Predicting the prognosis of hepatocellular carcinoma after curative resection using a nomogram based on the ratio of prealbumin to platelet distribution width
Highlight box
Key findings
• In 205 hepatocellular carcinoma (HCC) patients after radical resection, the optimal preoperative prealbumin (PA) to platelet distribution width (PDW) ratio (PPDWR) cutoff was 14.514 (sensitivity 88.5%, specificity 45.1%). Low PPDWR was an independent risk factor for poor overall survival (OS) [hazard ratio (HR) =4.017, P=0.001] and recurrence-free survival (RFS) (HR =1.701, P=0.055). High-PPDWR patients had better OS/RFS. PPDWR-based nomograms [with alpha-fetoprotein (AFP), China Liver Cancer Staging (CNLC) stage] showed good accuracy (1–3-year OS/RFS area under the curves: 0.631–0.777, C-indices: 0.626–0.769).
What is known and what is new?
• HCC has high recurrence; 5-year survival post-resection is <50%. AFP has poor sensitivity/specificity; Barcelona Clinic Liver Cancer/CNLC lack individual risk granularity. PA (liver/nutrition) and PDW (platelet activation/inflammation) independently predict outcomes, but not their ratio.
• This is the first validation of PPDWR as a synergistic prognostic marker. PPDWR-based nomograms offer individualized predictions. It identifies high-risk patients, overcoming single-marker/staging limitations.
What is the implication, and what should change now?
• PPDWR is low-cost, accessible for risk stratification. Need multicenter validation, Child-Pugh/model for end-stage liver disease subgroup analysis, and integrating PPDWR into preoperative assessment to guide surveillance/therapy.
Introduction
Primary liver cancer (PLC), one of the most prevalent malignancies globally, has been witnessing a continuous upward trend in incidence. This type of cancer often remains undetected until the advanced stage, significantly increasing the difficulty of treatment. According to the latest data from the International Agency for Research on Cancer in 2020, PLC ranked sixth in incidence and third in mortality among common malignancies worldwide, making it the third leading cause of cancer-related deaths globally (1) In China, PLC ranks fourth in incidence and second in mortality among malignancies (2). Hepatocellular carcinoma (HCC), the predominant subtype of PLC, represents a significant global health burden, with over 900,000 new cases and 830,000 deaths annually worldwide (3). Notably, China alone accounts for 54% of the global incidence of HCC, which is largely driven by hepatitis B virus (HBV) infection and cirrhosis (4). Despite advancements in surgical techniques and systemic therapies, long-term survival remains suboptimal due to high postoperative recurrence rates, with 5-year survival rates rarely exceeding 50%, even after curative resection (5,6). Accurate prognostic stratification is critical for optimizing surveillance strategies and tailoring adjuvant therapies. Current models predominantly rely on conventional biomarkers such as alpha-fetoprotein (AFP) and des-γ-carboxyprothrombin (DCP), yet their diagnostic limitations are well documented: AFP exhibits suboptimal sensitivity (60–70%) and specificity (50–60%) in early-stage HCC (7,8), whereas complex imaging-based staging systems [e.g., Barcelona Clinic Liver Cancer (BCLC), China Liver Cancer Staging (CNLC)] lack granularity for individualized risk prediction (9). Thus, there is an urgent need for novel, cost-effective biomarkers that synergistically capture tumor biology and host systemic status to refine prognostic accuracy.
Emerging evidence highlights the prognostic relevance of preoperative nutritional and inflammatory indicators in HCC. Prealbumin (PA), a hepatic synthetic protein with a short half-life (2–3 days), serves as a sensitive marker of nutritional status and liver function. Hypoprealbuminemia is correlated with postoperative complications and reduced survival, reflecting both impaired hepatic synthesis and systemic inflammation (10). Conversely, the platelet distribution width (PDW), a measure of platelet size heterogeneity, reflects platelet activation and has been implicated in tumor angiogenesis and metastasis. Elevated PDW is associated with advanced HCC stages and poor prognosis, potentially driven by cell interactions that facilitate immune evasion and microenvironment remodeling (11,12). While PA and PDW independently predict outcomes, their combined ratio (PPDWR) may integrate complementary pathways—nutritional reserve and platelet-mediated protumorigenic activity—offering superior prognostic granularity. However, no studies to date have explored the clinical utility of PPDWR in HCC prognosis, leaving this synergistic biomarker underexplored.
Nomograms, as visualized prediction tools, have gained prominence in oncology for translating multivariate risk factors into individualized survival estimates. Compared with conventional staging systems, nomograms enhance clinical utility by quantifying risk contributions from diverse variables (e.g., biomarkers and tumor characteristics) and providing user-friendly graphical outputs (13,14). Despite their advantages, existing HCC nomograms predominantly incorporate traditional parameters (e.g., tumor size, AFP) or complex molecular signatures, overlooking accessible serum biomarkers such as PPDWR (15). To address this gap, we developed and validated the first PPDWR-based nomogram to predict postoperative overall survival (OS) and recurrence-free survival (RFS) in HCC patients undergoing curative resection. By leveraging preoperative PPDWR alongside established clinicopathological factors, this model aims to empower clinicians with a practical tool for risk stratification and personalized therapeutic decision-making. We present this article in accordance with the TRIPOD reporting checklist (available at https://jgo.amegroups.com/article/view/10.21037/jgo-2025-404/rc).
Methods
Study design
This was a single-center, retrospective cohort study.
Study population
Data collection
Clinical data were collected from patients who underwent radical resection for HCC at The Affiliated Hospital of Southwest Medical University between January 2016 and August 2021. Initially, 301 cases were screened.
Inclusion criteria
(I) Postoperative pathological examination confirmed HCC; (II) no prior transarterial chemoembolization (TACE), ablation, or other preoperative treatments; (III) first-time radical tumor resection; and (IV) complete medical records and successful follow-up.
Exclusion criteria
(I) Use of drugs with a significant impact on platelet count (PLT) and PDW levels within one week before blood collection; (II) recent history of hemorrhagic diseases or severe trauma; (III) coexisting hypersplenism; and (IV) other coexisting malignancies.
Number of participants included
Based on the above inclusion and exclusion criteria, a total of 205 patients were included in the study, consisting of 176 males and 29 females, with a mean age of 53 years (ranging from 26 to 84 years).
Ethical approval
This study was conducted in accordance with the Declaration of Helsinki and its subsequent amendments. This study was approved by the Ethics Committee of The Affiliated Hospital of Southwest Medical University (approval No. KY2024076). Patients’ consent was obtained.
Clinical data
Clinical data collection
Preoperative variables: age, sex, PDW, PA, γ-glutamyltransferase (GGT), alkaline phosphatase (ALP), aspartate aminotransferase (AST), alanine aminotransferase (ALT), albumin (Alb), neutrophil count (NEU), PLT, total bilirubin (TBil), AFP, CNLC, BCLC staging, classification, and the coexistence of chronic hepatitis B, diabetes, hypertension, and liver cirrhosis.
