Lumbar centroid level subcutaneous fat volume increased performance of prognostic predictive model in digestive system cancers: a real-world cohort study
Highlight box
Key findings
• Nutritional indicators are crucial for the prognosis of patients with digestive system tumors.
• Third lumbar vertebra centroid level subcutaneous fat volume (L3 CLSFV) is a valuable computed tomography (CT) indicator in predicting survival outcomes for digestive system cancer patients.
• Combining body composition analysis with emerging biomarkers could enhance predictive accuracy, offer more personalized treatment strategies.
What is known, and what is new?
• Body composition metrics from CT scans are established prognostic factors in cancer.
• The L3 CLSFV is a novel metric that improves patient risk stratification, as evidenced by a significant net reclassification improvement.
What is the implication, and what should change now?
• Integrating L3 CLSFV into clinical models can enable more personalized prognostic stratification.
• Prospective studies should validate L3 CLSFV’s utility for guiding clinical decision-making.
Introduction
Accurate prognostic prediction of overall survival (OS) in patients with digestive system cancers remains a cornerstone of personalized medicine. As treatments become more complex, determining the best therapeutic approach depends on precise survival predictions. Traditional clinical prediction models rely heavily on factors like stage of disease, patient performance status, and age (1-3). However, these models often fall short in predicting individual outcomes because of the complex interaction between tumor biology and host factors. Recent advances in imaging and biomarkers have provided opportunities to refine these prediction models by incorporating additional variables that reflect the patient’s physiological state, such as body composition and nutritional status, into the prognostic prediction (4-6). Specifically, the evaluation of abdominal fat distribution and skeletal muscle mass by computed tomography (CT) has become a powerful tool for predicting survival in cancer patients (7). These advancements aim to complement traditional clinical prediction models by providing more granular insights into the metabolic and nutritional health of patients.
Subcutaneous fat volume (SFV), a variable associated with abdominal fat distribution and inflammation (8), has been shown to be promising in predicting the outcome of different types of cancer (9,10). The use of CT to measure SFV has become more and more common and convenient. The association between body composition and cancer prognosis is well-documented, with studies consistently linking increased visceral fat and reduced muscle mass to poorer survival outcomes (11,12). In particular, SFV has been identified as a key factor influencing prognosis in digestive system cancers, with both inflammatory and metabolic disorders contributing to progression of the disease (13,14). These findings have prompted researchers to explore the potential of incorporating SFV into existing prognostic models to enhance the accuracy of survival predictions.
Recent studies have also focused on the improvement of reclassification metrics, such as net reclassification improvement (NRI) and integrated discrimination improvement (IDI), in order to make a more comprehensive assessment of model performance. These measures provide a more refined measurement of the extent to which a new variable may be able to reclassify a patient into a risk category and increase its predictive precision (15,16). We hypothesized that incorporating the third lumbar vertebra centroid level subcutaneous fat volume (L3 CLSFV) into the prediction model for digestive system tumors would improve the performance of model. This study attempts to demonstrate the improved discriminatory ability of model, and to show that the inclusion of this body composition parameters can significantly improve prognostic accuracy, thereby contributing to the development of more personalized and effective treatment strategies. We present this article in accordance with the TRIPOD reporting checklist (17) (available at https://jgo.amegroups.com/article/view/10.21037/jgo-2025-aw-834/rc).
Methods
Patients and datasets
This retrospective cohort study utilized data from patients diagnosed with digestive system cancers, who received treatment at Taizhou Cancer Hospital between January 1, 2017 and July 1, 2020. Clinical and imaging data were collected from medical records. The patients were randomly divided into a training cohort and a validation cohort. Patients in both cohorts were selected based on several inclusion criteria: (I) age ≥18 years; (II) at least one hospitalization during the course of the disease; (III) histopathologically or cytologically diagnosed as digestive system tumors, including esophageal cancer, gastric cancer, colorectal cancer, liver cancer, cholangiocarcinoma, and pancreatic cancer, etc.; (IV) receipt of at least one type of antitumor therapy (surgery, radiotherapy, chemotherapy, targeted therapy, or immunotherapy); (V) availability of nutritional index assessment; (VI) complete clinical medical history records, and follow-up records. Exclusion criteria included: (I) mental disorders; (II) multicentric malignant tumors; (III) unavailable histopathological or cytological diagnosis; (IV) lack of predictive indicators; (V) inability to follow up.
The study was conducted in accordance with the Declaration of Helsinki and its subsequent amendments. The study was approved by the Ethics Committee of Taizhou Cancer Hospital (IRB- [2020] NO.1). Because this was a retrospective study, all patients were exempted from providing informed consent for the study. Patient anonymity was ensured by de-identifying personal data.
SFV measured by CT
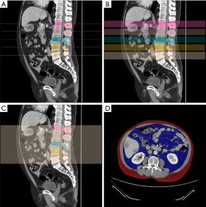
The basic principle of CT measurement of SFV is to distinguish the density of different tissues by the attenuation coefficient of X-rays, and to segment and quantify adipose tissue using computer image reconstruction technology. Specifically, when CT scanning utilizes X-rays to penetrate the human body, different tissues have different absorptions of X-rays, resulting in images with different gray values. Adipose tissue can be separated from other tissues by setting a range of CT values, such as subcutaneous fat, which is usually −190 to −30 Hounsfield units (HU). Abdominal adipose tissue was manually labeled by two radiologists with years of experience in tumor imaging using ITK-SNAP software. Subcutaneous adipose tissue (SAT) and visceral adipose tissue (VAT) were labeled. After the initial labeling was completed, the labeling results were reviewed by a third senior radiologist to ensure the accuracy and consistency of the labeling. After obtaining the information of the lumbar spine level, we performed a detailed analysis of the horizontal plane of each vertebral body (L1 to L5) and measured the volume of abdominal adipose tissue (including SAT and VAT) at that level. At the same time, we further focused on the level of the center of mass of each vertebral body, that is, the plane of the center of mass of L1 to L5 vertebral bodies was determined by the geometric center method, and the abdominal fat mass at this level was calculated. SAT and VAT volumes were calculated separately for each vertebra (L1 through L5) at the level of the center of gravity (Figure 1).
