.
Results
Patient characteristics
For 342 GLP patients who underwent gastrectomy, the average follow-up time of all patients is 78.3 months. All patients were randomly divided into a training set, including 275 patients (80%) and a validating set containing 67 patients (20%) for model construction and validation. The oncological and clinical characteristics of these two sets were shown in Table 1. The result of PCA and K-M analyses indicates that there’s no apparent overall difference between the groups (shown in Figure S1).

Full table
Independent prognostic factors for OS and CSS
For patients in training cohort, univariate Cox analyses were used to identify the potential prognostic factors associated with OS and CSS. Age (P<0.05),lesion size (P<0.001), primary tumor invasion (P=0.002), LN.E (P=0.006), LN.P (P<0.001), combined resection (P=0.010), chemotherapy (P<0.05), radiotherapy (P<0.001) and martial status (P<0.05) are potential prognostic factors for OS; age (P<0.001), race (P<0.05), lesion size (P<0.001), primary tumor invasion (P<0.01), node status (P<0.001), LN.E (P<0.015), LN.P (P<0.001), combined resection (P<0.05), and radiotherapy (P<0.05) are potential prognostic factors for CSS. Meanwhile, LASSO was used to reselect and penalize variables to avoid under-fitting or over-fitting data by 10-fold cross-validation (Figure S2), results were summarized in Tables 2,3.

Full table

Full table
Finally, after synthesizing the results of univariate Cox regression and Lasso, all independent risk factors that met the PH assumption test were entered into multivariate Cox regression analysis further. The results revealed that age, lesion size, LN.E, LN.P, combined resection, and radiotherapy should be included in the OS model, while age, race, lesion size, LN.E, LN.P, combined resection, and marital status were chosen to build the CSS model. K-M method was used to draw the survival curves of selected prognostic factors (Figures S3,S4). The data of our analysis were summarized in Tables 2,3, respectively.
Prognostic nomogram construction, calibration, validation, and simplified evaluation
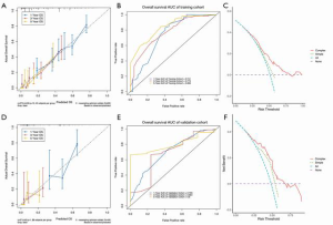
Based on the results of multivariate Cox regressions, nomograms were constructed to facilitate the assessment of the prognosis of patients performed with gastrectomy (Figure 2). Compared with other clinicopathologic features, LN.E, LN.P, and lesion size conferred better impacts on OS and CSS for GLP patients performed with gastrectomy.

In training cohort, C-indexes were 0.678 (95% CI, 0.660–0.696) for OS and 0.671 (95% CI, 0.653–0.699) for CSS, which were superior to the seventh edition of TNM staging (OS: 0.561, 95% CI, 0.54–0.58, P<0.001; CSS: 0.61, 95% CI, 0.58–0.64, P<0.001). Meanwhile, in validation cohort, C-indexes were 0.673 (95% CI, 0.63–0.716) for OS and 0.650 (95% CI, 0.601–0.691) for CSS, also better than the seventh edition of TNM staging (OS: 0.56, 95% CI, 0.52–0.60, P<0.001; CSS: 0.57, 95% CI, 0.53–0.61, P<0.001).
The nomograms were both tested by 600 bootstraps resample for the internal validation, and 400 bootstraps resample for the external validation with the training cohort and validation cohort, respectively. The survival area under the curve (AUC) values of the ROC predicted the 1-, 3-, and 5-year OS of the nomogram to be 0.741, 0.773, and 0.839 in the training cohort. Meanwhile, the AUC values of 1-, 3-, and 5-year CSS of the nomogram are to be 0.703, 0.751, and 0.822, respectively, indicating good agreements between prediction and practical observation; besides, the result of the validation set is also shown. DCA was performed to evaluate the predicting probability of our models. In comparison with the simple model based on the TNM stage, our model performed much better in practice. Calibration curves, time-dependent ROC curves, and DCA curves of the training cohort and the validation cohort are presented in Figures 3,4.