Intraoperative details: surgical approach (open or laparoscopic), specific location and extent of resection, detailed surgical duration, accurate measurement and recording of intraoperative blood loss, and whether blood transfusion was performed during the operation.
Complications: occurrence of complications such as abdominal hemorrhage, wound infection, and pulmonary infection during the postoperative hospital stay.
Pathological reports: tumor type, size, number, and degree of tumor differentiation.
Postoperative treatments: continuation of antiviral therapy, use of targeted therapy or immunotherapy after surgery.
The PPDWR was calculated using the following formula: PPDWR = [PA (mg/L)]/[PDW (%)].
Detection methods
On the day of admission or the next day, 5 mL of venous blood was collected from the cubital vein for liver function and routine blood tests.
Imaging assessment
Two professional radiologists analyzed the imaging scans and prepared formal reports, detailing tumor characteristics such as number, distribution, and size.
Postoperative complications
Potential postoperative symptoms included abdominal bleeding, bile leakage, gastrointestinal stress ulcers, abdominal fluid accumulation, pulmonary infection, pleural effusion, and wound infection. The Clavien-Dindo classification system (16) was used to grade postoperative complications into five levels (I, II, III, IV, and V). General complications were defined as those not requiring surgical intervention, whereas severe complications were those necessitating surgical or endoscopic intervention. Specifically, complications of grades I and II were considered general, and those of grade III and above were classified as severe.
Treatment process
Preoperative preparation
All patients with liver cancer need to meet the imaging and serological criteria for clinical diagnosis. After patients’ consent was obtained, surgical contraindications were excluded, and surgical preparations were performed. Surgical treatment was carried out in an appropriate time frame.
Surgical methods
All patients achieved complete resection of the tumor visible to the naked eye, and the surgical resection margin was greater than 1 cm.
Postoperative treatment
Symptom treatments such as continuous oxygen inhalation, fluid replacement, liver protection and enzyme reduction, anti-infection, nutritional support, maintenance of electrolyte balance, prevention of deep vein thrombosis, and pulmonary function exercise were carried out.
Postoperative follow-up
Follow-up method
Patients were followed up at least once every 3 months after the operation. The follow-up was carried out by means of telephone and outpatient follow-up to obtain the patients’ survival status and survival time. The patients’ information was obtained from the information registered in the outpatient department and medical records.
Follow-up time
The first day after the operation was the starting day of the follow-up, and the follow-up lasted until April 15, 2023. Follow-up was carried out once every 3 months within the first year after the operation and once every 6 months after the first year.
Follow-up content
Transaminase, Alb, AFP, and abdominal ultrasound or abdominal computed tomography (CT) examinations were performed. For patients suspected of having recurrence or metastasis of liver cancer, further enhanced abdominal CT or magnetic resonance imaging (MRI) examination or other systemic examinations were carried out to confirm the diagnosis.
OS and RFS
OS referred to the time span from the day when the operation ended to the last follow-up date or the date of the patient’s death. RFS referred to the time span from the end of the operation to the date of the first tumor recurrence/metastasis or death or to the last follow-up cutoff date, in months.
Statistical analysis
The data were processed and statistically analyzed using SPSS 26.0 software and R language R 4.2 (rms, tidyverse, survival, ROC, and glmnet packages). Continuous variables are usually expressed as the mean plus or minus standard deviation, whereas categorical data are presented as the number of cases and corresponding percentages. The data were divided into a training set and a validation set by the random sampling method. The area under the curve (AUC) of the PPDWR was calculated through the receiver operating characteristic (ROC) curve of the OS of patients in the training set, the optimal cutoff value was found, and its sensitivity and specificity were evaluated. The training set was grouped according to the optimal cutoff value of PPDWR. When the differences between the PPDWR groups were compared, the Chi-squared test or Yates’ correction probability method was used; the method was used to draw survival curves of the OS rate and RFS rate of the included variables. A logistic model was used to analyze the independent influencing factors of postoperative complications. Least absolute shrinkage and selection operator (LASSO)-Cox regression was used to screen the variables of the prognostic factors affecting patients with HCC, and Cox regression univariate and multivariate model analysis was carried out to identify the independent risk factors; at the same time, the Cox regression model was used to construct nomograms of the 1-, 2-, and 3-year OS and RFS rates on the basis of the PPDWR. The time-dependent ROC curve, concordance index (C-index) and decision curve analysis (DCA) were used for survival prediction evaluation. P<0.05 indicated a statistically significant difference.
Results
General patient characteristics
A total of 301 clinical cases of patients who underwent radical resection for HCC at The Affiliated Hospital of Southwest Medical University from January 2016 to August 2021 were initially collected. Among them, 25 patients were excluded because of trauma, combined tumor rupture, or hypersplenism; 16 patients were excluded because of coexisting other malignancies; 18 patients were excluded owing to incomplete medical records; 20 patients were excluded because of preoperative use of antiplatelet drugs; and 17 patients were excluded because of postoperative loss to follow-up. Ultimately, 205 patients meeting the inclusion criteria were enrolled in the study (Figure 1).
Division of training set and validation set and their relationships with clinical characteristics
The 205 patients were randomly divided into a training set (123 cases) and a validation set (82 cases) at a ratio of 6:4 using the random sampling method. The baseline demographic characteristics of the patients in the two groups are presented in Table 1.