Clinicopathological variables and outcome
The clinicopathological variables included age, sex, Eastern Cooperative Oncology Group (ECOG) performance status, body mass index (BMI), clinical stage, and serum biomarkers such as albumin and prealbumin. These variables were selected based on their relevance to survival outcomes in patients with digestive system cancers, as demonstrated in previous studies (1). The primary outcome of this study was OS, defined as the time from diagnosis or surgery to death from any cause. Survival data were censored at the last follow-up date for patients who were still alive. Patients were followed regularly after initial treatment, with follow-up visits scheduled at 3-month intervals during the first 2 years and every 6 months thereafter. Clinical assessments included imaging studies, laboratory tests, and physical examinations to monitor disease progression and manage complications. Survival data were updated until the end of the study or the patient’s death, whichever occurred first.
Statistical analysis
Statistical processing of the results was performed using R software (version 4.4.3; http://www.r-project.org). We used a penalized model to select candidate variables for constructing a prediction model. The R package glmnet was used to perform the least absolute shrinkage and selection operator (LASSO) on the Cox model (18). The missing data was excluded; no any form of missing data imputation was carried out. For prognostic model development, Cox proportional hazards model was employed to estimate the impact of clinicopathological variables on OS. The models were built using the training cohort and included both clinical features and the newly incorporated L3 CLSFV variable. The performance of the Coxm1 (without L3 CLSFV) and Coxm2 (with L3 CLSFV) models was evaluated using the C-index, time-dependent receiver operating characteristic (timeROC) analysis, and calibration curves. The NRI and IDI were calculated to assess the improvement in model reclassification due to the inclusion of L3 CLSFV. These metrics were calculated in both the training and validation cohorts. Statistical significance was determined using a two-sided P value of less than 0.05. Continuous variables were compared using the t-test or Wilcoxon rank-sum test, and categorical variables were compared using the Chi-squared test.
Results
Baseline characteristics
A total of 550 patients were enrolled in this study. The median follow-up time for all patients was 25.8 months (interquartile range, 10.9–51.1 months), with a 1-year OS rate of 74.6% [95% confidence interval (CI): 74.55–74.63%], a 3-year OS rate of 45.20% (95% CI: 45.16–45.24%), and a 5-year OS rate of 32.52% (95% CI: 32.48–32.56%). The demographic and clinicopathological characteristics of patients with digestive system cancers in the training cohort (390 patients) and validation cohort (160 patients) were similar. There were no significant differences in gender (P=0.56), height (P=0.70), baseline weight (P=0.64), and BMI (P=0.38) between the two cohorts. Both groups had a similar distribution of BMI categories, with the majority falling within the normal BMI range (18.5–24.9 kg/m2). Weight loss, food intake reduction, and nutritional risk screening (NRS) 2002 scores were also comparable between the two cohorts (P=0.56, P=0.32, and P=0.93, respectively). ECOG performance status, underlying diseases, and emerging complications status did not differ significantly (P=0.99, P=0.50, and P=0.31, respectively). Total protein levels were significantly higher in the validation cohort (P=0.02), while alanine aminotransferase (ALT) levels were significantly lower in the validation cohort (P=0.045). However, albumin and prealbumin levels did not differ significantly between two cohorts (P=0.21 and P=0.63). There were no significant differences in cancer site distribution, clinical staging, or infection status between the cohorts (P=0.54, P=0.18, and P=0.75, respectively). Additionally, laboratory values such as lymphocyte count, white blood cell count, and platelet count showed no significant differences (P=0.85, P=0.42, and P=0.25, respectively). Overall, the two cohorts were similar in most baseline characteristics. Table 1 provides more detailed information.