The nomogram scores of every including variable were listed in Table 4. Meanwhile, to evaluate the actual discrimination ability of our model further, the nomogram scores were calculated for all patients. Then, patients were stratified into the low-risk group (OS: 110/342, 31%, score: 0–11; CSS: 108/342, 31%, score: 0–17), medium-risk group (OS: 135/342, 39%, score: 11–15; CSS: 139/342, 39%, score: 17–23), and high-risk group (OS: 101/342, 30%, score: >15; CSS: 101/342, 30%, score: >23). The stratification strategy was summarized in Table 4. The K-M curves showed that OS & CSS in the different groups was accurately differentiated by the risk stratification strategy (shown in Figure 5), indicating the nomogram’s outstanding discrimination ability for GLP.

Full table

Survival analysis based on RMST
Although the Cox analyses have shown that chemotherapy (P<0.05), radiotherapy (P<0.001) was associated with superior prognosis, the K-M curves, log-rank test and PHs assumption test showed that chemotherapy and radiotherapy cannot meet the PH assumption (Figure 6). Therefore, it is unstable to evaluate these variables with traditional method (Figure 6). To evaluate the actual therapeutic effect of adjuvant therapy, RMST within the truncation time of 1-, 3-, and 5-year were calculated to compare further survival in the patients received adjuvant therapy or not. The results were summarized in Tables 5,6, Figures S5,S6. For CSS (Table 5 & Figure S5), within the 3 years, on average, patients received chemotherapy would survive 3.2 months longer than the patients not received chemotherapy (19.6 vs. 16.4 months, P=0.028); consistently, patients received radiotherapy would survive 4.3 months longer than the patients not received chemotherapy (21.0 vs. 16.6 months, P<0.001). However, within 5 years, on average, patients received chemotherapy would not significantly gain superior survival (23.7 vs. 20.9 months, P=0.237); similarly, patients received radiotherapy also would not significantly gain superior survival (25.1 vs. 21.1 months, P=0.100). While for OS (Table 6 & Figure S6), either the patients received chemotherapy or radiotherapy gain a better prognosis within the truncation time of 1-, 3-, and 5-year.


Full table

Full table
Discussion
GLP made features of poor prognosis and highly aggressive characteristics compared with other types of GC. Our validations focused on GLP patients performed with gastrectomy exclusively and revealed the passable performance of our nomogram in prognosis prediction. And this is the first prognosis predictive model designed for GLP patients. To better detect prognosis prediction model for GLP, time-dependent ROC curve and DCA curve are also used to analyze the actual distinguishing ability of the model. Encouragingly, the ROC is higher than 0.75 and the DCA curve indicated that this model has better prediction ability in practice. In other words, it was well calibrated with satisfactory consistency. And in the GLP model, the characteristics of prognostic factors was consistent with non-GLP models. LN.E, LN.P, lesion size, combined resection, age, race and marital status have also been demonstrated to be independent prognostic factors in non-GLP cohort (20-23).
Further, since the guidelines have not yet been distinguished between GLP and non-GLP, we then focused on determining whether the respond of GLP to chemotherapy and radiotherapy is different form non-GLP or not.
Although the Cox analyses showed that chemotherapy (P<0.05), radiotherapy (P<0.001) was associated with superior prognosis, the PH assumption test presented that chemotherapy and radiotherapy were not in line with the PH hypothesis. Thus, we introduced a new method of RMST, which does not need to consider the PH assumption, to specifically explore the actual effects of radiotherapy and chemotherapy. Notably, the deeper analysis suggested that both chemotherapy and radiotherapy may play important roles in improving outcomes for GLP within the truncation time of 1- and 3-year, but the advantages of CSS lost for the truncation time of 5-year both in chemotherapy and radiotherapy, which gives additional new knowledge to the existing literature. Since CSS is a more specific indicator than OS to evaluate the oncological effect of chemotherapy and radiotherapy for GLP, the inconsistency between 1- and 3-year CSS and 5-year CSS potentially indicated that chemotherapy and radiotherapy were effective in the short run but developed resistance as the disease progress.