Table 1
| Characteristics | Group | P† | ||
|---|---|---|---|---|
| Overall (n=205) | Training set (n=123) | Validation set (n=83) | ||
| Sex | 0.85 | |||
| Female | 29 (14.1) | 16 (13.0) | 13 (15.9) | |
| Male | 176 (85.9) | 107 (87.0) | 69 (84.1) | |
| Age (years) | 0.33 | |||
| ≤60 | 142 (69.3) | 90 (73.2) | 52 (63.4) | |
| >60 | 63 (30.7) | 33 (26.8) | 30 (36.6) | |
| Hypertension | 0.13 | |||
| Yes | 175 (85.4) | 110 (89.4) | 65 (79.3) | |
| No | 30 (14.6) | 13 (10.6) | 17 (20.7) | |
| Diabetes | 0.06 | |||
| Yes | 183 (89.3) | 115 (93.5) | 68 (82.9) | |
| No | 22 (10.7) | 8 (6.5) | 14 (17.1) | |
| Portal hypertension | 0.86 | |||
| Yes | 174 (84.9) | 103 (83.7) | 71 (86.6) | |
| No | 31 (15.1) | 20 (16.3) | 11 (13.4) | |
| Liver cirrhosis | 0.76 | |||
| Yes | 64 (31.2) | 36 (29.3) | 28 (34.1) | |
| No | 141 (68.8) | 87 (70.7) | 54 (65.9) | |
| Hepatitis | 0.84 | |||
| Yes | 36 (17.6) | 20 (16.3) | 16 (19.5) | |
| No | 169 (82.4) | 103 (83.7) | 66 (80.5) | |
| ALT (U/L) | 0.09 | |||
| ≤40 | 137 (66.8) | 75 (61) | 62 (75.6) | |
| >40 | 68 (33.2) | 48 (39) | 20 (24.4) | |
| AST (U/L) | 0.49 | |||
| ≤35 | 112 (54.6) | 63 (51.2) | 49 (59.8) | |
| >35 | 93 (45.4) | 60 (48.8) | 33 (40.2) | |
| TBil (μmol/L) | 0.65 | |||
| <34.2 | 200 (97.6) | 119 (96.7) | 81 (98.8) | |
| ≥34.2 | 5 (2.4) | 4 (3.3) | 1 (1.2) | |
| Alb (g/L) | 0.98 | |||
| ≥40 | 131 (63.9) | 45 (36.6) | 29 (35.4) | |
| <40 | 74 (36.1) | 78 (63.4) | 53 (64.6) | |
| GGT (U/L) | 0.92 | |||
| ≤45 | 81 (39.5) | 50 (40.7) | 31 (37.8) | |
| >45 | 124 (60.5) | 73 (59.3) | 51 (62.2) | |
| ALP (U/L) | 0.95 | |||
| ≤135 | 173 (84.4) | 103 (83.7) | 70 (85.4) | |
| >135 | 32 (15.6) | 20 (16.3) | 12 (14.6) | |
| NEU (109/L) | 0.40 | |||
| ≤6.3 | 191 (93.2) | 117 (95.1) | 74 (90.2) | |
| >6.3 | 14 (6.8) | 6 (4.9) | 8 (9.8) | |
| PLT (109/L) | 0.98 | |||
| 125–350 | 135 (65.9) | 80 (65.0) | 55 (67.1) | |
| <125 | 66 (32.2) | 40 (32.5) | 26 (31.7) | |
| >350 | 4 (2.0) | 3 (2.4) | 1 (1.2) | |
| AFP (ng/mL) | 0.99 | |||
| <400 | 136 (66.3) | 82 (66.7) | 54 (65.9) | |
| ≥400 | 69 (33.7) | 41 (33.3) | 28 (34.1) | |
| Child classification | 0.96 | |||
| A | 203 (99.0) | 122 (99.2) | 81 (98.8) | |
| B | 2 (1.0) | 1 (0.8) | 1 (1.2) | |
| Tumor number | 0.99 | |||
| Single | 179 (87.3) | 107 (87.0) | 72 (87.8) | |
| Multiple | 26 (12.7) | 16 (13.0) | 10 (12.2) | |
| Maximum tumor diameter (cm) | 0.99 | |||
| ≤5 | 126 (61.5) | 75 (61.0) | 51 (62.2) | |
| >5 | 79 (38.5) | 48 (39.0) | 31 (37.8) | |
| BCLC classification | 0.98 | |||
| O | 19 (9.3) | 96 (78.0) | 67 (81.7) | |
| A | 163 (79.5) | 12 (9.8) | 7 (8.5) | |
| B | 23 (11.2) | 15 (12.2) | 8 (9.8) | |
| CNLC stage | 0.70 | |||
| Stage I + II | 189 (92.2) | 115 (93.5) | 74 (90.2) | |
| Stage III | 16 (7.8) | 8 (6.5) | 8 (9.8) | |
| Surgical approach | 0.75 | |||
| Laparoscopic | 56 (27.3) | 36 (29.3) | 20 (24.4) | |
| Open | 149 (72.7) | 87 (70.7) | 62 (75.6) | |
| Resection range | 0.75 | |||
| <3 liver segments | 170 (82.9) | 100 (81.3) | 70 (85.4) | |
| ≥3 liver segments | 35 (17.1) | 23 (18.7) | 12 (14.6) | |
| Operation time (min) | 0.85 | |||
| <180 | 105 (51.2) | 61 (49.6) | 44 (53.7) | |
| ≥180 | 100 (48.8) | 62 (50.4) | 38 (46.3) | |
| Intra-operative blood loss (mL) | 0.99 | |||
| <500 | 119 (58.0) | 72 (58.5) | 47 (57.3) | |
| ≥500 | 86 (42.0) | 51 (41.5) | 35 (42.7) | |
| Intra-operative blood transfusion | >0.99 | |||
| No | 160 (78.0) | 96 (78.0) | 64 (78.0) | |
| Yes | 45 (22.0) | 27 (22.0) | 18 (22.0) | |
| Postoperative complication | 0.19 | |||
| No | 78 (38.0) | 53 (43.1) | 25 (30.5) | |
| Yes | 127 (62.0) | 70 (56.9) | 57 (69.5) | |
| Postoperative complications | 0.14 | |||
| No complication | 78 (38.0) | 53 (43.1) | 25 (30.5) | |
| General complication | 113 (55.1) | 59 (48.0) | 54 (65.9) | |
| Several complications | 14 (6.8) | 11 (8.9) | 3 (3.7) | |
| Postoperative interventional treatment | 0.04 | |||
| Yes | 76 (37.1) | 86 (69.9) | 43 (52.4) | |
| No | 129 (62.9) | 37 (30.1) | 39 (47.6) | |
| Postoperative continuous antiviral treatment | 0.49 | |||
| Yes | 107 (52.2) | 63 (51.2) | 35 (42.7) | |
| No | 98 (47.8) | 60 (48.8) | 47 (57.3) | |
| Postoperative targeted or immunotherapy | 0.80 | |||
| Yes | 68 (33.2) | 80 (65.0) | 57 (69.5) | |
| No | 137 (66.8) | 43 (35.0) | 25 (30.5) | |
| Tumor differentiation | >0.99 | |||
| High | 43 (21.0) | 12 (9.8) | 9 (11.0) | |
| Medium | 141 (68.8) | 86 (69.9) | 55 (67.1) | |
| Low | 21 (10.2) | 25 (20.3) | 18 (22) | |
| Tumor capsule | 0.50 | |||
| No | 63 (30.7) | 34 (27.6) | 29 (35.4) | |
| Yes | 142 (69.3) | 89 (72.4) | 53 (64.6) | |
Data are presented as number (%). †, Pearson’s Chi-squared test; Yates’ correction. AFP, alpha-fetoprotein; Alb, albumin; ALP, alkaline phosphatase; ALT, alanine aminotransferase; AST, aspartate aminotransferase; BCLC, Barcelona Clinic Liver Cancer; CNLC, China Liver Cancer Staging; GGT, γ-glutamyltransferase; NEU, neutrophil count; PLT, platelet count; TBil, total bilirubin.
Confirmation of the optimal cutoff value of preoperative PPDWR
Based on the preoperative PPDWR values and overall OS of the patients, a ROC curve was constructed within the training set. The results (Figure 2) showed that the AUC of PPDWR was 0.722. Calculated according to the Youden’s index, the corresponding optimal cutoff value of preoperative PPDWR was 14.514. The sensitivity and specificity of this cutoff value were 88.5% and 45.1%, respectively.