Table 1
| Demographic or clinical characteristic | Overall (n=550) | Training cohort (n=390) | Validation cohort (n=160) | P value |
|---|---|---|---|---|
| Sex | 0.56 | |||
| Male | 376 (68.4) | 270 (69.2) | 106 (66.2) | |
| Female | 174 (31.6) | 120 (30.8) | 54 (33.8) | |
| Age, years | 62.98 (11.01) | 62.44 (11.31) | 64.32 (10.15) | 0.07 |
| Height, cm | 164.18 (7.52) | 164.09 (7.56) | 164.38 (7.45) | 0.70 |
| Baseline weight, kg | 58.73 (11.35) | 58.88 (11.28) | 58.37 (11.55) | 0.64 |
| BMI, kg/m2 | 21.25 (3.41) | 21.33 (3.30) | 21.04 (3.67) | 0.38 |
| BMI grade, kg/m2 | 0.12 | |||
| 30–40 | 7 (1.3) | 3 (0.8) | 4 (2.7) | |
| 25–29.9 | 62 (11.9) | 50 (13.4) | 12 (8.1) | |
| 18.5–24.9 | 347 (66.7) | 249 (66.9) | 98 (66.2) | |
| 17–18.4 | 56 (10.8) | 41 (11.0) | 15 (10.1) | |
| 16–16.9 | 23 (4.4) | 13 (3.5) | 10 (6.8) | |
| <16 | 25 (4.8) | 16 (4.3) | 9 (6.1) | |
| Weight loss, kg | 0.00 [0.00, 2.14] | 0.00 [0.00, 2.00] | 0.00 [0.00, 2.50] | 0.56 |
| Weight loss grade | 0.20 | |||
| None | 366 (72.8) | 263 (73.3) | 103 (71.5) | |
| <5% | 23 (4.6) | 14 (3.9) | 9 (6.2) | |
| 5–10% | 85 (16.9) | 65 (18.1) | 20 (13.9) | |
| >10% | 29 (5.8) | 17 (4.7) | 12 (8.3) | |
| Food intake reduction grade | 0.32 | |||
| <25% | 358 (65.3) | 250 (64.4) | 108 (67.5) | |
| 25–50% | 57 (10.4) | 45 (11.6) | 12 (7.5) | |
| 51–75% | 76 (13.9) | 50 (12.9) | 26 (16.2) | |
| 76–100% | 57 (10.4) | 43 (11.1) | 14 (8.8) | |
| NRS 2002, points | 0.93 | |||
| 1 | 206 (37.7) | 150 (38.6) | 56 (35.4) | |
| 2 | 75 (13.7) | 54 (13.9) | 21 (13.3) | |
| 3 | 62 (11.3) | 44 (11.3) | 18 (11.4) | |
| 4 | 142 (26.0) | 99 (25.4) | 43 (27.2) | |
| 5 | 61 (11.2) | 41 (10.5) | 20 (12.7) | |
| 6 | 1 (0.2) | 1 (0.3) | 0 (0.0) | |
| Underlying disease | 0.50 | |||
| No | 278 (50.5) | 193 (49.5) | 85 (53.1) | |
| Yes | 272 (49.5) | 197 (50.5) | 75 (46.9) | |
| Emerging complications | 0.31 | |||
| No | 265 (48.2) | 182 (46.7) | 83 (51.9) | |
| Yes | 285 (51.8) | 208 (53.3) | 77 (48.1) | |
| ECOG performance status, points | 0.99 | |||
| 0 | 31 (5.6) | 22 (5.7) | 9 (5.6) | |
| 1 | 214 (39.0) | 149 (38.3) | 65 (40.6) | |
| 2 | 138 (25.1) | 98 (25.2) | 40 (25.0) | |
| 3 | 115 (20.9) | 83 (21.3) | 32 (20.0) | |
| 4 | 51 (9.3) | 37 (9.5) | 14 (8.8) | |
| Tumor fever | 0.43 | |||
| No | 537 (97.6) | 379 (97.2) | 158 (98.8) | |
| Yes | 13 (2.4) | 11 (2.8) | 2 (1.2) | |
| Hospitalization frequency, times | 3.00 [1.00, 7.00] | 3.00 [1.00, 7.00] | 3.00 [1.00, 7.00] | 0.89 |
| CRP, mg/L | 15.22 [2.00, 53.05] | 16.24 [1.97, 52.72] | 13.86 [2.29, 53.26] | 0.95 |
| PCT, ng/mL | 0.07 [0.03, 0.30] | 0.07 [0.03, 0.30] | 0.07 [0.03, 0.34] | 0.81 |
| Total protein, g/L | 68.20 (8.56) | 67.66 (8.90) | 69.52 (7.54) | 0.02 |
| Prealbumin, mg/dL | 124.00 [68.00, 190.50] | 126.00 [64.00, 191.00] | 123.00 [78.25, 190.00] | 0.63 |
| Albumin, g/L | 36.80 [31.10, 41.05] | 36.40 [30.80, 40.90] | 37.40 [32.80, 41.20] | 0.21 |
| Retinol binding protein, mg/L | 25.62 (14.16) | 25.78 (14.46) | 25.24 (13.45) | 0.69 |
| Cholesterol, mmol/L | 5.25 (1.64) | 5.29 (1.73) | 5.17 (1.38) | 0.44 |
| Cancer site | 0.54 | |||
| Gastroesophageal | 158 (28.7) | 117 (30.0) | 41 (25.6) | |
| Pancreas | 43 (7.8) | 33 (8.5) | 10 (6.2) | |
| Hepatobiliary | 121 (22.0) | 87 (22.3) | 34 (21.2) | |
| Colorectal | 222 (40.4) | 149 (38.2) | 73 (45.6) | |
| Duodenal | 6 (1.1) | 4 (1.0) | 2 (1.2) | |
| T stage | 0.57 | |||
| 1 | 22 (5.4) | 14 (5.0) | 8 (6.4) | |
| 2 | 87 (21.5) | 60 (21.5) | 27 (21.6) | |
| 3 | 177 (43.8) | 128 (45.9) | 49 (39.2) | |
| 4 | 118 (29.2) | 77 (27.6) | 41 (32.8) | |
| N stage | 0.12 | |||
| 0 | 163 (40.3) | 107 (37.8) | 56 (46.3) | |
| 1 | 132 (32.7) | 95 (33.6) | 37 (30.6) | |
| 2 | 74 (18.3) | 51 (18.0) | 23 (19.0) | |
| 3 | 35 (8.7) | 30 (10.6) | 5 (4.1) | |
| M stage | 0.23 | |||
| 0 | 353 (67.1) | 244 (65.4) | 109 (71.2) | |
| 1 | 173 (32.9) | 129 (34.6) | 44 (28.8) | |
| Clinical stages | 0.18 | |||
| I | 41 (7.5) | 27 (6.9) | 14 (8.8) | |
| II | 117 (21.3) | 75 (19.2) | 42 (26.2) | |
| III | 177 (32.2) | 127 (32.6) | 50 (31.2) | |
| IV | 215 (39.1) | 161 (41.3) | 54 (33.8) | |
| Infection | 0.75 | |||
| No | 444 (80.7) | 313 (80.3) | 131 (81.9) | |