Many previous studies have demonstrated that chemotherapy conferred superior prognosis for GC (24-26). However, a previous study showed that GLP patients experienced poor responses to systemic therapy (27), likely because of the disease’s scirrhous stromal component (5) which may protect cancer cells from the host’s immune response and conventional chemotherapeutic agents (28-30). Besides, some fundamental researches have found angiogenesis, TGF-beta secretion and cell adhesion molecules might relate to the development of GLP disease and their poor prognosis (31-35). And these biological characteristics also could confer resistance to chemotherapy (36,37). Also, some studies have revealed that even microRNA might also work in modulating the sensitive to chemotherapy (38,39). There are also researches showing peripheral venous blood platelet-to-lymphocyte ratio could predict the chemotherapy-sensitive (40). These studies implied that the response to chemotherapy is very complicated and may develop resistance as the disease progress. Thus, the respond of GLP to chemotherapy changed may be attributed to the tumor microenvironment developing. Addition, in the perspective of the clinic, the tumor cells of GLP are more prone to spread via lymphatic dissemination and by local extension into neighboring organs or as peritoneal carcinomatosis (8-11,14,41,42). The invasiveness of biological behavior and extensive tumor burden also make adjuvant chemotherapy work difficultly.
Like the effect of chemotherapy in our study, the radiotherapy also conferred a favored prognosis in the short run but developed resistance as the disease progress. While the Intergroup 0116 trial (43) has demonstrated that GC could get strong, persistent benefit from adjuvant radiochemotherapy, but the similar studies in GLP exclusively has not yet been reported. The difference between the results of GLP in our research and the results of GC in Intergroup 0116 trial may also be attributed to the special invasiveness of biological behavior of GLP. From the basis of molecular biology, the treatment of tumor with radiation mainly depends on the ionization of radiation, which damages the structure of DNA, leads to the damage or destruction of cell ultrastructure, and then leads to the change of cell morphology and tissue reaction. Radiotherapy can also directly cause tumor cell damage, including lethal injury, sublethal injury and potentially lethal injury. Radiotherapy can inhibit tumor vascular regeneration and seal small blood vessels and lymphatic vessels. Notably, radiation can cause an inflammatory reaction in the irradiated site, inducing immune cells to enter the irradiated area, and enhancing the phagocytosis of tumor cells. Besides, radiation-induced bystander effect (RIBE) is predominantly mediated by irradiated tumor cell-released microparticles, which polarized microenvironmental M2 tumor-associated macrophages (M2-TAMs) to M1-TAMs and modulated antitumor interactions between TAMs and tumor cells (44). Thus, the effect of radiation should work continuously, theoretically. Therefore, the inconsistency between 3-year survival and 5-year survival indicated more complicated mechanisms of radiation on GLP.