Relationship between PPDWR and postoperative clinical characteristics of HCC patients
Based on the optimal cutoff value of PPDWR, the 123 patients in the training set were divided into a low- and a high-PPDWR group. The relationship between PPDWR and the characteristics of the clinical baseline data of HCC patients is shown in Table 2. It was found that PPDWR was closely associated with the levels of Alb (P=0.001), liver cirrhosis (P<0.001). However, there were no statistically significant differences between PPDWR and other characteristics of the clinical case data (P>0.05).
Table 2
| Characteristics | PPDWR | P† | ||
|---|---|---|---|---|
| Overall (n=123) | High PPDWR (n=38) | Low PPDWR (n=85) | ||
| Sex | 0.23 | |||
| Female | 107 (87.0) | 36 (94.7) | 71 (83.5) | |
| Male | 16 (13.0) | 2 (5.3) | 14 (16.5) | |
| Age (years) | 0.18 | |||
| ≤60 | 90 (73.2) | 32 (84.2) | 58 (68.2) | |
| >60 | 33 (26.8) | 6 (15.8) | 27 (31.8) | |
| Hypertension | 0.81 | |||
| No | 13 (10.6) | 3 (7.9) | 10 (11.8) | |
| Yes | 110 (89.4) | 35 (92.1) | 75 (88.2) | |
| Diabetes | 0.93 | |||
| No | 115 (93.5) | 36 (94.7) | 79 (92.9) | |
| Yes | 8 (6.5) | 2 (5.3) | 6 (7.1) | |
| Portal hypertension | 0.24 | |||
| No | 103 (83.7) | 35 (92.1) | 68 (80.0) | |
| Yes | 20 (16.3) | 3 (7.9) | 17 (20.0) | |
| Liver cirrhosis | <0.001 | |||
| No | 87 (70.7) | 17 (44.7) | 70 (82.4) | |
| Yes | 36 (29.3) | 21 (55.3) | 15 (17.6) | |
| Hepatitis | 0.63 | |||
| No | 103 (83.7) | 30 (78.9) | 73 (85.9) | |
| Yes | 20 (16.3) | 8 (21.1) | 12 (14.1) | |
| ALT (U/L) | 0.95 | |||
| ≤40 | 75 (61.0) | 24 (63.2) | 51 (60.0) | |
| >40 | 48 (39.0) | 14 (36.8) | 34 (40.0) | |
| AST (U/L) | 0.84 | |||
| ≤35 | 63 (51.2) | 21 (55.3) | 42 (49.4) | |
| >35 | 60 (48.8) | 17 (44.7) | 43 (50.6) | |
| TBil (μmol/L) | 0.97 | |||
| <34.2 | 119 (96.7) | 37 (97.4) | 82 (96.5) | |
| ≥34.2 | 4 (3.3) | 1 (2.6) | 3 (3.5) | |
| Alb (g/L) | 0.001 | |||
| ≥40 | 78 (63.4) | 33 (86.8) | 45 (52.9) | |
| <40 | 45 (36.6) | 5 (13.2) | 40 (47.1) | |
| GGT (U/L) | 0.09 | |||
| ≤45 | 50 (40.7) | 21 (55.3) | 29 (34.1) | |
| >45 | 73 (59.3) | 17 (44.7) | 56 (65.9) | |
| ALP (U/L) | >0.99 | |||
| ≤135 | 103 (83.7) | 32 (84.2) | 71 (83.5) | |
| >135 | 20 (16.3) | 6 (15.8) | 14 (16.5) | |
| NEU (109/L) | 0.15 | |||
| ≤6.3 | 117 (95.1) | 34 (89.5) | 83 (97.6) | |
| >6.3 | 6 (4.9) | 4 (10.5) | 2 (2.4) | |
| PLT (109/L) | 0.29 | |||
| 125–350 | 80 (65.0) | 30 (78.9) | 50 (58.8) | |
| <125 | 40 (32.5) | 7 (18.4) | 33 (38.8) | |
| >350 | 3 (2.4) | 1 (2.6) | 2 (2.4) | |
| AFP (ng/mL) | 0.79 | |||
| <400 | 82 (66.7) | 27 (71.1) | 55 (64.7) | |
| ≥400 | 41 (33.3) | 11 (28.9) | 30 (35.3) | |
| Child classification | 0.80 | |||
| A | 122 (99.2) | 38 (100.0) | 84 (98.8) | |
| B | 1 (0.8) | 0 (0.0) | 1 (1.2) | |
| Tumor number | >0.99 | |||
| single | 107 (87.0) | 33 (86.8) | 74 (87.1) | |
| Multiple | 16 (13.0) | 5 (13.2) | 11 (12.9) | |
| Maximum tumor diameter (cm) | >0.99 | |||
| ≤5 | 75 (61.0) | 23 (60.5) | 52 (61.2) | |
| >5 | 48 (39.0) | 15 (39.5) | 33 (38.8) | |
| BCLC classification | 0.94 | |||
| O | 96 (78.0) | 28 (73.7) | 68 (80.0) | |
| A | 15 (12.2) | 5 (13.2) | 10 (11.8) | |
| B | 12 (9.8) | 5 (13.2) | 7 (8.2) | |
| CNLC stage | 0.51 | |||
| Stage I + II | 115 (93.5) | 37 (97.4) | 78 (91.8) | |
| Stage III | 8 (6.5) | 1 (2.6) | 7 (8.2) | |
| Surgical approach | 0.72 | |||
| Laparoscopic | 87 (70.7) | 25 (65.8) | 62 (72.9) | |
| Open | 36 (29.3) | 13 (34.2) | 23 (27.1) | |
| Resection range | >0.99 | |||
| <3 liver segments | 100 (81.3) | 31 (81.6) | 69 (81.2) | |
| ≥3 liver segments | 23 (18.7) | 7 (18.4) | 16 (18.8) | |
| Operation time (min) | >0.99 | |||
| <180 | 61 (49.6) | 19 (50.0) | 42 (49.4) | |
| ≥180 | 62 (50.4) | 19 (50.0) | 43 (50.6) | |
| Intraoperative blood loss (mL) | 0.79 | |||
| <500 | 72 (58.5) | 24 (63.2) | 48 (56.5) | |
| ≥500 | 51 (41.5) | 14 (36.8) | 37 (43.5) | |
| Intraoperative blood transfusion | 0.12 | |||
| No | 96 (78.0) | 34 (89.5) | 62 (72.9) | |
| Yes | 27 (22.0) | 4 (10.5) | 23 (27.1) | |
| Postoperative complication | 0.99 | |||
| No | 70 (56.9) | 22 (57.9) | 48 (56.5) | |
| Yes | 53 (43.1) | 16 (42.1) | 37 (43.5) | |
| Postoperative complications | 0.90 | |||
| No complication | 59 (48.0) | 20 (52.6) | 39 (45.9) | |
| General complication | 53 (43.1) | 16 (42.1) | 37 (43.5) | |
| Severe complication | 11 (8.9) | 2 (5.3) | 9 (10.6) | |
| Postoperative interventional treatment | 0.59 | |||
| Yes | 86 (69.9) | 29 (76.3) | 57 (67.1) | |
| No | 37 (30.1) | 9 (23.7) | 28 (32.9) | |
| Postoperative continuous antiviral treatment | 0.22 | |||
| Yes | 60 (48.8) | 23 (60.5) | 37 (43.5) | |
| No | 63 (51.2) | 15 (39.5) | 48 (56.5) | |
| Postoperative targeted or immunotherapy | 0.65 | |||
| Yes | 80 (65.0) | 27 (71.1) | 53 (62.4) | |
| No | 43 (35.0) | 11 (28.9) | 32 (37.6) | |
| Tumor differentiation degree | 0.62 | |||
| High | 86 (69.9) | 26 (68.4) | 60 (70.6) | |
| Medium | 25 (20.3) | 6 (15.8) | 19 (22.4) | |
| Low | 12 (9.8) | 6 (15.8) | 6 (7.1) | |
| Tumor capsule | 0.81 | |||
| Yes | 89 (72.4) | 26 (68.4) | 63 (74.1) | |
| No | 34 (27.6) | 12 (31.6) | 22 (25.9) | |
Data are presented as number (%). †, Chi-squared test of independence; Yates’ correction. AFP, alpha-fetoprotein; Alb, albumin; ALP, alkaline phosphatase; ALT, alanine aminotransferase; AST, aspartate aminotransferase; BCLC, Barcelona Clinic Liver Cancer; CNLC, China Liver Cancer Staging; GGT, γ-glutamyltransferase; HCC, hepatocellular carcinoma; NEU, neutrophil count; PLT, platelet count; PPDWR, prealbumin to platelet distribution width ratio; TBil, total bilirubin.