| Yes | 106 (19.3) | 77 (19.7) | 29 (18.1) | |
| Lymphocyte count, 109/L | 0.96 [0.65, 1.33] | 0.98 [0.64, 1.33] | 0.89 [0.68, 1.31] | 0.85 |
| White blood cell count, 109/L | 3.70 [2.60, 5.50] | 3.70 [2.50, 5.60] | 4.00 [2.73, 5.30] | 0.42 |
| White blood cell suppression grade | 0.61 | |||
| Normal | 261 (48.0) | 180 (46.8) | 81 (50.9) | |
| I | 108 (19.9) | 78 (20.3) | 30 (18.9) | |
| II | 117 (21.5) | 81 (21.0) | 36 (22.6) | |
| III | 44 (8.1) | 35 (9.1) | 9 (5.7) | |
| IV | 14 (2.6) | 11 (2.9) | 3 (1.9) | |
| Neutrophils count, 109/L | 2.33 [1.35, 3.63] | 2.27 [1.26, 3.77] | 2.36 [1.65, 3.42] | 0.39 |
| Neutrophils suppression grade | 0.10 | |||
| Normal | 336 (61.8) | 231 (60.0) | 105 (66.0) | |
| I | 61 (11.2) | 38 (9.9) | 23 (14.5) | |
| II | 70 (12.9) | 55 (14.3) | 15 (9.4) | |
| III | 53 (9.7) | 43 (11.2) | 10 (6.3) | |
| IV | 24 (4.4) | 18 (4.7) | 6 (3.8) | |
| Hemoglobin, g/L | 106.74 (26.12) | 106.62 (26.69) | 107.04 (24.78) | 0.86 |
| Hemoglobin suppression grade | 0.98 | |||
| Normal | 262 (47.9) | 185 (47.8) | 77 (48.1) | |
| I | 109 (19.9) | 77 (19.9) | 32 (20.0) | |
| II | 118 (21.6) | 82 (21.2) | 36 (22.5) | |
| III | 50 (9.1) | 37 (9.6) | 13 (8.1) | |
| IV | 8 (1.5) | 6 (1.6) | 2 (1.2) | |
| Platelet count, 109/L | 134.00 [84.50, 185.00] | 129.00 [79.00, 186.00] | 138.50 [89.75, 184.00] | 0.25 |
| Platelet suppression grade | 0.10 | |||
| Normal | 382 (69.8) | 268 (69.3) | 114 (71.2) | |
| I | 59 (10.8) | 36 (9.3) | 23 (14.4) | |
| II | 40 (7.3) | 28 (7.2) | 12 (7.5) | |
| III | 39 (7.1) | 32 (8.3) | 7 (4.4) | |
| IV | 27 (4.9) | 23 (5.9) | 4 (2.5) | |
| ALT, IU/L | 29.25 [16.75, 52.47] | 31.70 [17.60, 55.60] | 26.10 [15.35, 48.60] | 0.045 |
| AST, IU/L | 37.95 [24.75, 63.85] | 38.60 [25.30, 66.50] | 35.60 [23.75, 59.85] | 0.39 |
| Liver function classification | 0.62 | |||
| Normal | 234 (43.0) | 162 (42.1) | 72 (45.3) | |
| I | 209 (38.4) | 147 (38.2) | 62 (39.0) | |
| II | 53 (9.7) | 42 (10.9) | 11 (6.9) | |
| III | 42 (7.7) | 29 (7.5) | 13 (8.2) | |
| IV | 6 (1.1) | 5 (1.3) | 1 (0.6) | |
| L1 VBLSFV, cm3 | 275.16 (152.95) | 275.40 (135.10) | 274.64 (186.98) | 0.96 |
| L1 VBLVFV, cm3 | 190.19 (180.60) | 189.01 (180.68) | 192.77 (181.15) | 0.85 |
| L1 CLSFV, cm3 | 14.97 (11.20) | 15.39 (10.54) | 14.04 (12.54) | 0.27 |
| L1 CLVFV, cm3 | 10.22 (11.00) | 10.33 (10.91) | 9.97 (11.22) | 0.77 |
| L2 VBLSFV, cm3 | 305.17 (219.85) | 313.70 (237.55) | 286.79 (175.22) | 0.26 |
| L2 VBLVFV, cm3 | 206.84 (206.13) | 211.15 (222.84) | 197.53 (164.90) | 0.55 |
| L2 CLSFV, cm3 | 17.43 (12.64) | 17.91 (12.07) | 16.39 (13.79) | 0.27 |
| L2 CLVFV, cm3 | 11.54 (11.84) | 11.72 (12.17) | 11.16 (11.13) | 0.66 |
| L3 VBLSFV, cm3 | 346.54 (177.52) | 351.87 (172.98) | 335.17 (187.05) | 0.39 |
| L3 VBLVFV, cm3 | 216.98 (182.25) | 218.00 (186.98) | 214.82 (172.45) | 0.87 |
| L3 CLSFV, cm3 | 20.39 (15.12) | 21.12 (15.38) | 18.80 (14.47) | 0.16 |
| L3 CLVFV, cm3 | 12.63 (12.34) | 12.90 (12.49) | 12.03 (12.04) | 0.52 |
| L4 VBLSFV, cm3 | 408.90 (201.94) | 413.83 (197.86) | 398.84 (210.49) | 0.50 |
| L4 VBLVFV, cm3 | 206.84 (161.55) | 206.58 (163.12) | 207.37 (158.96) | 0.97 |
| L4 CLSFV, cm3 | 22.82 (15.46) | 23.52 (15.49) | 21.37 (15.37) | 0.21 |
| L4 CLVFV, cm3 | 11.41 (10.48) | 11.50 (10.29) | 11.24 (10.89) | 0.82 |
| L5 VBLSFV, cm3 | 447.56 (251.07) | 449.96 (248.48) | 442.66 (257.27) | 0.80 |
| L5 VBLVFV, cm3 | 190.46 (134.04) | 188.05 (132.75) | 195.39 (137.07) | 0.63 |
| L5 CLSFV, cm3 | 24.10 (17.88) | 24.51 (17.55) | 23.27 (18.57) | 0.54 |
| L5 CLVFV, cm3 | 10.23 (8.20) | 10.15 (7.57) | 10.40 (9.37) | 0.79 |
| L1-L5 VBLTSFV, cm3 | 1,689.39 (899.81) | 1,685.20 (877.05) | 1,698.64 (951.61) | 0.89 |
| L1-L5 VBLTVFV, cm3 | 962.06 (785.16) | 951.35 (796.03) | 985.64 (763.31) | 0.69 |
| OS status | ||||
| Alive | 192 (34.9) | 135 (34.6) | 57 (35.6) | 0.90 |
| Dead | 358 (65.1) | 255 (65.4) | 103 (64.4) |