Since the effect of chemotherapy for GLP is not persistent, there is an urgent need to explore the mechanisms of chemoresistance. First, it is necessary to select the toiled regime for each patient more accurately and to develop novel strategies to overcome chemoresistance (45). In addition, many antitumor drugs are the activation of apoptosis. Thus, a decreased function of pro-apoptotic factors, or the up-regulation of anti-apoptotic factors, might be attributed to the resistance of GC to drugs (5-FU, cisplatin etc.). Thus, hindering the activity of these pathways may increase the sensitivity of GLP to current chemotherapy is to be expected. Further, some research has suggested that pharmacological ascorbate is selectively cytotoxic to GC by a mechanism involving H2O2 and redox-active metal ions (46). Hence, pharmacological ascorbate was suggested to be used as an adjuvant with standard-of-care radio-chemotherapies for GC. Lu et al. further revealed pharmacological ascorbate inhibits the growth of GC cells and boosts the efficacy of oxaliplatin by redox modulation. In mouse models, the combination of pharmacological ascorbate with genotoxic agents (oxaliplatin, irinotecan etc.), cooperatively suppressed GC growth (47). Thus, pharmacological ascorbate was potential to use as a means of sensitizing GLP to chemoradiotherapy. Other researches indicated that the effect of radiation could also be improved. Since Nicotinamide adenine dinucleotide (NAD+) metabolism is integrally associated with the mechanisms of action of radiation therapy and is changed in many radiation-resistant tumors, NAD+ metabolism was potential to be used to enhance radiation sensitivity and improve patient prognosis (48). So, identifying new targets in the NAD+ metabolic network of GLP for therapeutic interventions in combination with radiation therapy was also a potential tactic to explore. Thus, exploring more sensitizing agent is one of the possible strategies to improve the continuous effect of radiotherapy to GLP. More encouragingly, pool analysis recently showed combined radiotherapy with pembrolizumab immunotherapy significantly increased responses and outcomes in patients with metastatic non-small-cell lung cancer (49). This finding gave some inspirations in improving the long term of radiotherapy for GLP.
In our research, the steps of grouping, Cox analysis and nomogram construction & validation have all adopted the current common methods. However, some limits still need to be pointed out. First, the study has inherent flaws in retrospective studies based on public databases like SEER, despite we use relatively strict inclusion criteria to ensure the validity of the results, the bias still can’t be ignored. As a result of some pathological or clinical data such as peritoneum metastasis, concrete resection technique and actual chemotherapeutics can’t be obtained from the database, further analysis is limited. Besides, GLP is an uncommon type of carcinoma with low prevalence, although we have screened the records of nearly 30 years, the cohort undergoing gastrectomy for GLP was still relatively small, which may influence the stability of the model. Finally, the nomograms constructed in this study still need external validation with other prospective trials.
In conclusions, the models presented in this study might be suitable for clinical use, supporting clinicians in their individualized assessment of expected survival in GLP patients. Notably, chemotherapy and radiotherapy might be beneficial for improving 1- and 3-year OS and CSS, but not the 5-year CSS. This might help guide treatment strategies for patients with GLP and differ from non-GLP patients.
Acknowledgments
We would like to thank the staff members of the National Cancer Institute and their colleagues across the United States and at Information management Services, Inc., who have been involved with the Surveillance, Epidemiology and End Results (SEER) Program. Meanwhile, we would like to thank anonymous reviewers who gave valuable suggestion that has helped to improve the quality of the manuscript. We also thank Prof. Tian Lin, from Department of General Surgery for his professional guidance and useful comments which have greatly improved the manuscript.
Funding: This study was supported by Science and Technology Planning Project of Guangdong Province (No. 2017B020226005), “Climbing Program”, Special Fund of Guangdong Province (No. pdjh2021a0092, pdjh2021a0093 and pdjh2021b0098) and the College Students’ Innovative Entrepreneurial Training Plan Program of Southern Medical University, Guangzhou (Grant No. 201912121290, S202012121149 and X202012121295).
Footnote
Reporting Checklist: The authors have completed the TRIPOD reporting checklist. Available at http://dx.doi.org/10.21037/jgo-20-264
Peer Review File: Available at http://dx.doi.org/10.21037/jgo-20-264
Conflicts of Interest: All authors have completed the ICMJE uniform disclosure form (available at http://dx.doi.org/10.21037/jgo-20-264). Dr. YZ reports grants from Southern Medical University, outside the submitted work. The other authors have no conflicts of interest to declare.
Ethical Statement: The authors are accountable for all aspects of the work in ensuring that questions related to the accuracy or integrity of any part of the work are appropriately investigated and resolved. The study was conducted in accordance with the Declaration of Helsinki (as revised in 2013). No formal approval is required as data were collected from a source that was publicly available and did not contain unique patient identifiers. We obtained permission to access research data files of SEER database. Given that these data are de-identified and ethics approval is waived, the study did not require informed consent.