Impact of PPDWR OS and RFS of HCC
To investigate the impact of PPDWR on postoperative survival of patients, the Kaplan-Meier method was used to plot the survival curves of OS and RFS of patients, as shown in Figures 3,4. We compared the OS and RFS between the high-PPDWR group and the low-PPDWR group. In the OS analysis, the survival curve of the high-PPDWR group was significantly higher than that of the low-PPDWR group [hazard ratio (HR) =0.247, 95% confidence interval (CI): 0.140–0.438]. In the RFS analysis, the high-PPDWR group also showed a significant survival advantage (HR =1.611, 95% CI: 0.988–2.626). Through the research, it is concluded that patients with high PPDWR can achieve longer OS and RFS compared with those with low PPDWR.
Variable screening and comparison
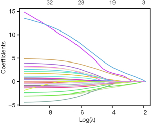
LASSO regression analysis (Figures 5,6) was employed to screen the variables related to the OS of HCC patients. All variables were entered into the LASSO logistic regression model, including age (>60 years), sex, hypertension (present), diabetes (present), portal hypertension (present), liver cirrhosis (present), hepatitis B (present), ALT (>40 U/L), AST (>35 U/L), TBil (≥34.2 µmol/L), Alb (<40 g/L), GGT (>45 U/L), ALP (>135 U/L), NEU (<6.3×109/L), PLT (<125×109/L), PLT (>350×109/L), PPDWR level, AFP (≥400 ng/mL), child classification (class B), maximum tumor diameter (>5 cm), number of tumors (multiple), BCLC classification (stage B), CNLC stage (stage III), surgical approach (open surgery), resection scope (≥3 liver segments), operation time (≥180 min), intraoperative blood loss (≥500 mL), intraoperative blood transfusion (present), occurrence of postoperative complications (yes), postoperative interventional treatment (none), continuous postoperative antiviral treatment (none), other postoperative treatments (targeted or immunotherapy), tumor differentiation degree (poorly differentiated), and tumor capsule (absent). Through 10-fold cross-validation, a total of 6 variables with nonzero coefficients were screened out: PPDWR level, AFP >400 ng/mL, continuous postoperative antiviral treatment (none), age (>60 years), liver cirrhosis (present), tumor differentiation degree (poorly differentiated). After the postoperative variables (continuous postoperative antiviral treatment) were removed, univariate and multivariate Cox regression analysis were performed on the remaining 5 variables. The results revealed that a low PPDWR [HR: 4.02, 95% CI: 1.714–9.416; P=0.001], an AFP level ≥400 ng/mL (HR: 1.83, 95% CI: 1.051–3.186; P=0.03) were independent risk factors for the OS of HCC patients (Table 3).
Table 3
| Characteristics | Total (n) | Univariate analysis | Multivariate analysis | |||
|---|---|---|---|---|---|---|
| HR (95% CI) | P value | HR (95% CI) | P value | |||
| PPDWR | 123 | 0.001 | 0.001 | |||
| ≥14.514 | 38 | Reference | Reference | |||
| <14.514 | 85 | 4.108 (1.753–9.630) | 4.017 (1.714–9.416) | |||
| Age (years) | 123 | 0.74 | ||||
| ≤60 | 90 | Reference | ||||
| >60 | 33 | 0.898 (0.479–1.682) | ||||
| AFP (ng/mL) | 123 | 0.02 | 0.03 | |||
| <400 | 82 | Reference | Reference | |||
| ≥400 | 41 | 1.890 (1.090–3.275) | 1.830 (1.051–3.186) | |||
| Liver cirrhosis | 123 | 0.60 | ||||
| No | 87 | Reference | ||||
| Yes | 36 | 0.845 (0.450–1.585) | ||||
| Tumor differentiation degree | 123 | 0.39 | ||||
| Medium/high | 111 | Reference | ||||
| Low | 12 | 1.461 (0.620–3.444) | ||||
AFP, alpha-fetoprotein; CI, confidence interval; HCC, hepatocellular carcinoma; HR, hazard ratio; OS, overall survival; PPDWR, prealbumin to platelet distribution width ratio.
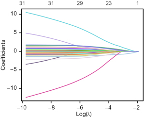
The LASSO regression analysis (Figures 7,8) was conducted to screen the variables related to the RFS of HCC patients. By inputting all the aforementioned variables into the LASSO regression model and performing 10-fold cross-validation, 5 variables with nonzero coefficients were obtained: PPDWR, sex, CNLC stage. Intraoperative blood transfusion, postoperative targeted or immunotherapy.
After postoperative variable (postoperative targeted or immunotherapy) was excluded, univariate and multivariate Cox regression analysis were carried out on the remaining 4 variables. The results demonstrated that a low PPDWR (HR: 1.701, 95% CI: 0.990–2.923; P=0.055), CNLC stage III disease (HR: 7.167, 95% CI: 3.308–15.525; P<0.001), factors for RFS in HCC patients (Table 4).