Data are presented as n (%), mean (SD), median [range], or median [IQR]. ALT, alanine aminotransferase; AST, glutamic oxalacetic transaminase; BMI, body mass index; CLSFV, centroid level subcutaneous fat volume; CLVFV, centroid level visceral fat volume; CRP, C-reactive protein; ECOG, Eastern Cooperative Oncology Group; IQR, interquartile range; M, metastasis; N, node; NRS, nutritional risk screening; OS, overall survival; PCT, procalcitonin; SD, standard deviation; T, tumor; VBLSFV, vertebral body level subcutaneous fat volume; VBLTSFV, vertebral body levels total subcutaneous fat volume; VBLTVFV, vertebral body levels total visceral fat volume; VBLVFV, vertebral body level visceral fat volume.
Variables selection
The LASSO cross-validation regression method screened out 14 and 8 characteristics with nonzero coefficients using two different penalty coefficients (λmin and λmin+1se), respectively (Figure 2A,2B). Then, λmin and λmin+1se were selected to construct the prediction models using Cox regression respectively. The latter was finally used after evaluation and validation, following the principle of optimal clinical use. A total of 8 features included in Coxm2 were as follows: baseline weight, emerging disease, ECOG performance status, hemoglobin, prealbumin, albumin, clinical stages, and L3 CLSFV.
Cox regression analyses
The results of the univariable and multivariable Cox proportional hazards models in the training cohort are shown in Table 2. In the univariable analysis, baseline weight [hazard ratio (HR) =0.9712, P<0.001], emerging complications (HR =3.613, P<0.001), ECOG performance status (HR =1.632, P<0.001), hemoglobin (HR =0.9788, P<0.001), prealbumin (HR =0.9908, P<0.001), albumin (HR =0.9001, P<0.001), clinical stage (HR =1.942, P<0.001), and L3 CLSFV (HR =0.9827, P=0.008) were all significantly associated with OS. In the multivariable analysis, emerging complications remained a significant predictor (HR =1.9681, P<0.001), albumin (HR =0.9502, P=0.02), and clinical stage (HR =1.8839, P<0.001) also remained significant, while L3 CLSFV (HR =0.9879, P=0.07) and prealbumin (HR =0.9965, P=0.06) have a borderline statistical significance. However, other variables such as baseline weight, ECOG performance status, hemoglobin, and prealbumin did not retain statistical significance in the multivariable regression model (P>0.05). Although some variables were not statistically significant in the multivariable regression, these factors were retained in the final Cox model due to their clinical relevance and the calculated results of the LASSO regression analysis.
Table 2
| Variables | Univariable analysis | Multivariable analysis | |||
|---|---|---|---|---|---|
| HR (95% CI) | P value | HR (95% CI) | P value | ||
| Baseline weight | 0.9712 (0.9574–0.9852) | <0.001 | 0.9947 (0.9789–1.0107) | 0.51 | |
| Emerging complications | 3.613 (2.565–5.087) | <0.001 | 1.9681 (1.3227–2.9286) | <0.001 | |
| ECOG performance status | 1.632 (1.417–1.879) | <0.001 | 1.0177 (0.8415–1.2306) | 0.86 | |
| Hemoglobin | 0.9788 (0.9719–0.9857) | <0.001 | 1.0036 (0.9941–1.0132) | 0.46 | |
| Prealbumin | 0.9908 (0.9885–0.9931) | <0.001 | 0.9965 (0.9928–1.0002) | 0.06 | |
| Albumin | 0.9001 (0.8793–0.9213) | <0.001 | 0.9502 (0.9113–0.9908) | 0.02 | |
| Clinical stages | 1.942 (1.591–2.370) | <0.001 | 1.8839 (1.5438–2.2989) | <0.001 | |
| L3 CLSFV | 0.9827 (0.9702–0.9955) | 0.008 | 0.9879 (0.9751–1.0007) | 0.06 | |
CI, confidence interval; CLSFV, centroid level subcutaneous fat volume; ECOG, Eastern Cooperative Oncology Group; HR, hazard ratio.
Nomogram development
Figure 3 illustrates the development of a nomogram for predicting 1-, 3-, and 5-year OS probabilities in patients with digestive system cancers. The nomogram was constructed using a multivariable Cox regression model (Coxm), which included significant variables selected from LASSO regression, such as clinical stage, ECOG performance status, baseline weight, albumin, and prealbumin levels. The nomogram assigns points to each variable, and the total score is used to estimate the OS probability at different time points (1-, 3-, and 5-year). After including the L3 CLSFV variable in the Coxm2 model, the category NRI value was 0.0768 (95% CI: −0.0768 to 0.128) in the comparison of Coxm2 to Coxm1, while the continuous NRI was 0.0639 (95% CI: −0.0363 to 0.293); IDI value was 0.006 (95% CI: −0.003 to 0.028).