Open Access Statement: This is an Open Access article distributed in accordance with the Creative Commons Attribution-NonCommercial-NoDerivs 4.0 International License (CC BY-NC-ND 4.0), which permits the non-commercial replication and distribution of the article with the strict proviso that no changes or edits are made and the original work is properly cited (including links to both the formal publication through the relevant DOI and the license). See: https://creativecommons.org/licenses/by-nc-nd/4.0/.
References
- Thrift AP, El-Serag HB. Burden of gastric cancer. Clin Gastroenterol Hepatol 2020;18:534-42. [Crossref] [PubMed]
- Siegel RL, Miller KD, Jemal A. Cancer statistics, 2020. CA Cancer J Clin 2020;70:7-30. [Crossref] [PubMed]
- Lyle HH. VIII. Linitis Plastica (Cirrhosis of Stomach): With a Report of a Case Cured by Gastro-Jejunostomy. Ann Surg 1911;54:625-68. [Crossref] [PubMed]
- Mastoraki A, Papanikolaou IS, Sakorafas G, et al. Facing the challenge of managing linitis plastica--review of the literature. Hepatogastroenterology 2009;56:1773-8. [PubMed]
- Agnes A, Estrella JS, Badgwell B. The significance of a nineteenth century definition in the era of genomics: linitis plastica. World J Surg Oncol 2017;15:123. [Crossref] [PubMed]
- Endo K, Sakurai M, Kusumoto E, et al. Biological significance of localized Type IV scirrhous gastric cancer. Oncol Lett 2012;3:94-9. [Crossref] [PubMed]
- Otsuji E, Kuriu Y, Okamoto K, et al. Outcome of surgical treatment for patients with scirrhous carcinoma of the stomach. Am J Surg 2004;188:327-32. [Crossref] [PubMed]
- Schauer M, Peiper M, Theisen J, et al. Prognostic factors in patients with diffuse type gastric cancer (linitis plastica) after operative treatment. Eur J Med Res 2011;16:29-33. [Crossref] [PubMed]
- Pedrazzani C, Marrelli D, Pacelli F, et al. Gastric linitis plastica: which role for surgical resection? Gastric Cancer 2012;15:56-60. [Crossref] [PubMed]
- Jafferbhoy S, Shiwani H, Rustum Q. Managing gastric linitis plastica: keep the scalpel sheathed. Sultan Qaboos Univ Med J 2013;13:451-3. [Crossref] [PubMed]
- Blackham AU, Swords DS, Levine EA, et al. Is linitis plastica a contraindication for surgical resection: a multi-institution study of the U.S. Gastric Cancer Collaborative. Ann Surg Oncol 2016;23:1203-11. [Crossref] [PubMed]
- Xiao H, Ma M, Xiao Y, et al. Incomplete resection and linitis plastica are factors for poor survival after extended multiorgan resection in gastric cancer patients. Sci Rep 2017;7:15800. [Crossref] [PubMed]
- Ikoma N, Agnes A, Chen HC, et al. Linitis plastica: a distinct type of gastric cancer. J Gastrointest Surg 2020;24:1018-25. [Crossref] [PubMed]
- National Health Commission of The People's Republic of China. Chinese guidelines for diagnosis and treatment of gastric cancer 2018 (English version). Chin J Cancer Res 2019;31:707-37. [Crossref] [PubMed]
- Simon N, Friedman J, Hastie T, et al. Regularization paths for Cox's proportional hazards model via coordinate descent. J Stat Softw 2011;39:1-13. [Crossref] [PubMed]
- Heagerty PJ, Lumley T, Pepe MS. Time-dependent ROC curves for censored survival data and a diagnostic marker. Biometrics 2000;56:337-44. [Crossref] [PubMed]
- Newson R. Confidence intervals for rank statistics: Somers' D and extensions. Stata Journal 2006;6:309-34. [Crossref]
- Vickers AJ, Elkin EB. Decision curve analysis: a novel method for evaluating prediction models. Med Decis Making 2006;26:565-74. [Crossref] [PubMed]
- Uno H, Claggett B, Tian L, et al. Moving beyond the hazard ratio in quantifying the between-group difference in survival analysis. J Clin Oncol 2014;32:2380-5. [Crossref] [PubMed]
- Chen X, Chen Y, Hu Y, et al. The methods of lymph node examination make a difference to node staging and detection of N3b node status for gastric cancer. Front Oncol 2020;10:123. [Crossref] [PubMed]
- Deng J, Liu J, Wang W, et al. Validation of clinical significance of examined lymph node count for accurate prognostic evaluation of gastric cancer for the eighth edition of the American Joint Committee on Cancer (AJCC) TNM staging system. Chin J Cancer Res 2018;30:477-91.