Table 4
| Characteristics | Total (n) | Univariate analysis | Multivariate analysis | |||
|---|---|---|---|---|---|---|
| HR (95% CI) | P value | HR (95% CI) | P value | |||
| PPDWR | 123 | 0.08 | 0.055 | |||
| ≥14.514 | 38 | Reference | Reference | |||
| <14.514 | 85 | 1.617 (0.944–2.770) | 1.701 (0.990–2.923) | |||
| Sex | 123 | 0.16 | ||||
| Male | 107 | Reference | ||||
| Female | 16 | 1.556 (0.834–2.901) | ||||
| CNLC stage | 123 | <0.001 | <0.001 | |||
| Stage I + II | 115 | Reference | Reference | |||
| Stage III | 8 | 6.723 (3.133–14.425) | 7.167 (3.308–15.525) | |||
| Intraoperative blood transfusion | 123 | 0.32 | ||||
| No | 96 | Reference | ||||
| Yes | 27 | 1.302 (0.771–2.201) | ||||
CI, confidence interval; CNLC, China Liver Cancer Staging; HCC, hepatocellular carcinoma; HR, hazard ratio; PPDWR, prealbumin to platelet distribution width ratio; RFS, recurrence-free survival.
Construction of nomogram models for OS and RFS
On the basis of the results of the LASSO analysis in the training set, nomograms for the postoperative OS and RFS of HCC patients grouped by PPDWR were constructed (Figures 9,10). Through the nomogram, patients can be scored according to the actual situation of their various indicators, which is used to predict the risk of tumor recurrence or death at 1-, 2-, and 3-year. The ROC curve was used for predictive evaluation. In the training set, the areas under the ROC curves (AUCs) of the nomogram for predicting OS at 1-, 2-, and 3-year of survival were 0.774 (95% CI: 0.638–0.911), 0.777 (95% CI: 0.679–0.876), and 0.752 (95% CI: 0.658–0.845), respectively (Figure 11). For the nomogram for predicting RFS, the AUCs of the ROC curves for the 1-, 2-, and 3-year survival rates (Figure 12) were 0.701 (95% CI: 0.586–0.817), 0.682 (95% CI: 0.585–0.779), and 0.665 (95% CI: 0.557–0.772), respectively. On the basis of the nomogram model established in the training set, ROC curve analysis was carried out in the validation set. In the validation set, the AUCs of the ROC curves for predicting OS at 1-, 2-, and 3-year survival by the nomogram (Figure 11) were 0.631 (95% CI: 0.425–0.838), 0.632 (95% CI: 0.487–0.777), and 0.734 (95% CI: 0.610–0.858), respectively. For the nomogram for predicting RFS, the AUCs of the ROC curves for the 1-, 2-, and 3-year survival rates (Figure 12) were 0.726 (95% CI: 0.608–0.844), 0.704 (95% CI: 0.586–0.822), and 0.680 (95% CI: 0.540–0.821), respectively. This study indicates that the nomogram can effectively predict postoperative survival time and the probability of recurrence in HCC patients.
Validation of the nomogram
To validate the predictive performance of this nomogram, we generated the C-indices for OS and RFS in HCC patients (Figures 13,14). In the training set, the C-index of the nomogram for predicting OS at 1-, 2-, and 3-year were 0.769, 0.759 and 0.729, respectively. For the nomogram for predicting RFS, the C-index for the 1-, 2-, and 3-year were 0.699, 0.677 and 0.657. In the validation set, the C-index of the nomogram for predicting OS at 1-, 2-, and 3-year was 0.626, 0.629 and 0.680, respectively. For the nomogram for predicting RFS, the C-index for the 1-, 2-, and 3-year were 0.704, 0.685 and 0.662. Collectively, these C-index plots demonstrate that the nomogram possesses favorable and time-stable predictive power for both OS and RFS in HCC patients, laying a foundation for its potential clinical application in prognosis assessment.
To validate the accuracy of the nomogram, we plotted calibration curves for the OS and RFS of HCC patients (Figures 15-18) to demonstrate the predictive value of the model. In the calibration curve plots, the gray diagonal line represents the model curve under the most ideal conditions, whereas the blue curve represents the actual prediction results. The results indicated that, through internal validation of the model, the nomogram performed well in predicting the 1-, 2-, and 3-year OS and RFS.
To further evaluate its potential clinical application value, DCA was used to assess the clinical decision-making utility and net benefit of the OS and RFS nomograms. The OS nomogram prediction model (blue) demonstrated good decision-making ability for 1-, 2-, and 3-year predictions in both the training set (Figure 19A-19C) and the validation set (Figure 19D-19F). However, due to the relatively small sample size, after the data are randomly divided into training and validation sets, the reduced sample size becomes insufficient to adequately support the prediction of 5-year survival rates or even survival rates for more extended periods in the future. Additionally, for RFS, similar results were obtained in the training set (Figure 20A-20C) and the validation set (Figure 20D-20F). These findings suggest that the OS nomogram may yield a favorable net clinical benefit; however, further validation with multicenter, large-sample data is warranted.
Discussion
This study identified the PPDWR as a novel prognostic biomarker for HCC patients undergoing radical resection. Univariate and multivariate Cox regression analysis revealed that low PPDWR (HR: 4.02, 95% CI: 1.714–9.416; P=0.001), an AFP level ≥400 ng/mL (HR: 1.83, 95% CI: 1.051–3.186; P=0.03), CNLC stage III disease (HR: 7.167, 95% CI: 3.308–15.525; P<0.001) were independent predictors of poor OS and RFS. High-PPDWR patients exhibited significantly better OS and RFS, and the PPDWR-integrated nomograms demonstrated robust predictive accuracy (1–3-year OS/RFS C-indices: 0.626–0.769; AUCs: 0.631–0.777), validated via calibration curves and DCA.
Current staging systems, such as the BCLC and tumor-node-metastasis (TNM) classifications, rely on discrete categories (e.g., tumor size and vascular invasion) to stratify risk (17,18). While these systems provide broad prognostic guidance, they lack granularity in capturing dynamic host-tumor interactions. In contrast, PPDWR integrates continuous variables reflecting both nutritional status (PA) and systemic inflammation (PDW), offering a more holistic assessment of patient-specific risk. For example, PA, with its short half-life (~2 days), serves as a real-time indicator of hepatic synthetic function and nutritional reserve (19), whereas PDW reflects platelet activation driven by tumor-associated inflammation [e.g., interleukin-6 (IL-6), tumor necrosis factor-alpha (TNF-α)] (20,21). This dual-axis approach addresses limitations of conventional markers such as Alb (susceptible to exogenous infusion) or PLT (prone to transient fluctuations).
Unlike absolute PLT—which only quantifies platelets (often reduced in HCC-cirrhosis due to hypersplenism)—PDW measures platelet size heterogeneity. Larger platelets (higher PDW) are immature, hyperactive, and rich in pro-tumor factors [e.g., platelet-derived growth factor (PDGF), vascular endothelial growth factor (VEGF)], driving HCC angiogenesis and metastasis (20). Buergy et al. showed tumor-induced platelet activation (via PDW) correlates with cancer cell migration, while PLT does not (22). PDW avoids cirrhosis-related confounding. Thrombocytopenia (32.2% of the cohort) reflects splenic sequestration, not tumor activity. PDW remains informative: even with low PLT, elevated PDW signals tumor-driven activation (23,24). Yue et al. found low PDW (not PLT) independently predicted worse RFS in cirrhotic HCC patients (23).