Verification in the training and validation cohorts
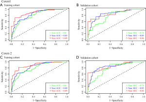
Figure 4 presents the timeROC curves for the Coxm1 and Coxm2 models in both the training and validation cohort, evaluating their predictive performance for OS at 1-, 3-, and 5-year. In the training cohort, the Coxm1 model achieved area under the curve (AUC) values of 0.80 (95% CI: 0.74 to 0.86), 0.83 (95% CI: 0.78 to 0.88), and 0.89 (95% CI: 0.84 to 0.94) for 1-, 3-, and 5-year OS, respectively; the Coxm2 model showed AUC values of 0.80 (95% CI: 0.73 to 0.86), 0.84 (95% CI: 0.79 to 0.89), and 0.89 (95% CI: 0.84 to 0.94) for the same time points in the training cohort. In the validation cohort, the Coxm1 model displayed AUC values of 0.78 (95% CI: 0.68 to 0.87), 0.85 (95% CI: 0.78 to 0.92), and 0.86 (95% CI: 0.78 to 0.94) at the 1-, 3-, and 5-year, respectively; the Coxm2 demonstrated AUC values of 0.79 (95% CI: 0.70 to 0.88), 0.85 (95% CI: 0.77 to 0.92), and 0.86 (95% CI: 0.78 to 0.94) for the same time points in the validation cohort.
Figure 5 shows the time-dependent C-index analysis for the survival prediction models (Coxm1 and Coxm2) in both the training and validation cohorts. The C-index values were calculated at various time points, showing the discrimination ability of the models for OS. In the training cohort, the C-index for Coxm1 and Coxm2 gradually robust over time, reaching a value of approximately 0.80. In the validation cohort, Coxm1 and Coxm2 followed similar trends, with both models showing a gradual robust in C-index values over time.
Figure 6 displays the calibration curves for the survival prediction models (Coxm1 and Coxm2) at 1-, 3-, and 5-year, comparing the predicted survival probabilities with the actual observed outcomes in both the training and validation cohorts. In the training cohort, the calibration curves for Coxm1 and Coxm2 show good agreement between the predicted and actual survival probabilities across all time points, with both models closely following the ideal calibration line (Coxm2 vs. Coxm1: Brier score, 0.166 vs. 0.168). In the validation cohort, the calibration curves also demonstrate that the predicted survival probabilities are consistent with the observed survival probability, with slight deviations indicating that both models maintain high accuracy in predicting OS probability at 1-, 3-, and 5-year. The results show that both models perform well in terms of calibration, with Coxm2 showing marginally better alignment with the ideal line at all time points (Coxm2 vs. Coxm1: Brier score, 0.162 vs. 0.163).
Clinical efficacy analysis
Figure 7 illustrates Kaplan-Meier survival curves from the Coxm2 model, highlighting survival differences between high-risk and low-risk groups, which were defined based on the mean score (mean =258.0889) from the training cohort, in both the training and validation cohorts. The median OS times for the high- and low-risk groups in the training cohort were 17.67 months (95% CI: 16.17–21.47 months) and not reached (NR), respectively. For the validation cohort, the median OS times for the high- and low-risk groups were 15.47 months (95% CI: 11.77–19.90 months) and 89.37 months (95% CI: 58.80–NA months), respectively. Both cohorts showed a notably worse prognosis for the high-risk group compared to the low-risk group (training cohort: HR =4.81; 95% CI: 3.36–6.88; log-rank P<0.001; validation cohort: HR =5.91; 95% CI: 3.67–9.54; log-rank P<0.001). In the training cohort, the OS at 1, 3, and 5 years for the high- and low-risk groups were 67.91%, 26.88%, and 10.01%; and 92.70%, 75.70%, and 59.70%, respectively (long-rank P<0.001). In the validation cohort, the corresponding OS rates for the high- and low-risk groups were 61.40%, 12.87%, and 3.68%; and 92.30%, 75.60%, and 59.40%, respectively (log-rank P<0.001).
Discussion
In this study, we evaluated the prognostic value of abdominal fat distribution in patients with digestive system cancers. Our findings demonstrate that L3 CLSFV, a marker reflecting abdominal fat distribution, is a significant predictor of OS in patients with esophageal, gastric, colorectal, hepatobiliary and pancreatic tumors. By incorporating L3 CLSFV into traditional prognostic models, such as the Coxm2, we observed a notable improvement in the model’s discriminatory ability, as evidenced by an increase in the C-index and better separation of survival curves. Furthermore, the inclusion of L3 CLSFV enhanced the model’s NRI and IDI values, highlighting the potential of this variable in improving survival prediction. These results emphasize that incorporating L3 CLSFV into the prediction model for digestive system tumors improve the performance of model, offering more personalized and accurate survival predictions for cancer patients.
Our study’s findings are consistent with several previous studies that have explored the prognostic value of body composition in cancer patients. Similar to previous studies, we found that abdominal fat distribution is closely linked to poor outcomes in digestive system cancers (8,9). Visceral fat is known to contribute to a pro-inflammatory state, which can accelerate cancer progression and influence treatment response (11,19). Additionally, our results align with studies showing that integrating body composition metrics, such as the visceral-to-subcutaneous fat ratio and skeletal muscle index, enhances prognostic models (7,20). However, our study differs from some previous studies by focusing specifically on the L3 CLSFV, rather than using general measures of skeletal muscle mass or fat distribution. SFV has been shown to be a reliable and more localized indicator of abdominal fat and inflammation, providing a more detailed and potentially more accurate reflection of the patient’s metabolic state (21). Furthermore, our study is the first to demonstrate the improvement in model performance by incorporating L3 CLSFV, as evidenced by improvements in NRI and IDI values, which have not always been emphasized in prior studies. These findings underscore the clinical relevance of L3 CLSFV in enhancing prognostic accuracy, complementing traditional clinical variables, and offering a more personalized approach to cancer prognosis.