- Zhi Y, Lin Z, Ma J, et al. Distinguish the role of radiotherapy from chemoradiotherapy for gastric cancer with behavior of metastasis-indolent in lymph node. Technol Cancer Res Treat 2020;19:1533033820959400 [Crossref] [PubMed]
- Chen X, Chen Y, Li T, et al. Impact of diabetes on prognosis of gastric cancer patients performed with gastrectomy. Chin J Cancer Res 2020;32:631-44. [Crossref] [PubMed]
- Sasako M, Sakuramoto S, Katai H, et al. Five-year outcomes of a randomized phase III trial comparing adjuvant chemotherapy with S-1 versus surgery alone in stage II or III gastric cancer. J Clin Oncol 2011;29:4387-93. [Crossref] [PubMed]
- Noh SH, Park SR, Yang HK, et al. Adjuvant capecitabine plus oxaliplatin for gastric cancer after D2 gastrectomy (CLASSIC): 5-year follow-up of an open-label, randomised phase 3 trial. Lancet Oncol 2014;15:1389-96. [Crossref] [PubMed]
- Chen X, Liu H, Li G, et al. Implications of clinical research on adjuvant chemotherapy for gastric cancer: where to go next? Chin J Cancer Res 2019;31:892-900. [Crossref] [PubMed]
- Piessen G, Messager M, Leteurtre E, et al. Signet ring cell histology is an independent predictor of poor prognosis in gastric adenocarcinoma regardless of tumoral clinical presentation. Ann Surg 2009;250:878-87. [Crossref] [PubMed]
- Terai S, Fushida S, Tsukada T, et al. Bone marrow derived "fibrocytes" contribute to tumor proliferation and fibrosis in gastric cancer. Gastric Cancer 2015;18:306-13. [Crossref] [PubMed]
- Naito Y, Sakamoto N, Oue N, et al. MicroRNA-143 regulates collagen type III expression in stromal fibroblasts of scirrhous type gastric cancer. Cancer Sci 2014;105:228-35. [Crossref] [PubMed]
- Dvorak HF. Tumors: wounds that do not heal-redux. Cancer Immunol Res 2015;3:1-11. [Crossref] [PubMed]
- Hur H, Lee HH, Jung H, et al. Predicting factors of unexpected peritoneal seeding in locally advanced gastric cancer: indications for staging laparoscopy. J Surg Oncol 2010;102:753-7. [Crossref] [PubMed]
- Koyama T, Yashiro M, Inoue T, et al. TGF-beta1 secreted by gastric fibroblasts up-regulates CD44H expression and stimulates the peritoneal metastatic ability of scirrhous gastric cancer cells. Int J Oncol 2000;16:355-62. [Crossref] [PubMed]
- Morita K, Fujimori T, Ono Y, et al. Identification of the prelinitis condition in gastric cancer and analysis of TGF-beta, TGF-beta RII and pS2 expression. Pathobiology 2001;69:321-8. [Crossref] [PubMed]
- Mahara K, Kato J, Terui T, et al. Transforming growth factor beta 1 secreted from scirrhous gastric cancer cells is associated with excess collagen deposition in the tissue. Br J Cancer 1994;69:777-83. [Crossref] [PubMed]
- Tanigawa N, Amaya H, Matsumura M, et al. Association between tumor angiogenesis and Borrmann type 4 carcinomas of the stomach. Oncology 1998;55:461-7. [Crossref] [PubMed]