Nutritional deficiency (low PA) impairs gut barrier function, triggering endotoxin translocation and activating the TLR4-NF-κB pathway (8,17). This upregulates IL-6/TNF-α, stimulating megakaryocyte differentiation and heterogeneous platelet activation (high PDW) (21). Activated platelets release VEGF/matrix metalloproteinase-9 (MMP-9) via microparticles, promoting HCC angiogenesis and invasion (20). They also form aggregates with tumor cells, shielding them from NK cell clearance (22), worsening recurrence. High PDW further reduces PA: platelet microthrombi lower hepatic perfusion (impairing PA synthesis) and cause gut ischemia (worsening malabsorption), forming a vicious cycle. This dual state (low PA and high PDW) uniquely drives poor survival, explaining PPDWR’s superior prognostic value vs. single markers (23,24).
Unlike genomic or proteomic-based models requiring specialized assays (25,26), PPDWR utilizes routine laboratory parameters, making it accessible even in resource-limited settings. Additionally, while machine learning models show promise in HCC prognosis (27,28), their “black-box” nature limits clinical interpretability. In contrast, our nomogram provides transparent, individualized risk scores.
This study has several limitations. First, its retrospective design may introduce selection bias, despite the use of propensity score matching. Second, the single-center cohort limits the generalizability of the findings. Third, this study did not fully explore the impact of confounding factors related to underlying liver function on the prognostic value of PPDWR.
The PPDWR offers unique synergistic value compared to prognostic nutritional index (PNI), neutrophil-to-lymphocyte ratio (NLR), and systemic immune-inflammation index (SII). Unlike PNI (focused solely on nutrition-immunity), NLR (limited to inflammation-immunity balance), and SII (emphasizing inflammation-coagulation crosstalk but neglecting hepatic function), PPDWR integrates PA and PDW. PA sensitively reflects hepatic synthetic capacity and short-term nutrition, while PDW indicates platelet activation linked to tumor angiogenesis and metastasis. This dual focus captures both liver function-nutrition and inflammatory microenvironment, addressing the one-sidedness of other indicators.
Our findings align with emerging evidence on the prognostic value of composite biomarkers. Tian et al. (29) demonstrated that the SII/ALB predicts outcomes in patients with HBV-related HCC after TACE, whereas others linked PDW to RFS in patients with resected HCC (23,24). However, to our knowledge, no prior study has combined PA and PDW into a unified ratio. The superiority of PPDWR lies in its ability to simultaneously quantify malnutrition (via PA) and pro-thrombotic inflammation (via PDW), both of which are mechanistically implicated in HCC progression. For example, hypoalbuminemia exacerbates immune dysfunction by impairing antigen presentation, whereas elevated PDW promotes tumor angiogenesis and metastasis via platelet-derived growth factors (21). This synergy may explain why PPDWR outperformed the other isolated markers in our cohort.
Comparison of the 1-year postoperative mortality rates between the high-PPDWR group and the low-PPDWR group indicates that radical resection is not futile for patients with HCC. Futility in HCC surgery is defined by short-term mortality over 30% or negligible long-term survival, which differs from our findings. These rates align with the 5–20% global benchmark for 1-year mortality in Child-Pugh A patients undergoing HCC resection, confirming surgery’s viability as a curative option. However, the higher mortality in the low-PPDWR group highlights PPDWR’s value in identifying patients needing rigorous preoperative evaluation (30). This does not justify withholding surgery but mandates shared decision-making, especially given that 68.8% of the cohort had cirrhosis that may worsen surgical morbidity.
PPDWR enables preoperative identification of high-risk patients (low PPDWR) who may benefit from enhanced perioperative care (e.g., nutritional support, prophylactic anticoagulation) to mitigate complications. For early-to-intermediate HCC, low PPDWR justifies discussing non-surgical options [e.g., radiofrequency ablation (RFA), TACE] (31), as these therapies achieve 80–90% 1-year survival—comparable to resection but with lower morbidity. Postoperatively, the nomogram guides surveillance intensity: high-risk patients (nomogram score >150) may need quarterly CT/MRI, while low-risk patients (score <80) can transition to biannual imaging, reducing unnecessary healthcare burden.
Multicenter studies including hepatitis C virus (HCV)/nonalcoholic fatty liver disease (NAFLD)-related HCC and diverse Child-Pugh subgroups are essential to confirm PPDWR’s generalizability. Experimental studies (e.g., platelet-tumor cell co-culture assays) should clarify how PPDWR modulates HCC progression, addressing current gaps in biological understanding. Future large-scale analyses should investigate PPDWR’s prognostic value across Child-Pugh/model for end-stage liver disease (MELD) subgroups and variceal status to disentangle its association with liver disease vs. tumor biology. Incorporate PPDWR into preoperative HCC assessment protocols, with clinician training on nomogram application to ensure translation into routine practice.
Conclusions
This study identified two independent predictors of poor OS in HCC patients after curative resection: low preoperative PPDWR, elevated AFP, low PPDWR, CNLC stage III, independently correlated with reduced RFS. Patients with higher preoperative PPDWR values had significantly better outcomes than did those with low PPDWR values. The developed PPDWR-based nomogram demonstrates robust accuracy in predicting postoperative OS and RFS, offering a practical clinical tool to stratify high-risk patients for recurrence and mortality, thereby guiding tailored postoperative management strategies.
Acknowledgments
None.
Footnote
Reporting Checklist: The authors have completed the TRIPOD reporting checklist. Available at https://jgo.amegroups.com/article/view/10.21037/jgo-2025-404/rc
Data Sharing Statement: Available at https://jgo.amegroups.com/article/view/10.21037/jgo-2025-404/dss
Peer Review File: Available at https://jgo.amegroups.com/article/view/10.21037/jgo-2025-404/prf
Funding: None.
Conflicts of Interest: All authors have completed the ICMJE uniform disclosure form (available at https://jgo.amegroups.com/article/view/10.21037/jgo-2025-404/coif). The authors have no conflicts of interest to declare.
Ethical Statement: The authors are accountable for all aspects of the work in ensuring that questions related to the accuracy or integrity of any part of the work are appropriately investigated and resolved. This study was conducted in accordance with the Declaration of Helsinki and its subsequent amendments. This study has been approved by the Ethics Committee of The Affiliated Hospital of Southwest Medical University (approval No. KY2024076). Patients’ consent was obtained.
Open Access Statement: This is an Open Access article distributed in accordance with the Creative Commons Attribution-NonCommercial-NoDerivs 4.0 International License (CC BY-NC-ND 4.0), which permits the non-commercial replication and distribution of the article with the strict proviso that no changes or edits are made and the original work is properly cited (including links to both the formal publication through the relevant DOI and the license). See: https://creativecommons.org/licenses/by-nc-nd/4.0/.