One of the key strengths of our study lies in the use of advanced imaging techniques to assess body composition, particularly the application of L3 CLSFV. Unlike many previous studies that primarily focused on simple clinical markers or global assessments of body composition (1,22), we employed CT scans to precisely quantify abdominal fat distribution and skeletal muscle mass at the L3 vertebral level. This approach is particularly valuable as the L3 level has been shown to correlate well with overall body composition, offering a reliable and reproducible measure of visceral and subcutaneous fat, as well as muscle mass (23-26). Moreover, we observed an enhancement in the NRI, which underscores the value of these statistical measures in assessing the clinical relevance of adding new body composition metric to survival models. These findings highlight the importance of refining traditional prognostic models by integrating advanced imaging-based markers, offering clinicians a more precise tool for personalized patient care.
Despite the valuable insights provided by our study, several limitations must be acknowledged. Firstly, the retrospective nature of the study limits the ability to establish causality between body composition and survival outcomes. Secondly, the reliance on a single imaging modality, namely CT scans at the L3 vertebral level, may not fully capture the systemic distribution of fat and muscle, potentially underestimating the global body composition effect on cancer prognosis. Additionally, the sample size was relatively small, which may affect the generalizability of the results, particularly in specific subgroups of cancer types. Furthermore, we did not account for other important variables such as physical activity, dietary factors, or genetic predispositions, all of which can influence body composition and cancer progression (27). Lastly, while the use of L3 CLSFV as a marker of abdominal fat distribution is promising, it still requires further validation across larger and more diverse patient cohorts. Future studies should consider prospective designs to confirm causality, incorporate multiple imaging levels and modalities [e.g., total body CT, magnetic resonance imaging (MRI)] for a more comprehensive body composition assessment, expand the sample size and include various cancer types for better generalizability, explore the impact of lifestyle factors such as exercise and diet on body composition and cancer outcomes, and investigate the potential of combining L3 CLSFV with other biomarkers to improve the predictive accuracy of prognostic models.
Conclusions
In conclusion, this study highlights the potential of L3 CLSFV as a valuable CT indicator in predicting survival outcomes for digestive system cancer patients. Combining body composition analysis with emerging biomarkers can enhance predictive accuracy, offer more personalized treatment strategies and ultimately improve patient care in cancer management. While our findings are promising, further research is needed to validate these results across larger and more diverse populations. Future studies should also explore the integration of additional body composition metrics and clinical factors, such as physical activity and diet, to improve prognostic models.
Acknowledgments
We would like to thank the Oncology Key Discipline Cluster at Taizhou Cancer Hospital for their support and assistance.
Footnote
Reporting Checklist: The authors have completed the TRIPOD reporting checklist. Available at https://jgo.amegroups.com/article/view/10.21037/jgo-2025-aw-834/rc
Data Sharing Statement: Available at https://jgo.amegroups.com/article/view/10.21037/jgo-2025-aw-834/dss
Peer Review File: Available at https://jgo.amegroups.com/article/view/10.21037/jgo-2025-aw-834/prf
Funding: This work was supported by
Conflicts of Interest: All authors have completed the ICMJE uniform disclosure form (available at https://jgo.amegroups.com/article/view/10.21037/jgo-2025-aw-834/coif). The authors have no conflicts of interest to declare.
Ethical Statement: The authors are accountable for all aspects of the work in ensuring that questions related to the accuracy or integrity of any part of the work are appropriately investigated and resolved. The study was conducted in accordance with the Declaration of Helsinki and its subsequent amendments. The study was approved by the Ethics Committee of Taizhou Cancer Hospital (IRB- [2020] NO.1). Because this was a retrospective study, all patients were exempted from providing informed consent for the study. Patient anonymity was ensured by de-identifying personal data.
Open Access Statement: This is an Open Access article distributed in accordance with the Creative Commons Attribution-NonCommercial-NoDerivs 4.0 International License (CC BY-NC-ND 4.0), which permits the non-commercial replication and distribution of the article with the strict proviso that no changes or edits are made and the original work is properly cited (including links to both the formal publication through the relevant DOI and the license). See: https://creativecommons.org/licenses/by-nc-nd/4.0/.