- Zhang H, Ren L, Ding Y, et al. Hyaluronan-mediated motility receptor confers resistance to chemotherapy via TGFbeta/Smad2-induced epithelial-mesenchymal transition in gastric cancer. FASEB J 2019;33:6365-77. [Crossref] [PubMed]
- Yuan F, Shi H, Ji J, et al. Capecitabine metronomic chemotherapy inhibits the proliferation of gastric cancer cells through anti-angiogenesis. Oncol Rep 2015;33:1753-62. [Crossref] [PubMed]
- Xu N, Lian YJ, Dai X, et al. miR-7 increases cisplatin sensitivity of gastric cancer cells through suppressing mTOR. Technol Cancer Res Treat 2017;16:1022-30. [Crossref] [PubMed]
- Wang Q, Cao T, Guo K, et al. Regulation of integrin subunit alpha 2 by miR-135b-5p modulates chemoresistance in gastric cancer. Front Oncol 2020;10:308. [Crossref] [PubMed]
- Chen L, Hao Y, Cong X, et al. Peripheral venous blood platelet-to-lymphocyte ratio (PLR) for predicting the survival of patients with gastric cancer treated with SOX or XELOX regimen neoadjuvant chemotherapy. Technol Cancer Res Treat 2019;18:1533033819829485 [Crossref] [PubMed]
- Kodera Y, Ito S, Mochizuki Y, et al. The number of metastatic lymph nodes is a significant risk factor for bone metastasis and poor outcome after surgery for linitis plastica-type gastric carcinoma. World J Surg 2008;32:2015-20. [Crossref] [PubMed]
- Kodera Y, Nakanishi H, Ito S, et al. Detection of disseminated cancer cells in linitis plastica-type gastric carcinoma. Jpn J Clin Oncol 2004;34:525-31. [Crossref] [PubMed]
- Macdonald JS, Smalley SR, Benedetti J, et al. Chemoradiotherapy after surgery compared with surgery alone for adenocarcinoma of the stomach or gastroesophageal junction. N Engl J Med 2001;345:725-30. [Crossref] [PubMed]
- Wan C, Sun Y, Tian Y, et al. Irradiated tumor cell-derived microparticles mediate tumor eradication via cell killing and immune reprogramming. Sci Adv 2020;6:eaay9789 [Crossref] [PubMed]
- Marin JJ, Al-Abdulla R, Lozano E, et al. Mechanisms of resistance to chemotherapy in gastric cancer. Anticancer Agents Med Chem 2016;16:318-34. [Crossref] [PubMed]
- O'Leary BR, Houwen FK, Johnson CL, et al. Pharmacological ascorbate as an adjuvant for enhancing radiation-chemotherapy responses in gastric adenocarcinoma. Radiat Res 2018;189:456-65. [Crossref] [PubMed]
- Lu YX, Wu QN, Chen DL, et al. Pharmacological ascorbate suppresses growth of gastric cancer cells with GLUT1 overexpression and enhances the efficacy of oxaliplatin through redox modulation. Theranostics 2018;8:1312-26. [Crossref] [PubMed]
- Lewis JE, Singh N, Holmila RJ, et al. Targeting NAD(+) metabolism to enhance radiation therapy responses. Semin Radiat Oncol 2019;29:6-15. [Crossref] [PubMed]
- Theelen WSME, Chen D, Verma V, et al. Pembrolizumab with or without radiotherapy for metastatic non-small-cell lung cancer: a pooled analysis of two randomised trials. Lancet Respir Med 2020; [Epub ahead of print]. [Crossref] [PubMed]