References
- Siegel RL, Miller KD, Fuchs HE, et al. Cancer statistics, 2022. CA Cancer J Clin 2022;72:7-33. [Crossref] [PubMed]
- Chen W, Zheng R, Baade PD, et al. Cancer statistics in China, 2015. CA Cancer J Clin 2016;66:115-32. [Crossref] [PubMed]
- Sung H, Ferlay J, Siegel RL, et al. Global Cancer Statistics 2020: GLOBOCAN Estimates of Incidence and Mortality Worldwide for 36 Cancers in 185 Countries. CA Cancer J Clin 2021;71:209-49. [Crossref] [PubMed]
- Zheng R, Qu C, Zhang S, et al. Liver cancer incidence and mortality in China: Temporal trends and projections to 2030. Chin J Cancer Res 2018;30:571-9. [Crossref] [PubMed]
- Cao W, Chen HD, Yu YW, et al. Changing profiles of cancer burden worldwide and in China: a secondary analysis of the global cancer statistics 2020. Chin Med J (Engl) 2021;134:783-91. [Crossref] [PubMed]
- Rumgay H, Ferlay J, de Martel C, et al. Global, regional and national burden of primary liver cancer by subtype. Eur J Cancer 2022;161:108-18. [Crossref] [PubMed]
- Siegel RL, Miller KD, Jemal A. Cancer statistics, 2019. CA Cancer J Clin 2019;69:7-34. [Crossref] [PubMed]
- Bai Y, Xu J, Li D, et al. HepaClear, a blood-based panel combining novel methylated CpG sites and protein markers, for the detection of early-stage hepatocellular carcinoma. Clin Epigenetics 2023;15:99. [Crossref] [PubMed]
- Mazzaferro V, Sposito C, Zhou J, et al. Metroticket 2.0 Model for Analysis of Competing Risks of Death After Liver Transplantation for Hepatocellular Carcinoma. Gastroenterology 2018;154:128-39. [Crossref] [PubMed]
- Maucort-Boulch D, de Martel C, Franceschi S, et al. Fraction and incidence of liver cancer attributable to hepatitis B and C viruses worldwide. Int J Cancer 2018;142:2471-7. [Crossref] [PubMed]
- Cao M, Ding C, Xia C, et al. Attributable deaths of liver cancer in China. Chin J Cancer Res 2021;33:480-9. [Crossref] [PubMed]
- Chen Q, Rui F, Ni W, et al. Research progress in epidemiology and risk factors of primary liver cancer. Chin Gen Pract 2024;27:637-42.
- Dhanasekaran R, Nault JC, Roberts LR, et al. Genomic Medicine and Implications for Hepatocellular Carcinoma Prevention and Therapy. Gastroenterology 2019;156:492-509. [Crossref] [PubMed]
- Xie DY, Zhu K, Ren ZG, et al. A review of 2022 Chinese clinical guidelines on the management of hepatocellular carcinoma: updates and insights. Hepatobiliary Surg Nutr 2023;12:216-28. [Crossref] [PubMed]
- Zhou J, Sun H, Wang Z, et al. Guidelines for the Diagnosis and Treatment of Primary Liver Cancer (2022 Edition). Liver Cancer 2023;12:405-44. [Crossref] [PubMed]
- Zhou J, Yu P, Shi Y, et al. Evaluation of Clavien-Dindo classification in patients undergoing total gastrectomy for gastric cancer. Med Oncol 2015;32:120. [Crossref] [PubMed]
- Trevisani F, Vitale A, Kudo M, et al. Merits and boundaries of the BCLC staging and treatment algorithm: Learning from the past to improve the future with a novel proposal. J Hepatol 2024;80:661-9. [Crossref] [PubMed]
- Attallah KA, Farid K, Albannan MS. Revolutionizing early HCC detection: groundbreaking validation of the HCC-check index for small tumors in Egyptian patients using CLIP and BCLC staging systems. Med Oncol 2025;42:274. [Crossref] [PubMed]
- Dellière S, Cynober L. Is transthyretin a good marker of nutritional status? Clin Nutr 2017;36:364-70. [Crossref] [PubMed]
- Zuo X, Kong W, Feng L, et al. Elevated platelet distribution width predicts poor prognosis in hepatocellular carcinoma. Cancer Biomark 2019;24:307-13. [Crossref] [PubMed]
- Li S, Lu Z, Wu S, et al. The dynamic role of platelets in cancer progression and their therapeutic implications. Nat Rev Cancer 2024;24:72-87. [Crossref] [PubMed]
- Buergy D, Wenz F, Groden C, et al. Tumor-platelet interaction in solid tumors. Int J Cancer 2012;130:2747-60. [Crossref] [PubMed]
- Yue CX, Liu YX, Yun ZY, et al. Decreased platelet distribution width predicts a worse prognosis in patients undergoing surgical resection for hepatocellular carcinoma. Cancer Biomark 2019;26:361-6. [Crossref] [PubMed]
- Li H, Liu J, Yan S, et al. Increased Platelet Distribution Width Predicts 3-Year Recurrence in Patients with Hepatocellular Carcinoma After Surgical Resection. Cancer Manag Res 2023;15:501-9. [Crossref] [PubMed]
- Su X, Zhang H, Wang Y. A predictive model for early therapeutic efficacy of colorectal liver metastases using multimodal MRI data. J Xray Sci Technol 2023;31:357-72. [Crossref] [PubMed]
- Sato M, Kobayashi T, Soroida Y, et al. Development of novel deep multimodal representation learning-based model for the differentiation of liver tumors on B-mode ultrasound images. J Gastroenterol Hepatol 2022;37:678-84. [Crossref] [PubMed]
- Zhang YB, Yang G, Bu Y, et al. Development of a machine learning-based model for predicting risk of early postoperative recurrence of hepatocellular carcinoma. World J Gastroenterol 2023;29:5804-17. [Crossref] [PubMed]
- Yamada A, Kamagata K, Hirata K, et al. Clinical applications of artificial intelligence in liver imaging. Radiol Med 2023;128:655-67. [Crossref] [PubMed]
- Tian Y, Ma L, Zhang P, et al. Prognostic value of systemic immune-inflammation index/ albumin for transcatheter arterial chemoembolization treatment. Heliyon 2023;9:e15156. [Crossref] [PubMed]
- Sheriff S, Madhavan S, Lei GY, et al. Predictors of mortality within the first year post-hepatectomy for hepatocellular carcinoma. J Egypt Natl Canc Inst 2022;34:14. [Crossref] [PubMed]
- Gui CH, Baey S, D'cruz RT, et al. Trans-arterial chemoembolization + radiofrequency ablation versus surgical resection in hepatocellular carcinoma - A meta-analysis. Eur J Surg Oncol 2020;46:763-71. [Crossref] [PubMed]