References
- Zheng L, Yu QQ, Ruan WB, et al. A Prognostic Model Based on Nutritional Indexes for Patients With Pan-Cancer: A Real-World Cohort Study. Cancer Rep (Hoboken) 2024;7:e2121. [Crossref] [PubMed]
- Ma X, Jiang X, Guo H, et al. Using a nomogram based on the controlling nutritional status score to predict prognosis after surgery in patients with resectable gastric cancer. BMC Gastroenterol 2025;25:180. [Crossref] [PubMed]
- Xue JS, Maimaitiming N, Zhang BL, et al. Prognostic analysis of patients with CRLM based on CRS score: a single-center retrospective study. BMC Cancer 2025;25:718. [Crossref] [PubMed]
- Casirati A, Vandoni G, Della Valle S, et al. Nutritional status and body composition assessment in patients with a new diagnosis of advanced solid tumour: Exploratory comparison of computed tomography and bioelectrical impedance analysis. Clin Nutr 2021;40:1268-73. [Crossref] [PubMed]
- Wang MD, Duan FF, Hua X, et al. A Novel Albumin-Related Nutrition Biomarker Predicts Breast Cancer Prognosis in Neoadjuvant Chemotherapy: A Two-Center Cohort Study. Nutrients 2023;15:4292. [Crossref] [PubMed]
- Xie H, Ruan G, Ge Y, et al. Inflammatory burden as a prognostic biomarker for cancer. Clin Nutr 2022;41:1236-43. [Crossref] [PubMed]
- Brown LR, Soupashi M, Yule MS, et al. Comparison Between Single- and Multi-slice Computed Tomography Body Composition Analysis in Patients With Oesophagogastric Cancer. J Cachexia Sarcopenia Muscle 2025;16:e13673. [Crossref] [PubMed]
- Ma M, Luo M, Liu Q, et al. Influence of abdominal fat distribution and inflammatory status on post-operative prognosis in non-small cell lung cancer patients: a retrospective cohort study. J Cancer Res Clin Oncol 2024;150:111. [Crossref] [PubMed]
- Bilski J, Pinkas M, Wojcik-Grzybek D, et al. Role of Obesity, Physical Exercise, Adipose Tissue-Skeletal Muscle Crosstalk and Molecular Advances in Barrett’s Esophagus and Esophageal Adenocarcinoma. Int J Mol Sci 2022;23:3942. [Crossref] [PubMed]
- Zeng Q, Wang L, Dong S, et al. CT-derived abdominal adiposity: Distributions and better predictive ability than BMI in a nationwide study of 59,429 adults in China. Metabolism 2021;115:154456. [Crossref] [PubMed]
- Fleming CA, O’Connell EP, Kavanagh RG, et al. Body Composition, Inflammation, and 5-Year Outcomes in Colon Cancer. JAMA Netw Open 2021;4:e2115274. [Crossref] [PubMed]
- Frühbeck G, Criado S, Gómez-Ambrosi J, et al. Increased IL- 36γ in visceral adipose tissue as a key mediator of obesity-driven inflammation in colon cancer. J Mol Med (Berl) 2025;103:699-711. [Crossref] [PubMed]
- Li XT, Tang L, Chen Y, et al. Visceral and subcutaneous fat as new independent predictive factors of survival in locally advanced gastric carcinoma patients treated with neo-adjuvant chemotherapy. J Cancer Res Clin Oncol 2015;141:1237-47. [Crossref] [PubMed]
- Sun D, Yin H, Liu X, et al. Elevated 18F-FDG uptake in subcutaneous adipose tissue correlates negatively with nutritional status and prognostic survival in cachexia patients with gastric cancer. Clin Nutr 2024;43:567-74. [Crossref] [PubMed]
- Alba AC, Agoritsas T, Walsh M, et al. Discrimination and Calibration of Clinical Prediction Models: Users’ Guides to the Medical Literature. JAMA 2017;318:1377-84. [Crossref] [PubMed]
- Li J, Jiang B, Fine JP. Multicategory reclassification statistics for assessing improvements in diagnostic accuracy. Biostatistics 2013;14:382-94. [Crossref] [PubMed]
- Collins GS, Reitsma JB, Altman DG, et al. Transparent reporting of a multivariable prediction model for individual prognosis or diagnosis (TRIPOD): the TRIPOD statement. BMJ 2015;350:g7594. [Crossref] [PubMed]
- Zhou ZR, Wang WW, Li Y, et al. In-depth mining of clinical data: the construction of clinical prediction model with R. Ann Transl Med 2019;7:796. [Crossref] [PubMed]
- Crudele L, Piccinin E, Moschetta A. Visceral Adiposity and Cancer: Role in Pathogenesis and Prognosis. Nutrients 2021;13:2101. [Crossref] [PubMed]
- Xu K, Wang X, Zhou C, et al. Synergic value of 3D CT-derived body composition and triglyceride glucose body mass for survival prognostic modeling in unresectable pancreatic cancer. Front Nutr 2025;12:1499188. [Crossref] [PubMed]
- Lê KA, Mahurkar S, Alderete TL, et al. Subcutaneous adipose tissue macrophage infiltration is associated with hepatic and visceral fat deposition, hyperinsulinemia, and stimulation of NF-κB stress pathway. Diabetes 2011;60:2802-9. [Crossref] [PubMed]
- Giraud P, Bibault JE. Malnutrition and radiation therapy in head and neck cancers, a systematic review on reported definitions and associated factors. Support Care Cancer 2024;33:25. [Crossref] [PubMed]
- Noumura Y, Kamishima T, Sutherland K, et al. Visceral adipose tissue area measurement at a single level: can it represent visceral adipose tissue volume? Br J Radiol 2017;90:20170253. [Crossref] [PubMed]
- Schweitzer L, Geisler C, Pourhassan M, et al. What is the best reference site for a single MRI slice to assess whole-body skeletal muscle and adipose tissue volumes in healthy adults? Am J Clin Nutr 2015;102:58-65. [Crossref] [PubMed]
- Yip C, Dinkel C, Mahajan A, et al. Imaging body composition in cancer patients: visceral obesity, sarcopenia and sarcopenic obesity may impact on clinical outcome. Insights Imaging 2015;6:489-97. [Crossref] [PubMed]
- Cheng X, Zhang Y, Wang C, et al. The optimal anatomic site for a single slice to estimate the total volume of visceral adipose tissue by using the quantitative computed tomography (QCT) in Chinese population. Eur J Clin Nutr 2018;72:1567-75. [Crossref] [PubMed]
- Wiseman M. The second World Cancer Research Fund/American Institute for Cancer Research expert report. Food, nutrition, physical activity, and the prevention of cancer: a global perspective. Proc Nutr Soc 2008;67:253-6. [Crossref] [PubMed]

